

(Image by Gerd Altmann from Pixabay)
撰稿人:沙威 浙江大学
新型肺炎牵动全国人民的心,各方力量都在共同努力,最终打赢这场战役指日可待。中国科研人,在基因测序、疫苗研发、病毒溯源、模型预测等领域均做出了巨大努力,我们对这种新型病毒的科学认识也不断增强。
作为一个计算电磁学领域的研究者,唯一能做的是科普工作,谈谈新型肺炎的简单数值模型和参数辨识(反演)方法。于是,组织团队成员合作,2天内完成了简单的数学模型。感谢安徽大学谢国大(导师黄志祥,浙大交换学生)完成了SIR/SEIR模型数值求解,徐婷(浙江大学)完成简单早期确诊病例的指数拟合,黄成念(厦门大学,即将来浙大攻博)完成数据收集,袁帅(浙江大学)和我完成参数反演。
所有数理模型都有应用范围,本文谈到的模型,是传染病模型中最简单的一类。(1)模型假设是封闭系统(总人口数守恒),模型无法刻画交通流动等复杂网络问题。(2)模型采用的物理参数是时间不变的,而随着政府强力干预措施,参数实际上是时变的。(3)模型是宏观模型,无法刻画个体行为,如超级传播者等。但通过简单模型,可从动力学角度直观理解病毒传播的物理图景;并在现有官方数据基础上,对疾病传播做出科学预测。
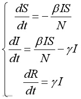
假设感兴趣的人群总数是N,定义三类人群:易感者用S(t)表示,感染者用I(t)表示,康复者(包括死亡者)用R(t)表示。康复者有抗体,不会再被传染。无论任何时间,S(t)+I(t)+R(t)=N,即人数守恒。SIR 模型可以写成如下常微分方程组:

因为交叉乘积项IS存在,上述方程是非线性常微分方程组。把三个子方程相加,右侧等于0,即可得到人数守恒条件。β是一个极重要的参数,叫传染率。每天感染人数的增加,等于感染率(感染风险),感染者数量,易感者数量的乘积。这里因为交叉项数值很大,所以除以N,避免β太小。政府干预,口罩使用,自我在家隔离,都强烈影响β。γ是另一个重要参数,叫康复率,是一个感染者从感染到治愈的平均时间(平均患病时间)的倒数。再生数α=β/γ,是指一个患者在其患病期内平均传染的人数。该模型很像光学激光器中的速率方程,其三类人群可类比成三个原子能级,传染率、康复率类比于跃迁概率,人数守恒类比于粒子数守恒。
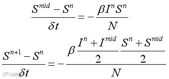
上述模型只要给定初值,就可用一般的数值方法求解。这里我们采用预测校正显式方法,以第一个子方程为例,其离散化形式为:

给定参数N=25000,β=0.32,γ=1/21,I(0)=3,R(0)=0,仿真结果如下:

可以看出,发病40天后,感染者数量达到顶峰,后期逐渐下降。如果用指数坐标,画出前40天感染者的预测人数图,你会发现在30天前,其增长方式都是指数速率的,后期增长速率变低,达到峰值。

通过这个模型,对新型肺炎的早期数据,即对公布的确诊人数可以做曲线拟合,进行科学预测。以前七天确诊人数(黑点),进行数据拟合,预测后三天的数据。发现红点真实数据和黑色预测曲线,吻合良好,但略微减少。说明政府干预和市民努力起到了作用,几天后指数预测模型将失效,确诊人数增加速率放缓。

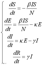
3. SEIR 模型及修正
很多传染病,具有潜伏期。因此,需要添加一类新型人群,即潜伏者E(t)。SEIR模型其对应的常微分方程组为:

这里,κ叫潜伏率,是平均潜伏时间的倒数。但是根据新型肺炎的报道,潜伏者也可以传染病毒给易感人群,因此上述经典模型,需要被修正如下,

这里,λ是潜伏者对易感人群的传染率。
4. 参数辨识与反演
根据官方报道,目前可获得的数据,是确诊者人数和康复者(包括死亡者)人数,感染者人数可用确诊人数减去康复者(包括死亡者)人数。我们需要拟合6个参数 P={ S(0), E(0), β, λ, κ, γ},即易感者初始值S(0),潜伏者初始值E(0),传染率β和λ,潜伏率κ,康复率γ。优化问题,可用最大误差最小化方法(不会造成某些拟合点误差大的问题),MATLAB优化工具箱求解。

这里,ID 和 RD 是实际公布的感染者和康复者(包括死亡者)数据。因为治愈人数太少,这里我们用相对误差作为判据。冯诺依曼说过:用四个参数我可以拟合出一头大象,而用五个参数我可以让它的鼻子晃。越多参数,让解的唯一性存疑。考虑到目前数据很少,从单纯研究和科普目的出发,只用简单SIR模型来拟合。取6天数据和7天数据,最大相对误差8.8%和10.4%,结果如下:

可以看出,后面几天的误差明显高于前几天,说明人工干预效果显著,简单SIR模型不再适用。确诊人数悲观(6天数据)和乐观(7天数据)的数值分析如下:

感悟
本文所涉及的MATLAB程序和数据,仅供科研和教学使用。如有需要,请提供真实姓名和单位信息,并用单位邮箱发送至作者邮箱索取。邮箱: weisha@zju.edu.cn

长按二维码
关注我们吧


免责声明:本文旨在传递更多科研信息及分享,如涉及侵权,请联系下方邮箱,我们将及时进行修改或删除。转载请注明出处,如原创内容转载需授权,请联系下方微信号。
邮箱:janechou@imeta-center.com
微信号:18305163023

