

由于没有悬挂键和晶格失配,范德华异质结(vdWHs)在下一代功能性电子和光电器件方面表现出了巨大的潜力。在已报道的vdWHs器件中,自供电光电二极管以基于光伏效应的无能量消耗为特征,因其很好地契合下一代光电子纳米器件的迫切需求而受到广泛关注。重要的是,与光电晶体管或光电导体相比,自供电vdWH光电二极管具有光伏能力和快速响应时间。然而,由于缺乏增益,当前的自供电vdWHs光电探测器始终存在低响应率的问题,这限制了极端条件下的应用,例如弱光信号。此外,由于场效应引起的长寿命陷阱状态,这些探测器的响应时间通常在毫秒级。因此,很难在同时拥有快速响应和高灵敏度方面取得平衡。
有鉴于此,近日,河南师范大学物理学院夏从新教授(通讯作者)和蒋玉荣教授(第一作者)等设计了一种基于WSe2/MoS2/WSe2双vdWHs的光伏场效应光电二极管(PVFED),其中源自一个vdWH的光电压调制另一个vdWH的光电特性。本文提出的光电二极管表现出出色的自供电能力,具有715 mA·W-1的高响应率和45 μs的快速响应时间。这项工作展示了一种通过引入光伏场效应来优化vdWH光电性能的有效方法。文章以“Photovoltaic Field-Effect Photodiodes Based on Double van der Waals Heterojunctions”为题发表在著名期刊ACS Nano上。
图1. PVFED器件的材料结构和特性。(a&b)PVFED器件的示意图和光学显微照片。(c)pnp器件的二维AFM图像。(d)四个不同区域收集的拉曼光谱。(e&f)在黑暗中通过c-AFM和在405 nm激光照射下通过扫描光电流显微镜绘制的PVFED器件电流成像。
在这项工作中,通过垂直堆叠p型WSe2和n型MoS2,设计了一种基于双vdWHs的光伏场效应光电二极管(PVFED),如图1a所示。其中,一个p型层是浮动的,没有连接任何电极。图1b显示了PVFED的OM图像,Au和ITO分别用作漏电极和源电极。如图1c所示,通过AFM测量的器件总高度约为61 nm。为了研究双vdWHs的质量,在图1d中,进行拉曼光谱测量。在重叠区域,MoS2和WSe2的拉曼模式之间没有位置变化。此外,WSe2/MoS2/WSe2的拉曼光谱仍然保留了MoS2和WSe2的总和,证明PVFED中的双vdWHs构建良好。在图1e中,在黑暗中以5 V偏置进行了导电原子力显微镜(c-AFM)测量。与单层和双层相比,三层重叠区域的暗电流最低,这是高比探测率的关键要求。低暗电流表明重叠区域中电荷耗尽。为了研究PVFED的光响应能力,在图1f中,通过扫描光电流显微镜在1 V偏置下测量光电流成像。当器件被405 nm激光照射时,在重叠区域周围观察到最大的光电流,这种趋势与先前报道中的单一vdWH非常吻合。这些结果表明,PVFED的重叠区域具有最大的光电流和最低的暗电流,这有利于在UV-NIR范围内实现更好的光电探测能力。
图2. 不同入射功率密度白光照射下的电子性能。(a&b)PVFED和HBD的Ids-Vds曲线。(b&e)PVFED和HBD的电功率。(c&f)零偏置电压下,从PVFED和HBD的Ids-Vds中提取Jsc和Voc作为功率强度的函数。
为了进一步利用PVFED的光电性能,通过实验测试了PVFED的电流-电压(I-V)曲线,PVFED是一种具有双vdWHs(称为HBD)和单vdWH器件(称为pn结二极管)的汉堡结构。对于PVFED,漏极偏置电压与顶部WSe2层相连,源极偏置电压与夹层MoS2上的ITO相连,底部WSe2悬浮。对于HBD结构,漏极偏置电压与上下两层WSe2层相连,源极偏置电压与中间层MoS2相连。有趣的是,在Ids-Vds特性曲线中,如图2a和d所示,观察到PVFED和HBD的两个明显差异。首先,对于PVFED,如图2c所示,开路电压(Voc)最初与入射光强度成正比,然后随着光功率强度增加逐渐达到饱和。然而,对于HBD,如图2f所示,Voc与入射光强度成反比。这种趋势与传统pn结的常见光伏行为相反,表明HBD不适合光伏应用。其次,PVFED光电流密度和光功率密度的关系不符合常规pn结通常遵守的幂律(I=pr)。很明显,PVFED的光电流值远大于相同偏置下的pn结器件,这表明PVFED中获得的光生电荷更多。此外,在相同光强下,PVFED的Jsc是HBD和pn结二极管的两倍。
