

本文来源:纳米人
原著丨堂免一成 团队(Kazunari Domen et al.)
解读丨Ceria
题记
利用太阳光照射光催化剂分解纯水制取氢气(ps:H2:O2摩尔比= 2:1),将太阳能转化为可储存和运输的氢能,是实现“液态阳光”能源计划最为理想的方法之一。关于光催化分解水能否实用化,现阶段存在两大挑战:①.光催化剂的量子效率②.光催化剂的响应波长的拓展。
对于以上的两大挑战,任何一项的突破足以轰动业界。2006年,东京大学K.Domen课题组和长冈技术科学大学Y.Inoue课题组发现的 GaN:ZnO固溶体和具有核壳结构的RhCrOx助催化剂的相关研究成果刊登于各大权威杂志,该材料打破了光催化剂全分解水材料不能响应400nm入射光的偏见, 在Nature中以一篇brief的形式,宣告了光催化全分解水材料可以响应可见光。
近日,K.Domen课题组又将SrTiO3这种材料的量子效率提高到接近100%(350,360nm波长响应),再次告诉业界,接近100%的量子效率(全分解水效率)是可能的。
一、SrTiO3材料(非可见光响应系列)的进化时间线(以breakthrough研究为例,以论文发表时间为线)
1980年,SrTiO3粉末被发现能够全分解水https://pubs.rsc.org/en/content/articlepdf/1980/c3/c39800000543
2009年,SrTiO3被发现在低价元素掺杂(Na,Ga)的情况下能够高效分分解水https://pubs.acs.org/doi/abs/10.1021/jp908621e
2016年,通过低价态元素dope促进SrTiO3活性的提高得到进一步证实,该研究丰富了dopant的种类(包括本论文中的Al元素)https://doi.org/10.1016/j.apcata.2015.12.013
2016年,Li can团队发现了SrTiO3粉末上的面间电荷分离效果。
https://doi.org/10.1039/C6EE00526H
2016年,通过flux法偶然(Al doped是偶然)合成了高结晶性的Al dopedSrTiO3,SrTiO3的分解水活性得到了进一步的提高。
https://doi.org/10.1039/C5TA04843E
2018年,Flux法制得的Al doped SrTiO3粉末被固定在基板上,在户外太阳光照射下研究进行实用化的检讨。
https://doi.org/10.1016/j.joule.2017.12.009
2018年,通过MoOx/RhCrOx助催化剂的共loading,Al doped SrTiO3的量子效率被提高到69%(at 365nm)。
https://pubs.acs.org/doi/10.1021/acscatal.7b04264
2019年,Al doped SrTiO3经过了1000h的稳定性测试。
https://pubs.rsc.org/--/content/articlehtml/2019/sc/c8sc05757e
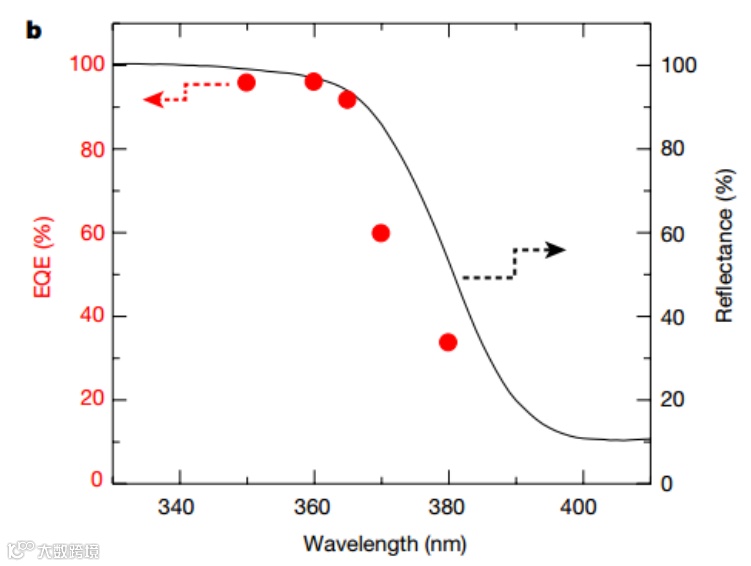
如Figure1所示,助催化剂量和担持方法优化后的Al doped SrTiO3展现了接近于100%的量子效率(350,360nm波长响应)。虽然当入射光的波长为370nm,380nm时,量子效率有所下降,但是考虑该材料在370,380nm的吸收光量,其还是展现了较高的能量转化率。论文中围绕着其高活性的原因进行了相关的讨论。
Figure 1. 助催化剂量和担持方法优化后的Al doped SrTiO3的量子效率与材料的吸光特性
① . Al的掺杂减少了SrTiO3中的Ti3+缺陷
如链接论文(https://pubs.acs.org/doi/abs/10.1021/jp908621e)中阐述的那样,SrTiO3中存在成为电子和空穴再复合中心的Ti3+缺陷,低价态元素的引入更像是置换了其中的Ti3+(这是一个为了更方便的理解的比喻句)。
