
法律顾问:赵建英律师
本文经AI新媒体量子位( ID: QbitAI)授权转载
转载请联系出处
作者:杨净 鱼羊 发自 凹非寺
前两天,一件来自中国的衣服登上了Nature。

没看出有什么特别?别眨眼,下一秒神奇的事情就发生了(注意那个手机)。

没错,这件衣服正在给手机无!线!充!电!
不是把充电宝缝进了衣服里,而是这件可以正常折叠、水洗的衣服,本身就是一块电池!
这项最新研究来自复旦大学彭慧胜教授团队,也是该团队半年内第二次在Nature发文。
上一篇Nature里,他们把衣服做成了显示器,能打字聊天、能导航,还能显示人体健康信息。

这一回,好家伙,直接一个双剑合璧,把电源供应问题也给解决了
。

是不是有点科幻大片内味儿了?
△《时间规划局》
正经一说,这项研究也得到了Nature审稿人的高度评价:
(这项工作是)储能领域和可穿戴技术领域里程碑式的研究。
是柔性电子领域的一个里程碑。
你的下一个充电宝可能是衣服
所以,这件衣服究竟有何玄机?
关键词是纤维锂离子电池(FLIB)。
△就是它
别小看这么一条“线”,在此前的研究中,这条“线”的长度通常只能达到几厘米,很难为手机、电脑这样较大的电子设备供电。

而这一次,彭慧胜团队成功基于理论验证,制备出了数米长的高性能长纤维锂离子电池:长度1米的情况下,其能量密度达到85.69Wh/kg,可为心率监测仪和血氧仪等商用可穿戴设备提供使用超过2天的电量。
将其同普通纺织物织到一起,手机平板都能充。

折叠、水洗都没啥影响。


安全性也有保证。遭受外力破坏的情况下,普通电池很容易发生燃烧、爆炸。但实验显示,织物电池在被车撵、被刀戳的情况下,依然能保持稳定。


研究团队还监测了电池放电时衣物温度的变化情况。结果显示,在放电的40分钟内,温度并没有发生明显波动。

此外,这一衣服电池在500次充放电循环之后,容量保持率能达到90.5%,库仑效率为99.8%。在曲率半径为1厘米的情况下,弯折10万次之后,其容量保持率仍大于80%。
每米成本低于3角
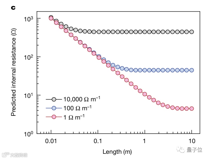
前文也提到,此前,工业级别上很难生产长度超过几厘米的纤维锂离子电池。其中很重要的一个原因是,较长的纤维被认为会有较高的内阻,而电池的内阻对其电化学性能具有重要影响。
所以复旦彭慧胜团队具体是如何实现突破的?
有两个方面。
首先他们发现,纤维内阻与长度呈现的是双曲余切函数关系。

换句话说,就是纤维内阻先随着长度的增加而降低,之后趋于平缓。
那么这两者之间的关系究竟是如何发现的呢?
手工自制锂电池。
电池正极为铝线,涂层为钴酸锂LCO,典型锂电池正极活性材料;负极为有石墨涂层的铜线,并用商业隔离膜包裹以防止短路。
将正负极缠绕在一起,制备成不同长度的纤维锂电池(0.1米、0.2米、0.5 米和1米),并测量他们的电化学性能。

最终经过系统性研究表明,这一关系具有普遍性,对不同的纤维电池均有效。
理论基础可行,那就到了第二阶段——工业化制备,生产长达数米的高性能纤维电池。
最大的难点,是如何均匀地将浆液均匀涂在正负电极上。
目前大部分商业化电池就不存在这样的问题,在平面基材上涂抹更加均匀,厚度也容易控制。然而对于柔性、弯曲的纤维表面就很有难度。
这是因为,在涂层负载过程中,曲面结构使得活性材料承受较大的表面张力,从而导致活性材料涂层不均匀,影响整个电池的性能和稳定性。
论文一作何纪卿接受澎湃采访时表示,这会导致曲面产生不平整的串珠结构。

而团队找到了最佳粘合剂含量,在这个含量下电极表面变得光滑。
那么具体是如何制备的呢?
钴酸锂LCO(红色)和石墨(蓝色)浆液分别涂在铝和铜的集流体上。

干燥后,负极再用分离剂包裹,与正极缠绕在一起。嗯,大概是这种密不可分的程度。

随后,通过挤压封装在一个管道中,这个封装管由聚丙烯管包裹铝塑带制成,水蒸气透过率低,不易受到外界环境影响。

技术含量这么高,价格又如何?
论文介绍:每米成本略低于0.05美元(约合0.3元人民币),对于消费产品来说是经济的。

半年两登Nature的彭慧胜团队
最后再来简单介绍下背后的团队——
复旦大学高分子科学系彭慧胜团队,研究柔性电子材料已经超过十年。
而在今年半年时间,他们就两度得到国际顶刊认可。
今年3月,他们打造的衣物显示器登上Nature。

能聊天能导航,水洗弯折都不怕,纺织布料最长可达6米,其中包含50万个发光单元,间距最小可达到0.8毫米,可以满足高分辨率显示的要求。

而现在,他们以可充电衣物再登Nature。
共同一作是他的两位高分子科学系博士生何纪卿和路晨昊。
2008年彭慧胜刚回复旦,当时就已经想到“如果把锂离子电池做成纤维,一定很好玩。”
2013年,彭慧胜团队实现世界第一个纤维锂离子电池,之后不断进行拓展。
如今距离规模化生产又前进了一步,甚至有了更加明晰的实用价值。
彭慧胜表示:
从目前纤维锂离子电池的性能和工程化水平判断,有望在3-5年实现规模化生产与应用。如果资源比较集中和高效利用,也有可能2-3年就能实现。
没准儿过不了多久,你的下一个充电宝,就是一件衣服。(手动狗头)
论文地址:
https://www.nature.com/articles/s41586-021-03772-0
参考链接:
https://www.thepaper.cn/newsDetail_forward_14313938

免责声明:本文旨在传递更多科研资讯及分享,所有其他媒、网来源均注明出处,如涉及版权问题,请作者第一时间后台联系,我们将协调进行处理,所有来稿文责自负,两江仅作分享平台。转载请注明出处,如原创内容转载需授权,请联系下方微信号。




