

撰稿|由课题组供稿
近日,陕西科技大学董亮伟教授在量子液滴演化动力学领域取得重要理论研究进展。首次发现一类旋转波色--爱因斯坦凝聚体(BECs)中的弯月形超稀量子液滴,该类液滴态是基态和旋转涡旋态液滴之间的一种新型过渡态。相关研究成果以《Rotating Multidimensional Quantum Droplets》为题,于2021年6月17日在《物理评论快报》(Physical Review Letters)上发表。该项工作的合作者为俄罗斯科学院光谱研究所Y. V. Kartashov教授,董亮伟为第一且唯一通讯作者,陕西科技大学为第一单位和唯一通讯单位。该工作受到陕西省高层次人才项目、陕西科技大学科研启动项目、陕西省自然科学基金的支持。
超稀量子液滴是一种类似物质波亮孤子的超冷原子BEC自束缚局域液相态,源于海森堡不确定性原理导出的量子涨落效应。当量子涨落效应引起的李--黄--杨(Lee-Huang-Yang)超平均场排斥力与剩余平均场吸引力之间达到平衡时,在单组份BECs和双组份混合BECs可形成量子液滴。其体积比氦液滴大两个量级,密度比氦液滴(或水)小八个量级,是空气的100万分之一,成为世界上最稀薄的液体。超稀量子液滴已成为冷原子物理、凝聚态物理、非线性科学等领域备受关注的研究热点之一,不仅可用于多体局域和量子多体问题研究,作为探索超冷气体量子力学性质的良好平台,而且在量子信息处理、原子干涉仪、精密测量等方面有着潜在的应用价值。
本项工作基于失谐势调制的李-黄-杨修正超平均场GP方程,发现了新型双组份BECs中持续旋转的超稀量子液滴。这类液滴类似于非线性作用导致的径向局域化的回音壁模式。随着化学势和旋转频率的变化,液滴呈现出丰富多样的形状。从几乎平顶到强烈倾斜的局域波包,延伸到几乎整个极角范围的新月形液滴。临界旋转频率处的液滴转变为涡旋液滴(二维)或涡环液滴(三维),其拓扑指数随化学势绝对值的增加而增大。旋转量子液滴几乎在其整个存在区间内都稳定。它们是基阶和涡旋量子液滴之间的一类基于对称破缺的新型过渡态。本工作受到陕西科技大学科研启动项目、陕西省高层次人才项目、陕西省自然科学基金的支持。

两维不对称液滴随旋转频率变化。(a)
; (b) 

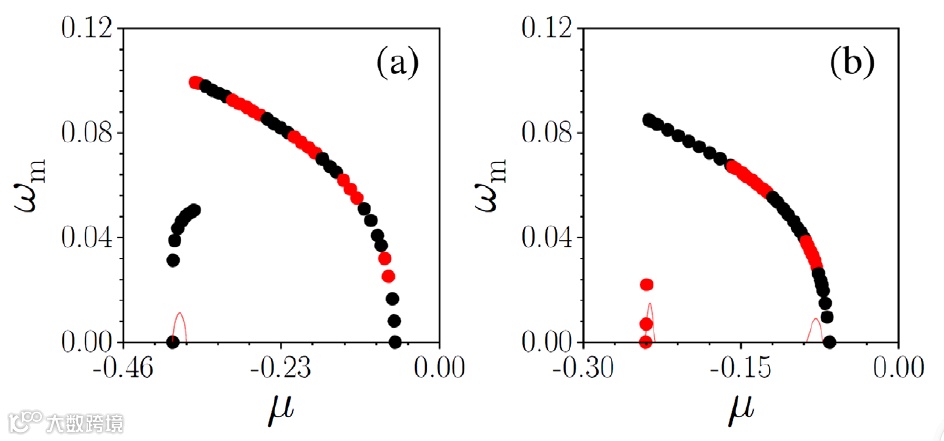
最大旋转频率与化学势关系和液滴稳定范围。
(a) 两维;(b) 三维。红细线:不稳定范围。

旋转三维量子液滴演化:(a) 不稳定;(b) 稳定
[1] D. S. Petrov and G. E. Astrakharchik, “Ultradilute Low-Dimensional Liquids,” Phys. Rev. Lett., 117, 100401 (2016).
[2] M. Schmitt, M. Wenzel, F. Bottcher, I. Ferrier-Barbut, and T. Pfau, “Self-bound droplets of a dilute magnetic quantum liquid”, Nature, 539, 259 (2016).
[3] C. R. Cabrera, L. Tanzi, J. Sanz, N. Naylor, P. Thomas, P. Cheiney, and L. Tarruell, “Quantum liquid droplets in a mixture of Bose-Einstein condensates,” Science, 359, 301 (2018).
[4] I. Ferrier-Barbut and T. Pfau, “Quantum liquids get thin,” Science, 359, 274 (2018).
文章链接:

https://journals.aps.org/prl/abstract/10.1103/PhysRevLett.126.244101

免责声明:本文旨在传递更多科研资讯及分享,所有其他媒、网来源均注明出处,如涉及版权问题,请作者第一时间后台联系,我们将协调进行处理,所有来稿文责自负,两江仅作分享平台。转载请注明出处,如原创内容转载需授权,请联系下方微信号。



