
东南大学先进光子学中心的崔一平教授、顾兵教授课题组与美国代顿大学詹其文教授、南京师范大学朱竹青副教授等合作,在国际上首次提出了一种利用紧聚焦飞秒激光脉冲照射浸没在非线性光学液体(如二硫化碳)中的介质瑞利粒子产生光学牵引力的方法,该研究为光镊技术应用于非线性光子学、纳米材料和非线性光学成像等提供了有力的理论支持。
光镊,又称为光学捕获或光学微操控,是一种利用聚焦的激光束对微纳粒子进行非接触操控的一门技术。该技术广泛应用于物理、化学、生物和材料等学科领域。在光镊技术中,人们通常用连续激光束实现对微纳粒子的捕获与操控。
一般来说,作用在粒子上的光力会推动粒子做各种运动。近年来,人们通过特别设计使得粒子受到指向光源的力,实现了对粒子的光学牵引。这种违反直觉的光学牵引力由于其学术兴趣和技术应用而受到了广泛关注。这种光学牵引力的物理机制通常来源于光学梯度力、后向散射力和/或负向光泳力。通过操控电磁场属性,研究者利用超振荡光束、螺线型光束和多光束干涉等实现了牵引粒子。另一方面,可以采用诸如增益介质、涂有防反射层的微球和手性粒子等,改变粒子的形状和材料组成来获得牵引力。此外,也可以通过使用周围具有专门设计属性的介质,比如共振波导系统、双曲超材料和光子晶体波导等,来实现作用在粒子上的牵引力。

随着激光技术的发展,用高重复频率飞秒激光脉冲代替连续激光作为光镊技术的光源,将产生诸如势阱分裂、捕获粒子的可控喷射和捕获动力学过程等新颖现象。研究表明,由粒子引起的非线性光学效应可以改变光学捕获势阱、实现超分辨光学操作和增强光力等。然而,到目前为止研究者们从未考虑过周围环境的非线性光学效应对光力的影响。

图1. 400~650 nm波长范围内,紧聚焦激光脉冲作用在浸没于二硫化碳中氮化硅纳米粒子上的光力分布。
研究人员用紧聚焦飞秒激光脉冲操控浸没在非线性光学液体(如二硫化碳)中的介质瑞利粒子,理论上研究了光学牵引力。该理论基于时间平均的光力表达式、Claussius-Mossotti方程、辐射效应校正理论,考虑到微粒和周围环境的线性和非线性极化响应,给出了高重复频率飞秒激光脉冲作用于浸没在具有三阶非线性光学效应的溶质中作用在介质瑞利粒子上的光力分布。
基于该理论,研究了氮化硅纳米粒子浸没在具有非线性光学效应的二硫化碳溶剂中的光力分布。如图1给出了在不同波长下,作用在纳米粒子上的光力分布。在长波长(450 ~650 nm)情况下,光力在横向和纵向方向上均有平衡位置,能够实现对纳米粒子的三维捕获。有趣的是在较短波长(400 ~450 nm)下,光力在横向方向上有平衡位置,而在纵向方向上光力指向光源,能够实现对横向捕获的粒子在纵向方向上向着光源牵引。

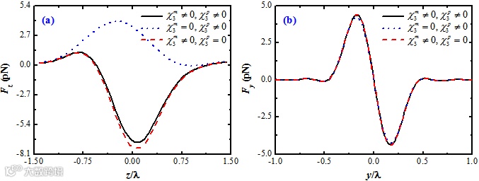
图2. 420 nm波长下粒子和溶剂具有和/或不具有光学非线性效应时的光力分布。
该课题组研究了产生牵引力的物理机理。如图2 所示,在420 nm波长下,分别考虑溶剂和粒子有无非线性光学效应时,粒子受到的纵向光力和横向光力分布。结果表明,粒子在横向方向上受到的光力基本不受粒子和溶剂有无非线性光学效应的影响,而粒子在纵向方向上是否有牵引力取决于溶剂是否有三阶非线性光学效应。进一步地,得出牵引力的物理机理是负向辐射力,其来源于周围液体的双光子吸收效应。
这是在国际上首次报道利用周围环境的光学非线性效应,用飞秒光镊技术实现对瑞利粒子的光学牵引。该理论为光镊技术运用于非线性光子学、纳米材料和非线性光学成像等提供了有力的理论支持。
该研究成果以Optical pulling forces on Rayleigh particles using ambient optical nonlinearity为题发表在Nanophotonics上。东南大学先进光子学中心的顾兵教授、崔一平教授和美国代顿大学詹其文教授为共同通讯作者,东南大学为第一单位。该项目得到国家自然科学基金(11774055、11474052和11504049),江苏省自然科学基金(BK20171364)和国家重点基础研究(2015CB352002)等项目的资助。
文献链接:https://doi.org/10.1515/nanoph-2019-0095
文章来源:中国激光

免责声明:本文旨在传递更多科研信息及分享,如涉及侵权,请联系下方邮箱,我们将及时进行修改或删除。转载请注明出处,如原创内容转载需授权,请联系下方微信号。
邮箱:janechou@imeta-center.com
微信号:18305163023