
本文选自《物理》2021年第2期
(中国科学院半导体研究所 姬 扬 编译自 David Appell. Physics World,2021,(1):36)
几个世纪以来,理论物理学的许多预言改变了我们对世界的理解。本文作者David Appell 认为,物理学有史以来最伟大的十项预言如下。

理论背后的大师。上排:牛顿,泊松,麦克斯韦,爱因斯坦,梅耶夫人,施温格;下排:霍伊尔,杨振宁和李政道,约瑟夫森,鲁宾,福特
理论物理学家盯着黑板,做计算和预测。实验物理学家搭建设备,观测和分析数据。他们互相依赖:实验学家试图证明理论是正确的(或错误的),或者理论学家想要解释实验观察。英国理论物理学家爱丁顿(Arthur Eddington)说过,“实验学家惊讶地发现,我们不会接受任何未经理论证实的证据。”
然而常见的是,在伟大的理念需要澄清的时候,每个人都有些迷失。每隔一段时间,某个人的创造就能够划破黑暗和混沌,得到清晰透彻的成果,立即推进他们的领域,有时甚至能创造新的领域。
开普勒的三个定律
英国物理学家和数学家牛顿是通过数学计算进行预言的早期支持者,他在1665 年创造了微积分(莱布尼茨也大致同时地独立创造了),从而有可能预测物体在空间和时间中的运动。
牛顿接受了伽利略关于力和加速度的想法、开普勒关于行星运动的三个定律,并从胡克(Robert Hooke)那里得到了关于行星的切向速度与它受到的径向力有关的想法,指向太阳的引力服从平方反比定律。牛顿将所有这些概念统一起来,并加入自己的想法,进而提出了他自己的三个运动定律和万有引力定律。
这四个定律为物理世界的研究带来了秩序,提供了为它建模的数学工具。特别是,牛顿能够从纯粹的数学推导出开普勒的三个定律——这三个定律表明,行星的运动轨道不是圆而是椭圆——并将它们用于检验他的各种假设。数学第一次能够直接的计算和预测天体的运动、潮汐、岁差等等,最后明确地表明,地上的现象和天上的现象都是由相同的物理规律支配。
阿拉戈亮斑
法国数学家和物理学家泊松(Siméon-Denis Poisson)做过一个预言,他相信这个预言是错误的。但是,他对预言的预言是错的,反而意外地帮助证明了光是一种波。
1818年,一些科学家(包括泊松)建议法国科学院的年度论文竞赛讨论光的性质,期望这些文章支持牛顿的微粒理论(光是由“微小的粒子”组成的)。然而,法国工程师和物理学家菲涅耳提交了一份报告,基于惠更斯假设的想法(光是一种波,波前的每个点都是次级的波源)。菲涅耳提出,所有这些小波相互干涉。

泊松仔细研究了菲涅耳的理论。他认识到,菲涅耳的衍射积分意味着,用点光源照亮圆盘或球体,在圆盘后面的轴上会出现一个亮点。泊松认为这是荒谬的,因为微粒理论清楚地预言说,那里是完全的黑暗。
据说,泊松很自信,在菲涅耳进行论文宣讲的时候,他站出来进行质疑。领导竞赛委员会的数学家和物理学家阿拉戈(Francois Arago)迅速地在实验室里做了这个实验,用的是火焰、滤光片和 2 mm 的金属圆片(用蜡粘在玻璃片上)。令人惊讶的是,也让泊松尴尬的是,阿拉戈观察到了预言的亮斑。菲涅耳赢得了比赛,此后,这个亮斑被称为阿拉戈亮斑、泊松亮斑或者菲涅耳亮斑。
光速
1860年,在英国伦敦的国王学院,苏格兰物理学家麦克斯韦开始在电学和磁学领域取得深刻的成果,将法拉第的实验思想转化为数学形式。
在1865年的论文《电磁场的动力学理论》里,麦克斯韦导出了一组20个偏微分方程组(直到1884年,亥维塞德(Oliver Heaviside)才给出了我们熟悉的矢量微积分的表示方式),加上6个波动方程组(电场E和磁场B各有3个空间分量)。麦克斯韦得出结论,他“几乎无法避免这样的推论,即光是由同一介质的横向波动组成的,而这种波动是电和磁现象的原因”——他预言了光是电磁波。
麦克斯韦得到,这种波的(相)速度 v 是