PVFED的光伏特性如图2b所示,在38.6 mW·cm-2光照的功率密度下,最大Voc和Jsc可以达到0.34 V和4.1 mA·cm-2,η(光电转换效率)约为2.98%。Voc和Jsc高于大多数报道的WSe2/MoS2单vdWH器件。因此,PVFED的η远高于报道最多的垂直WSe2/MoS2异质结光伏器件。然而,对于HBD,如图2e所示,可以计算出大约0.61%的η,远低于PVFED。与其他HBD结构类似,观察到无光伏行为或弱光伏性能。PVFED在零偏置下表现出低暗电流(0.71 pA)和高光暗比(7.7×104)。PVFED和pn结的比较研究表明PVFED中的浮动vdWH可以抑制暗电流并随后增强Voc。此外,PVFED的Voc随着光强度增加而增加,这意味着在底部vdWH形成的光电压可以有效地调制器件的Voc。对于PVFED,光电压值仅取决于顶部vdWH,因为底部vdWH的光电压是浮动的而不是再循环的,而HBD的光电压取决于底部和顶部vdWH的光电压之和,因为它们都被再循环到相反的方向。当光强增加时,更多的光可以穿透到底部结区,因此,当顶部的光照量饱和时,会产生较大的底部vdWH光电压(Vb),而顶部光电压(Vt)几乎保持不变。因此,总的Voc=Vt-Vb会随着入射光强度增加而减小甚至消失。因此,无论是PVFED还是HBD,在双vdWH中都证实了光伏场效应。
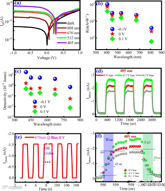
图3. PVFED作为自供电光电探测器的优点。(a)在405至808 nm不同波长照射下的I-V曲线。(b&c)不同偏置下的响应率和探测率。(d)时间相关的光电流响应。(e)零偏置下670 nm红光照射下100次循环的光电流响应稳定性。(f)放大的循环。
如图3a所示,光电流随着波长增加而降低,这是因为异质结在短波长附近具有较高的光吸收能力。在图3b中,在405到808 nm的不同波长照射下表现出响应率R,并且405 nm处的最高R达到715 mA·W-1,比目前报道的WSe2/MoS2光电探测器高6倍,也高于大多数基于vdWH的自供电光电探测器。在-1 V偏置下,响应率进一步增强至1.77 A·W-1。器件在零或负偏置时的R值明显高于正偏置,这种趋势与普通pn结器件的行为非常吻合,表明PVFED器件主要工作在光伏二极管模式,而不是晶体管模式。随后,计算了比检测率(D),不同波长照射下D的值如图3c所示。在405 nm照射下获得了1.59×1013 Jones的最大D,在已报道的WSe2/MoS2基自供电光电探测器中是最高的,甚至可以与多模态光电探测器和商业化InGaAs光电探测器相媲美。这些结果表明PVFED具有超高的灵敏度,包括高响应率和探测率。
响应速度是光电探测器的关键参数之一。在图3d中,测量了时间分辨的光响应。在零偏置下,相应的光开关比可达∼7×104。此外,光电流随着偏置而变化,并且在负偏置下增强,在正偏置下减小。这种趋势进一步揭示了PVFED的光电二极管性质,其中MoS2/WSe2界面附近的电子-空穴对被反向偏置迅速分离。此外,在图3f中,还观察到约45 μs的快速响应时间,这是已报道的MoS2/WSe2异质结器件中最快的,比最近报道的WSe2/MoS2基自供电光电探测器短5倍。此外,光电流在长时间开关循环后仍保持良好的矩形波形状,如图3e所示,这表明PVFED具有优异的可逆性和稳定性。
