

撰稿| 陈泽国,马冠聪
导读
态的绝热演化可以揭示系统的拓扑特性。近日,香港浸会大学物理学院马冠聪课题组通过研究耦合声波导中的拓扑态实现了声学系统中拓扑边界态的绝热与非绝热演化。相关研究成果以 “Landau-Zener Transition in the Dynamic Transfer of Acoustic Topological States”为题,发表在国际物理学期刊Physical Review Letter上。论文一作是陈泽国,汤伟媛、香港科技大学的张若洋,南京大学的陈召宪(模数哥)分别在实验绘图理论模拟等全方面给我们提供了给力的指导。

在轰空这个纸醉金迷的城市中,我等工薪阶层的上下班基本只能靠挤地铁。每当列车到达,广播总会响起“请小心月台空隙。Please mind the gap.”

然而大多成年人估计都把这句话当耳边风,因为这个小空隙一步就能迈过去,就算实在不小心最多也就被绊一下。但如果是三岁小娃,脚小步子小,没准还真能一脚踩空。同样,这个空隙对于一只小蚂蚁便成了一道鸿沟。所幸蚂蚁表示爬墙毫无鸭梨,可以沿下图红色箭头行进。

这个小例子其实体现了物理中一个很深刻的问题,就是相对尺度对系统演化规律的影响。而绝热演化就是这类现象中十分重要的一种。
绝热过程在现代物理中有着举足轻重的地位。比如拓扑物理中的一个核心概念,Berry相位的定义,就是来源于研究态在参数空间中沿着闭合路径满足绝热近似地进行含时演化过程中发现的初态与末态之间除了动力学相位之外的相位。与之类似的一个物理过程是Thouless pump,可以量子化地传输电子。这里的核心概念就是态的含时绝热演化,可以揭示系统的拓扑特性,因此态的含时绝热演化很重要。在经典的光子声子系统中,态的含时演化通常是用耦合波导来实现的。耦合波导中,类比于量子力学里的模态可以很好地定义,而且模态的运动方程在傍轴近似下与薛定谔方程形式类似,因此是个比较好的研究含时演化的平台。但是傍轴近似并不等于绝热近似,如何定量地判断系统的绝热近似程度如何呢?
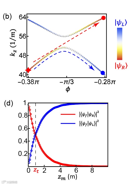
鉴于此,我们提出了一个小模型,利用Landau-Zener 公式,去定量研究系统绝热近似程度。Landau-Zener Transition 研究的是个中间有带隙的二带模型,而这种二带模型可以通过finite size导致的拓扑边界态来实现,如图1 (b),其中拓扑边界态是通过1维声学Aubry-André-Harper (AAH) model 实现的。将一维模型沿z方向拉伸,就形成了一个波导阵列。如图1所示。接下来我们对波导高度沿着传播(z)方向渐变对应着参数空间中参数的变化。因此这个波导中 (图2 (a)),拓扑边界态沿着z方向的传播,可以认为是态在参数空间下的含时演化。

图1 用于实现AAH模型的声波导阵列。每根波导的高度沿传播方向受参数化调制。而演化路径,在极端情况下可能有两种,如图2 (b),可以沿着蓝线也可以沿着红线,可以由Landau-Zener公式定量描述。

图2. 利用拓扑边界态实现Landau-Zener Transition中的二带模型
定性地来讲,如果系统高度沿着传播方向变化很慢,系统就满足绝热近似,态的演化不能跳过这个带隙,就会沿着图2 (b) 中的蓝线。这种情况对应于引言的小蚂蚁,迈着小碎步自然跨不过月台空隙。在我们波导系统中,现象上体现为边界态的隧穿。如果高度变化较快,态一不小心就跨过带隙沿红线跳到上面的能带去了。情况正好比大人一步就能迈过月台空隙。边界态保持在同一个边界。我们将边界态能量在左右两端五五分的这个点称为转变点,模拟观测到的转变点和Landau-Zener理论吻合,这个物理过程可以通过图3来描述。

图3. 耦合波导中的Landau-Zener Transition
实验上我们做了三组样品,样品A和B如图4所示,分别展示了态更局域在同一侧或者隧穿到另一侧的情形。我们注意到在这个过程中,态的转变是不涉及到体态的,我们也可以通过改变样品波导的数目实现利用体态达到态的转变效果。样品C如图5所示,我们利用不同数目的波导展示了类似于Thouless pump的结果。

图4. Landau-Zener Transition的实验观测

图5. 类比于Thouless pump的实验观测
千言万语不如来个小视频吧。。
本研究工作利用耦合声波导中互相耦合的拓扑边界态来定量研究绝热近似,并给绝热近似失效的条件。我们认为该结果对绝热演化的调控和利用有指导意义,也为拓扑物理提供了新的应用场景。
欢迎造访我们课题组的网页:https://www.acoustmeta.com/

文章链接

https://doi.org/10.1103/PhysRevLett.126.054301
免责声明:本文旨在传递更多科研资讯及分享,所有其他媒、网来源均注明出处,如涉及版权问题,请作者第一时间后台联系,我们将协调进行处理(按照法规支付稿费或立即删除),所有来稿文责自负,两江仅作分享平台。转载请注明出处,如原创内容转载需授权,请联系下方微信号。

好看你就
点点
我