② .熔盐法的处理,让Al doped SrTiO3获得了更高的结晶性
如链接论文(https://doi.org/10.1039/C5TA04843E)中XRD图所示,熔盐法处理过的SrTiO3比未处理的样品,在XRD pattern中呈现了更为尖锐(窄半峰宽)peak。较高的结晶性减少了颗粒与颗粒之间的晶界等缺陷,从而更利于电子和空穴移动到样品表面。
Figure 2. Al doped SrTiO3 在不同催化剂分散条件下的分解水活性
③ .获得的单结晶Al doped SrTiO3露出了独立的氧化反应面{110}和还原反应面{100}
2016年,李灿院士团队通过水热法制备了{110}{100}面选择性露出的SrTiO3,该研究再次证明了不同面露出对于催化剂活性提高的重要性。本论文中的Al doped SrTiO3,像Figure 3中所示,也露出了{110}和{100}面。通过对Rh离子的还原析出site,以及Co离子氧化析出site的确认,发现了该材料的氧化还原site是独立的。露出面的不同,造成了局部的阴阳离子不对称,使得不同面具有不同的费米能级。就像solar cell中的p-n junction那样,如Figure 4中所示,相邻的面之间会形成局部的电势差,对于激发了电子和空穴具有一定的整流作用。这也是其展现高活性的原因之一。
Figure 3. Rh (0.1 wt%)/Cr2O3 (0.05 wt%)/CoOOH (0.05 wt%) 担持 Al doped SrTiO3的TEM图
④ .RhCrOx核壳结构助催化剂和CoOOH的并用
Rh是高效的析氢助催化剂,而CrOx覆盖又能抑制其表面发生的析氢逆反应(https://pubs.acs.org/doi/abs/10.1021/jz1007966)。通过光电析出的方法,让Rh和CrOx析出在Al doped SrTiO3的{100}面,如Figure 2所示,选择性析出在{100}面的Rh和CrOx,比随机分散的Rh和CrOx活性高出两倍。另外,当析氧助催化剂CoOOH选择性的分散在{110}面的时候,其量子效率接近了100%。所以,析氢(+防止逆反应的CrOx)和析氧催化剂被选择性的负载在Al doped SrTiO3的还原/氧化面,更加协调了电子和空穴的析氢析氧反应。
另外①-④中不仅解释了Al doped SrTiO3高效的原因,也解释为什么Flux法合成的Al doped SrTiO3在选择性的担持了Rh (0.1 wt%)/Cr2O3 (0.05 wt%)/CoOOH (0.05 wt%) 之后,其活性远高于水热法合成的SrTiO3({110}{100}露出)。①-④可能就是其量子效率接近100%的原因了(缺一不可)。
在现阶段,人工光合成虽然不能像光合作用那样,通过复杂的蛋白构造实现吸收光的高效利用。但是,本论文中的材料拥有简单的结构,并且具有相当的量子效率。之前报道过Ta3N5(https://www.nature.com/articles/s41929-018-0134-1)和Y2TiO5S2(https://www.nature.com/articles/s41563-019-0399-z.pdf?origin=ppub),他们的吸光可达600nm和640nm,并且能够全分解水,如果他们能够展现出本文材料的量子效率,液态阳光真的能够实现。
Tsuyoshi Takata, Junzhe Jiang et al. Photocatalytic water splitting with a quantum efficiency of almost unity. Nature 2020, 581, 411–414.
https://www.nature.com/articles/s41586-020-2278-9