图4. PVFED的能带结构。(a&c)块材MoS2和WSe2的第一性原理计算。(b)WSe2/MoS2/WSe2的能带排列。(d&e)黑暗和光照下的电荷分布图。(f)光生电子聚集在夹层MoS2中的示意图。(g)光照状态下带隙和电荷转移的截面图。
在足够厚WSe2和MoS2层的基础上,采用了经典pn结中的电荷耗尽区模型。首先,基于第一性原理计算,计算了MoS2(图4a)和WSe2(图4c)的能带结构。WSe2和MoS2异质结显示出II型能带排列,并绘制了WSe2/MoS2/WSe2的能带排列(图4b)。产生了明显的能带偏移,形成两个II型异质结,并且能带排列对称。在p型WSe2和n型MoS2载流子浓度不同的基础上,如图4d所示,形成了不对称的耗尽区和两个相反方向的内建电场(E)。另一方面,WSe2层应在MoS2层的两侧形成两个耗尽区,电子被内建电场分成两个相对的侧。因此,夹层MoS2区域没有n掺杂态,自由电荷完全耗尽,使MoS2层在黑暗条件下变为高阻区,从而获得超低暗电流。在光照下,在MoS2和WSe2区域都会产生光生载流子。在两个相反的内建电场下,顶层和底层WSe2导带中的光生电子将被扫入夹层的MoS2层中。如图4f所示,MoS2的电子密度增加,形成大量电子坑。另一方面,空穴将从MoS2导向WSe2并被困在WSe2的价带顶处。当光生电荷发生双向分离时,费米能级分裂为两个准费米能级(Efn和Efp)。如图4g所示,两个光电压在两个界面附近形成,具有相反的方向。同时,MoS2中限域的电子和顶部WSe2中的空穴重新循环,净光电流增强。对于HBD结构,当两个相反的内建电场连接在一起时,器件的光伏性能很差,而对于PVFED结构,底部WSe2是浮动的,没有连接任何接触电极,那么,底部vdWH中的内建电场无法再循环。总而言之,底部vdWH的内建电场不会影响总光电压。尽管如此,底部vdWH的内建电场可以将光生电子扫到MoS2层,而残留的空穴不能再循环从而积累形成光电压(Voc2),这将为夹层MoS2提供光浮栅效应并相应地提高光电流。因此,浮动的WSe2为高灵敏度提供了多种贡献,包括通过完全耗尽夹层MoS2来抑制暗电流、通过提供光生电子和光浮栅控效应来增强光电流。
快速光响应是PVFED的另一个重要优点。首先,底部vdWH可以屏蔽玻璃衬底中来自SiO2的陷阱,并减少陷阱的记忆效应,这是造成慢响应拖尾的原因。其次,PVFED受益于内建电场,具有超快的光激发载流子分离能力,可以实现快速的光电探测器响应。最后,如图4a所示,在n型MoS2层中,两个方向相反的内建电场(E)将输运距离(L)切成两段,缩短了输运时间,助于在保持快速响应时间的同时获得高增益。。
本文提出了一种带有双vdWHs的光电二极管,其中浮动vdWH的光电压作为光电栅来调制另一个vdWH的电荷载流子转移。该器件具有0.34 V的大Voc和4.1 mA·cm-2的Jsc,可以保证自供电光电探测。更重要的是,所设计的光电二极管同时表现出优异的自供电光电探测性能,在没有任何外部偏置下,R为715 mA·W-1,D为1.59×1013 Jones,响应时间为45 μs。这些结果表明,PVFED架构为高性能光电子纳米器件提供了令人兴奋的潜力。
Photovoltaic Field-Effect Photodiodes Based on Double van der Waals Heterojunctions
(ACS Nano, 2021, DOI:10.1021/acsnano.1c02830)
文献链接:
https://pubs.acs.org/doi/10.1021/acsnano.1c02830
免责声明:本文旨在传递更多科研资讯及分享,所有其他媒、网来源均注明出处,如涉及版权问题,请作者第一时间后台联系,我们将协调进行处理,所有来稿文责自负,两江仅作分享平台。转载请注明出处,如原创内容转载需授权,请联系下方微信号。