其中, μ 和 ε 分别是介质的磁导率和介电常数。将空气的磁导率 μ 取为 1,利用带电电容器实验得到的空气 ε 值,麦克斯韦计算出空气中的光速为 310740000 m/s。将此与菲佐 (Hippolyte Fizeau) 的测量值 314858000 m/s 和傅科 (Jean Leon Foucault) 的 298000000 m/s 进行比较,他认为光是电磁波这个推论是正确的。
水星近日点的反常进动
在1840年代,法国天文学家勒维烈(Urbain Le Verrier)仔细分析了水星的轨道。他发现,与牛顿定律预言的精确椭圆不同,行星椭圆轨道的近日点绕着太阳移动。这个变化非常慢,每世纪只有 575 角秒,但当时的天文学家只能把 532 角秒与太阳系中其他行星的相互作用联系起来,还剩下43角秒来历不明。
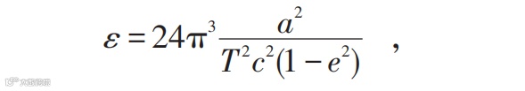
这个差别尽管很小,却困扰着天文学家。他们提出了一系列的解决方案(一颗看不见的行星,牛顿引力定律中的指数与 2 有非常小的差别,或者太阳是扁球形的),但一切似乎都过于刻意了(ad hoc)。1915年,德国理论学家爱因斯坦完成了广义相对论,他能够计算出弯曲空间对水星轨道的影响,从而推导出水星近日点的这种额外进动:

其中,a是行星椭圆的半长轴,T是周期,e是偏心率,c是光速。
对水星来说,这正好是每世纪43角秒,正好是缺失的数量。严格地说,这是一种事后的预言,但是令人印象深刻。“结果证明水星近日点运动的方程是正确的,你能想象我的快乐吗?”爱因斯坦写信给埃伦费斯特(Paul Ehrenfest),“我激动得说不出话来。”
锕系稀土元素
在元素周期表中添加一个新元素都很难,但是德国物理学家梅耶夫人(Maria Goeppert Mayer)却添加了整整一行。
在美国哥伦比亚大学工作的时候,梅耶夫人遇到了费米和尤里。费米想弄清楚铀和原子序数大于它的元素的衰变产物,因为 Edwin McMillian 和 Philip Abelson 刚刚发现了第93号元素。费米要求梅耶夫人利用托马斯-费米势能模型(Llewellyn Thomas和费米在1927年独立发展的数值统计模型,用于近似高Z原子中电子的分布),计算薛定谔方程对铀(原子序数 Z=92)附近原子的 5f 电子轨道的本征函数。
用托马斯-费米势对薛定谔方程的径向本征函数进行数值求解,梅耶夫人发现 f 轨道开始填充在Z的临界值(Z=59 为 4f,Z=91 或 92 为 5f ),由于模型的统计性质,预计Z的不确定性有几个单位。在这些临界值,原子不再强烈地参与化学反应。她的预言证实了费米的建议,即铀以外的任何元素在化学上都与已知的稀土元素相似,从而预言了锕系稀土元素(second series of rare earth elements,又称为超铀行,transuranic row)。后来,梅耶夫人因为发展核壳模型而分享了1963年的诺贝尔物理学奖。
电子的奇异磁矩
在第二次世界大战期间,美国理论物理学家施温格 (Julian Schwinger)从事雷达和波导技术的研究,他开发了基于格林函数的方法——为了求解复杂的微分方程,可以通过求解更简单的格林函数的微分方程,然后将它集成到原来的解中。在实践中,往往只能求微扰的解,但是施温格本领高超。
战后,施温格把他的格林函数方法转向了当时的物理前沿,量子电动力学(QED)——电子和光的相互作用。在薛定谔和狄拉克的工作之后,理论家们需要同时考虑量子的、相对论的电子和光子场的自相互作用,以获得它们行为的细节。但是,对于可测量的量(如质量和电荷),计算给出了讨厌的无穷大。施温格首次用格林函数破除了一些数学雷区,在1947年的一篇论文中,他给出了对电子磁矩的一阶辐射修正的结果。他的全部理论在1949年的一篇论文中达到顶峰,由许多页密密麻麻的方程预言的一阶修正是:

其中,α是精细结构常数(≈1/137), μ0是电子的经典磁矩。实验很快证实了这一点。今天,α/2π铭刻在施温格的墓碑上。
量子电动力学是科学中最精确的理论,它对电子 δμ 的五阶预言已经被实验验证到 1013 分之三的精度。QED对理解激光、量子计算和穆斯堡尔谱很重要,是基本粒子物理标准模型的原型。费曼把QED称为“物理学的珠宝”。
碳-12的7.65MeV能级
1953年,英国天文学家霍伊尔(Fred Hoyle)做了一个预言。后来他才认识到,他以及所有生命的存在,都需要这个预言。
在1930年代,贝特(Hans Bethe)等人已经证实,恒星通过将原子核(由质子等构成)聚合为氦核(α粒子)获得能量,然后将它们配对成铍-8(8Be)。除了这个过程以外,科学家还发现了氮、氧和由碳-12(12C)形成的其他的核。然而没有人知道,不稳定的8Be核如何产生12C。这些元素是如何在恒星内部或宇宙大爆炸后产生的?12C 在我们周围到处都是,但它的生成路径却是一个谜。
高度不稳定的8Be核会迅速衰变为两个α粒子,而3个α粒子结合形成12C的理论不成立,因为反应的概率太低,无法解释产生的碳原子核的数量。霍伊尔大胆地预测,12C有一个新能级,比基态高 7.65 MeV。这种激发的12C态(被称为“霍伊尔态”)正好是由8Be与α粒子反应形成的共振。虽然霍伊尔态几乎总是衰减成3个α粒子,但是平均每 2421.3 次衰变,就有一次会进入12C的基态,以伽马射线的形式释放出额外的能量。然后,12C原子要么保持原样,要么与α粒子聚合形成氧原子,从而开始生成序数更高的原子。当恒星变成超新星而爆炸的时候,碳和其他原子核冷却成原子,并填充宇宙。
几个月后,加州理工学院的Ward Wahling实验小组在轰击12C的时候,对氮-14衰变的α粒子谱进行磁分析,在 7.68±0.03 MeV 发现了这样的12C态——霍伊尔正确地预测了宇宙中一个最重要元素的起源。
弱相互作用中的宇称不守恒
到了1950年代,对于电磁相互作用和强相互作用,宇称守恒(镜像的世界和现实世界的外观和行为完全一样)的理念已经确立。几乎所有的物理学家都期望弱力也是如此。然而,如果宇称守恒成立,现有的理论就不能解释 k 介子的衰变。因此,在美国工作的中国理论学家李政道和杨振宁决定,在已知的物理结果中更仔细地考察弱相互作用的宇称守恒的实验证据。他们惊讶地发现,什么也没有找到。
因此,他们俩提出了一个理论,即弱相互作用破坏了左右对称性。他们与实验学家吴健雄合作,设计了几个实验来观察通过弱力进行的不同粒子的衰变。吴健雄立刻开始工作,通过测试钴-60中β衰变的性质,她观察到了一种不对称性,表明了宇称不守恒,从而证实了李政道和杨振宁的预言。
在论文发表后仅12个月,李政道和杨振宁就因为这个预言而获得1957年诺贝尔物理学奖,这是历史上最快的诺贝尔奖之一。尽管吴健雄验证了这个理论,她却没有分享这一奖项,随着时间的推移,这个疏漏变得越来越有争议。

约瑟夫森效应
1977年,诺贝尔物理学奖得主安德森(Phillip Anderson)回忆说,在剑桥大学教约瑟夫森(Brian Josephson,当时是研究生)“是一次令人不安的经历,因为讲的一切都必须正确,否则他会在课后给我解释。”
由于这种关系,约瑟夫森很快就向安德森展示了他做的关于两种超导体的计算,这两种超导体由一层薄的绝缘层或一小段非超导金属隔开。他预言,由电子对(库珀对)组成的“直流超流”可以通过势垒从一个超导体进入另一个超导体,这是宏观量子效应的一个例子。
约瑟夫森计算得到了这种结的电流和相位的变化率:

其中,J1 是绝缘结的参数(临界电流),而 J 是无耗散的电流。Φ 是势垒两侧的库珀对波函数的相位差,e 是电子的电荷,V 是两个超导体的电势差。
9个月以后,安德森和贝尔实验室的罗威尔(John Rowell)发表了对直流隧道电流的实验观察,约瑟夫森因他的预言而获得1973年的诺贝尔奖。约瑟夫森结现在有各种应用,如直流和交流电子电路,以及建造 SQUID(超导量子干涉仪)——可以用作极其敏感的磁强计和电压表的技术,作为量子计算的量子比特,等等。
暗物质
“伟大的天文学家跟我们说,这没啥意思,”有一次,美国天文学家鲁宾(Vera Rubin)告诉一位采访者。

她说的是她和福特(Kent Ford Jr)在1970年的观察结果:在仙女座星系,靠近边缘的恒星(外星,outer stars)都以同样的速度运行。他们观察了更多的螺旋星系,但这种效应仍然存在。星系的转动曲线(银河系内可见恒星的轨道速度与它们到星系中心的径向距离的关系图)是 “平坦的”,这似乎与开普勒定律相矛盾。更令人吃惊的是,星系外缘附近的恒星转动得太快了,它们应该会崩溃。
在鲁宾领导的团队里,福特建造了新的观测仪器(特别是基于光电倍增管的先进光谱仪),可以用数字形式进行精确的天文观测以进行分析。
鲁宾和福特的观测结果使他们预言,星系内部有一些质量导致了异常的运动,望远镜看不到它们,但数量是发光物质的6倍。为纪念瑞士天文学家兹威基(Fritz Zwicky)在1933年对 Coma 星系团进行了一项有启发性的研究,鲁宾和福特首次将“缺失质量”称为“暗物质”,因为它不发光。利用宇宙学的标准ΛCDM模型,计算宇宙微波背景下的温度涨落,人们发现宇宙的总质量-能量包括5%的普通物质和能量,27%的暗物质和68%的暗能量。宇宙中有85%的物质不发光,这对我们来说仍然是个谜,有许多实验正在试图识别它们。
9.如何理解麦克斯韦方程中的不对称性


