

撰稿| 由课题组供稿
导读
近日,深圳大学袁小聪教授团队通过对近场光学自旋的研究,发现并论证了适用于束缚光场的内秉光学自旋-动量定理,揭示了光学横向自旋的产生机制并构造了描绘近场光学自旋-轨道耦合特性的类Maxwell方程组:自旋-动量方程组。相关成果近日以“Transverse spin dynamics in structured electromagnetic guided waves”为题在线发表于国际顶级期刊《PNAS》上。论文的共同第一作者为深圳大学石鹏助理教授和杜路平教授,通讯作者为杜路平教授、袁小聪教授和英国伦敦大学国王学院Anatoly. V. Zayats教授,深圳大学为第一单位和第一通讯单位。

自旋和轨道角动量是光的两个非常重要的自由度。一般来说,光的自旋角动量与左/右旋圆偏光相关联,且其矢量方向与传播方向平行,因此被称为“纵向”自旋(如图1(a)所示)。近年来,通过对近场电磁波的深入研究,科学家发现了另一种自旋矢量方向与光波传播方向垂直的自旋形态:横向自旋(如图1(b)所示)。横向自旋广泛存在于束缚光场中,例如导波,聚焦场,干涉场甚至非偏振光场中。横向自旋在光学的单向性激发、单向性散射以及近场自旋-动量绑定等现象中发挥了关键作用,其在光学传感、纳米计量、单向辐射量子器件等应用领域有着重要的应用前景。近年来对横向自旋的研究拓展了光学自旋-轨道相互作用的范畴,开拓了自旋光子学一个新的研究方向。但是长期以来,人们对横向自旋的产生机制还未有深刻的物理认识,其对横向自旋的辨认也仅是从定性的k-法则出发:先利用自旋角动量公式
计算得到自旋的矢量方向,再与波矢k的方向进行比较。这种经验性的方法虽然在前期辨认多种体系中的光学横向自旋起到了重要作用(图2),但难以拓展到更一般化的情况。更重要的是,其并未揭示光学横向自旋的产生机制,掩盖了诸多与横向自旋相关的重要物理特性。

图1. 两种不同类型的光学自旋示意图。(a)纵向自旋:自旋矢量方向与传播方向平行;(b)横向自旋:自旋矢量方向与传播方向垂直。自旋矢量与偏振的旋转面垂直,并遵循右手定则。Nature Photonics 9:789-795(2015)

图2. 传统的利用k-法则判断光学横向自旋。(a)近场倏逝波;(b)聚焦场;(c)干涉场;(d)波导模式。Nature Photonics 9:789-795(2015)
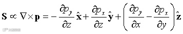
针对上述关于横向自旋的关键科学问题,研究者通过对近场光学自旋-轨道耦合的深入研究,发现了适用于近场电磁波的内秉光学自旋(S)-动量(p)定律:
。该定律的发现揭开了横向自旋的神秘面纱,并进一步揭示了一系列关于横向自旋的新特性和新现象:
(1) 该定律揭示了横向自旋的来源:动量的空间结构。只要电磁场的动量具有一定的空间分布,无论是聚焦光场、波导模式、干涉场还是倏逝波,必然存在横向自旋,即使产生上述光场的入射光不含任何自旋信息。值得一提的是,横向自旋的产生意味着电磁场存在局域的椭圆/圆偏振态,因此进一步解释了在束缚光场中纵向场与横向场之间存在的位相差(此前关于横、纵向场之间的位相差只能从数学上去理解)。
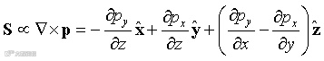
(2) 该定律预示了另一种横向自旋分量的存在。以倏逝波为例(假设沿z-方向衰减,因此pz=0),将自旋-动量公式在xyz坐标系下展开,
,可以看到,其面内动量(px、py)沿着纵向(z)方向的变化产生面内的自旋分量(Sx, Sy,该自旋分量即为前期被广泛关注和研究的光学横向自旋);面内动量在xy面内的变化则产生面外的自旋分量(Sz)(新的横向自旋分量)。上述面内和面外的自旋分量共同决定了倏逝波的横向自旋特性,这些特性是无法通过传统的k-法则或通过偏振分析手段获得的。
(3)该定律预示了横向自旋内禀的自旋-动量绑定关系。对于最简单的平面倏逝波的情况(假设沿y方向传播,如图3(a)所示),
,其产生的面内横向自旋分量(Sx)始终与动量(py)绑定,表现为一种内禀的光学类量子自旋霍尔效应(Science 348:1448-14519(2015))。对于更一般化的结构光场,其面内的空间分布又会产生面外的横向自旋分量(Sz),两者相互作用使得自旋矢量在沿着与动量垂直的方向,从向上的态逐渐转变为向下的态(如图3(b)所示),并且这种变化与动量的方向绑定,表现为一种广义的自旋-动量绑定特性(generalized spin-momentum locking),在不同的坐标系下形成不同的光学自旋拓扑结构(如光学自旋斯格明子等,如图4所示)。

