
许多生化大分子的振动和转动频率都位于太赫兹波段(0.1~10THz),反映在频谱上呈现出一系列特征吸收峰,即分子指纹信息,可用于爆炸物、危化品、生物样品、食品添加剂、农残等物质的传感检测。对于痕量检测,样品尺寸远小于波长,以致太赫兹传感信号微弱。近年来,人们利用金属超构表面提升太赫兹痕量分子指纹传感性能,却面临两个问题:1.金属固有阻尼损耗造成背景信号干扰强;2.单一窄带谐振增强无法满足宽带多指纹峰的特异性检测需求。介质超构表面传感有望克服上述困难(Optics Letters, 45, 2335, 2020),但需将样品均匀地共形涂覆在有较大起伏度的图案化表面上,这对样品表面特性有较高要求。
DOI: 10.1016/j.carbon.2021.04.084
近日,厦门大学电磁声学研究院朱锦锋教授团队联合中国工程物理研究院朱礼国研究员、厦门大学陈焕阳教授等学者在Carbon期刊上发表论文,提出一种基于耦合模理论的免图案化可重构传感器模型(如图1所示),用于宽带增强的太赫兹痕量分子指纹检测。论文首先讨论超薄碳基材料的太赫兹吸收增强机理,指出在关键耦合条件下器件表面可形成窄带面内电场束缚;考虑到指纹宽频特性,可以通过改变介质层厚度调控吸收增强窄带的中心频率,并使之覆盖一个宽带范围;在此基础上,融合关键耦合与微流控技术,设计基于厚度多路复用的可重构太赫兹传感器,可宽带增强痕量待测物的分子指纹信号。
图1传感结构示意图
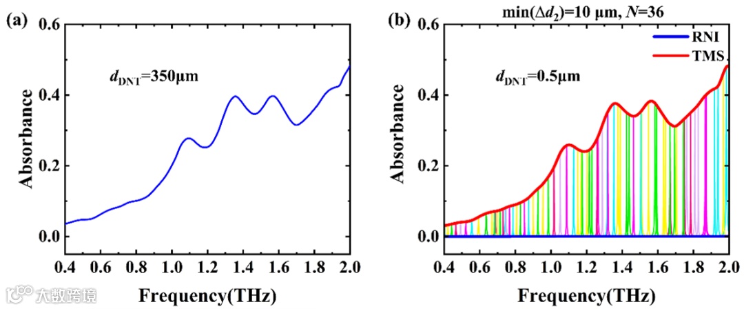
在传感过程中,待测样品附着于器件顶部载物层上,通过调节微流道中非极性液体厚度可获取一系列在连续窄带上太赫兹吸收增强的谱线,这些谱线的吸收峰形成宽带增强的太赫兹分子指纹包络信号,如图2所示。这种厚度多路复用传感方法(TMS)与常规法向入射检测法(RNI)相比,对于痕量二维碳基纳米材料太赫兹分子指纹信号宽带增强效果极其显著,可以更好反映样品指纹特征。该研究表明进一步利用TMS的高阶谐振,可有效降低微机械控制要求,提升检测效率;检测500nm厚2,6-DNT可获取和700倍厚度样品在RNI检测下相同的指纹传感效果(如图3所示)。
图2 20nm厚多层热还原氧化石墨烯:(a)电导率,(b)基模耦合与(c)高阶模耦合的TMS与RNI检测对比。
图3 (a)RNI检测350μm厚2,6-DNT,(b)高阶模耦合的TMS检测0.5μm厚2,6-DNT。
综上所述,该工作提出免图案化太赫兹痕量分子指纹宽带增强传感的重要机制,为实现高性能太赫兹痕量分子指纹检测提供了重要的理论依据。
论文第一作者为厦门大学电磁声学研究院研究生丁山,通讯作者为厦门大学电磁声学研究院朱锦锋教授。该工作得到国家自然科学基金联合基金NSAF和福建省杰出青年科学基金的支持。
免责声明:本文旨在传递更多科研资讯及分享,所有其他媒、网来源均注明出处,如涉及版权问题,请作者第一时间后台联系,我们将协调进行处理(按照法规支付稿费或立即删除),所有来稿文责自负,两江仅作分享平台。转载请注明出处,如原创内容转载需授权,请联系下方微信号。


