

导读
近日,吉林大学和美国内华达大学拉斯维加斯分校的科研人员,对钻石在复杂应变下的应力响应行为开展了系统的研究。该研究显示:高压和高剪切共存的加载条件可有效抑制钻石原子间的脆性断裂模式,从而导致前所未知的晶格结构与电子传导特性。研究成果以“Smooth Flow in Diamond: Atomistic Ductility and Electronic Conductivity”为题,于2019年11月6日发表于美国物理学会《Physical Review Letters》杂志上。
早在六千年前,人类就发现了钻石(金刚石)。钻石素以坚硬耐磨、纯净无暇、璀璨夺目等优异特性闻名于世,被誉为“宝石之王”。她神秘而迷人,高贵、优雅而独特,象征着力量、永恒、爱情、权利、好运及财富,根植于人们心中。20世纪中期以来,人造钻石得到了大规模的工业生产。从此,钻石作为一种重要的功能材料,在精细加工、石油开采、地质勘探等行业中都发挥重要的推动作用,产生了不可估量的经济效益和社会效益。
金刚石是典型的脆性材料,受力破坏时未发生显著的塑性变形就突然断裂;此外,金刚石也是典型的宽带隙绝缘体,其电子能隙随静水压力升高而增大。传统观点认为,纯金刚石在常压和高压下,都既不柔韧,也不导电。在本项研究工作中,研究人员针对钻石在复杂应变下的应力响应行为开展了系统的研究,该研究显示:高压和高剪切共存的加载条件可有效抑制钻石原子间的脆性断裂模式,从而导致前所未知的晶格结构与电子传导特性。尤其与其固有标签属性形成鲜明对比的是,钻石这自然界硬度最高的脆性材料,竟在原子尺度呈现“流畅”的结构延展性。同时,钻石的独特结构蠕变行为,伴随了电子带隙的闭合,促使电子在晶格的导电通道中“流畅”地传导,使钻石呈现出导电性。奇异的结构延展性和电子传导性,极大地丰富了钻石的内禀属性,为全面理解其结构和物性调控规律提供了重要理论依据。研究还显示,钻石的结构和电子“流畅”行为,在目前高压实验可达的多种应力环境下广泛存在,使这些奇异“流畅”行为有望在实验中得到证实。
俗话说“柔能克刚”,本工作赋予此说新的含义。在特定受限形变条件下,钻石展示出高度柔韧性,克服固有的刚脆弱点。柔韧钻石的新奇特性拓展其应用范围,并有助于在高压科学领域引入新概念,预言并理解新现象。钻石通常作为静高压产生装置的核心部件(金刚石对顶砧)。当前发现的钻石结构蠕变性和金属化行为对压机的设计和静水压极限的探索等中心课题都至关重要,还为解释超高压实验中存在的热点争议问题(如氢及氢化物的金属化行为等)提供了新的思路和探索方向。
本研究是在吉林大学李全教授和马琰铭教授与美国内华达大学拉斯维加斯分校陈长风教授合作下,共同指导博士研究生刘畅和宋贤齐完成。该研究获得了国家重点研发计划(2018YFA0703400),国家自然科学基金(11622432, 11474125, 11534003)和吉林大学科技创新团队计划等项目的资助。

图1 (a)金刚石在(11-2)[111]纯剪切(PS)和约束剪切(CS)下的应力响应。(b),(c),(d)分别为不同应力条件下键角、键长的变化。(e)在应力值分别为0、最大PS、最大CS的金刚石结构,其价带电荷密度显示了键合强度的变化。

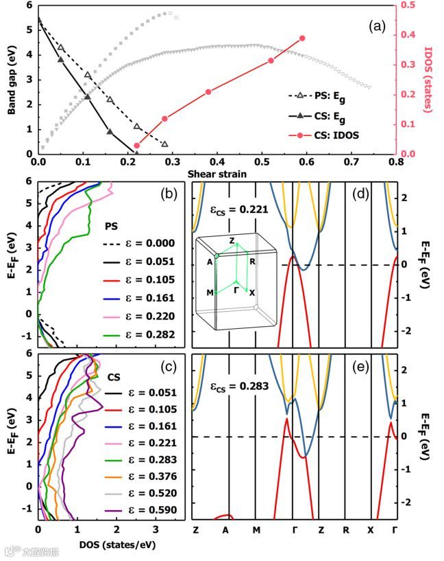
图2 (a)根据第一性原理计算图1(a)中沿两种不同剪切路径的变形金刚石的电子带隙。(b),(c)Heyd-Scuseria-Ernzerhof混合函数计算的电子态密度。(d),(e)一定应变下定向电子和空穴传导的电子能带结构。

图3 金刚石的光滑结构和电子传导在一定载荷下表现出鲁棒性。
文章链接

https://journals.aps.org/prl/abstract/10.1103/PhysRevLett.123.195504
长按二维码
关注我们吧

免责声明:本文旨在传递更多科研信息及分享,如涉及侵权,请联系下方邮箱,我们将及时进行修改或删除。转载请注明出处,如原创内容转载需授权,请联系下方微信号。
邮箱:janechou@imeta-center.com
微信号:18305163023