图3. 由自旋-动量定律衍生出的广义光学自旋-动量绑定示意图。

图4. 不同坐标系下自旋-动量的绑定特性及其特殊的自旋拓扑结构。(a-c)直角坐标系(Cosine beam);(d-f)极坐标系(Bessel beam);(g-i)椭圆坐标系(Weber beam)
(4) 该定律衍生出了描绘近场光学自旋-轨道耦合特性的自旋-动量方程组。由于横向自旋可以表示成动量的旋度,这也就意味着横向自旋是无源的(∇ S=0)。考虑到动量可以分解成自旋动量(ps=∇×S/2)和轨道动量(po=p-ps),我们可以构造出一组由自旋和动量组成的类Maxwell 方程组(如表1所示),并进一步得到描述近场光学自旋-轨道耦合特性的亥姆霍兹方程。对比电磁场的亥姆霍兹方程(J和po前面的符号相反),如果说电流(J)是磁场(H)的一种“外援”的话,那么轨道动量流(po,决定系统的轨道角动量)可以理解为对自旋(S)的一种“内耗”,它体现的是在一个特定光学系统下总角动量在自旋与轨道角动量之间的分配。
表1. 自旋-动量方程组及其与麦克斯韦方程组作类比

(5) 该定律为近场条件下的自旋光场调控提供了新的理论工具。考虑到光场的动量流密度可以直接由Hertz势Ψ得到(类似于量子力学中的流密度与波函数之间的关系),如图(5)右侧所示,我们可以在不知道任何场(E和H)分布的情况下,直接得到光学系统的自旋和轨道角动量信息,这极大的方便了我们对角动量的研究尤其是对自旋角动量的调控。由于偏振特殊的矢量特性,在传统的E-H框架下,对紧束缚光学系统中偏振的调控是比较困难的,因为光学的三个基本参量振辐、位相和偏振之间紧密关联。自旋-动量方程组可以使得我们直接从标量的Hertz势出发,绕过兼具矢量和位相特性的电场和磁场(图(5)左侧),直接从动量得到系统的自旋(偏振)信息,这使得偏振这一光学参量可以以自旋的形式在紧束缚光学系统中得到有效地调控,应用于光学传感、成像、手性检测等多种应用中。

图5. 不同框架下获得光学体系的自旋-轨道角动量信息。(左):E-H框架;(右):S-p框架。
本工作所提出的自旋-动量定律揭示了长久以来一直未得到有效回答的光学横向自旋起源问题,其衍生出的自旋-动量方程组有助于人们理解紧束缚光学系统下光场的自旋-轨道耦合特性,并为纳米尺度下光场的偏振调控提供了有效的工具,推动了自旋光子学的进一步发展。值得一提的是,上述自旋-动量关系可以拓展到包括声波、流体、引力波等多种不同物理体系,有助于跨学科发展与学科融合。
该研究得到广东省基础与应用基础重大项目(项目号:2020B0301030009),国家自然科学基金重点项目(项目号:61935013)、国家自然科学基金-广东省联合项目集成项目(项目号:U1701661),广东省领军人才项目(项目号:00201505)、特支计划,深圳市孔雀团队,深圳市布局项目等资助。
文章链接

https://www.pnas.org/content/118/6/e2018816118
免责声明:本文旨在传递更多科研资讯及分享,所有其他媒、网来源均注明出处,如涉及版权问题,请作者第一时间后台联系,我们将协调进行处理(按照法规支付稿费或立即删除),所有来稿文责自负,两江仅作分享平台。转载请注明出处,如原创内容转载需授权,请联系下方微信号。


