

导读
近日,芝加哥大学Liang Jiang教授课题组提出了一套量子噪声理论来计算奇异点传感器的信噪比,利用量子Fisher信息来提取信噪比的下限,展示了参数化提高信噪比的可能性;最终,通过构建一个特殊的实验设定,利用激光阈值附近的EP放大以及Fisher界限预测的通过外插信号检测的最佳尺度实现传感。 相关成果以“Quantum Noise Theory of Exceptional Point Amplifying Sensors”为题发表在Physical Reivew Letters 上。
非厄米系统的一个显著的特征是奇异点(EPs)的存在,其对应于本征值和本征矢都发生简并的点。EPs的一个有趣的应用是通过放大检测到的信号以提高传感器的性能。然而,通常信号的放大也会增加系统的噪声,目前还没有证据表明EP传感器能够改善信噪比。例如,在光学谐振腔系统中,热效应或者腔体形状的变形会改变腔体的复数频率,其响应可以通过测量散射频谱信号中波峰的中心和宽度确定。这种传感器中,引入的小参数
可以估算为哈密顿量的微扰,如果无微扰的哈密顿量不在EP点的初始位置,频率的偏移将正比于
。这在之前的文献中被提及与测量[1,2]。
本项工作的研究人员利用量子噪声理论建立了一个理论框架,系统地计算了在lasing阈值附近工作的EP传感器的信号和噪声。利用量子Fisher信息,可以得到EP传感器极限灵敏度的下限。另外,通过一种外差检测方案,以实现该界限所预测的灵敏度的最佳标度。由于这种EP传感器是通过具有线性相互作用的高斯过程实现的,激光阈值附近的EP传感与外差检测相结合在目前的实验技术中将十分可行。

图1 (a) 两个玻色子模式系统具有增益损耗的耦合模型;(b)双玻色子模式的全量子描述的示意图,其中
和
为探测通道,
为
玻色子模式的散射本征耗散,
为
玻色子模式的散射本征放大。

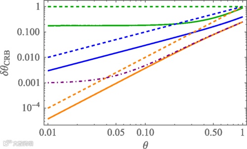
图2 由Cram´er-Rao边界决定的最小可实现的标准偏差与无量纲扰动强度(
)的关系。其中所有的实线为
对应的最小化标准差,实橙色线:在lasing阈值处的双模式EP传感,所有模式都受到干扰;实蓝线:在lasing阈值上只有一个模式受扰的双模式EP传感; 实绿线:单模常规传感,无额外损耗或增益。橙色、蓝色和绿色虚线分别为
、
和
的缩放比例。紫色点线图:lasing阈值以下的双模EP探测,每个腔都具有额外的损耗。
文章链接
[1] W. Chen, k. K. Özdemir, G. Zhao, J. Wiersig, and L. Yang, Nature (London) 548, 192 (2017).
[2] H. Hodaei, A. U. Hassan, S. Wittek, H. Garcia-Gracia, R. El-Ganainy, D. N. Christodoulides, and M. Khajavikhan, Nature (London) 548, 187 (2017).

https://journals.aps.org/prl/abstract/10.1103/PhysRevLett.123.180501
长按二维码
关注我们吧

免责声明:本文旨在传递更多科研信息及分享,如涉及侵权,请联系下方邮箱,我们将及时进行修改或删除。转载请注明出处,如原创内容转载需授权,请联系下方微信号。
邮箱:janechou@imeta-center.com
微信号:18305163023

