
今天我们继续为大家带来本周的超材料前沿研究精选,内容涉及面对高噪声的基于纠缠的量子通信路径,来自光谱绕组拓扑的量子化经典响应,可重构太赫兹的可调谐环形响应超材料等敬请期待!
索引:
1 面对高噪声的基于纠缠的量子通信路径
2 来自光谱绕组拓扑的量子化经典响应
3 原子薄半导体中二次谐波产生的全光偏振和振幅调制
4 高维声光相关光谱学揭示了多型纳米线中的耦合载流子动力学
5 一种用于声传感的可调谐梯度声超材料
6 可重构太赫兹的可调谐环形响应超材料
7 缺陷对粘弹性穹顶伪-双稳态的影响
8 通过压缩和弯折定制受折纸启发的、弯曲磁性结构的多稳态性
量子密钥分发(QKD)是量子信息理论最突出、最成熟的应用之一。它可以用来在双方之间建立一个共享的、私有的随机比特串,然后用来加密信息。基于纠缠的量子通信在实际的秘密共享密钥分发中提供了更高的安全性。实现这种安全性的基本原理之一——干扰一个光子将破坏纠缠,从而被探测到——也是最大的障碍。旅行光子的随机相遇、损耗和技术上的不完善使噪声成为任何量子通信方案中不可避免的一部分,严重限制了距离、密钥速率和量子密钥分配所能采用的环境条件。
近日,来自中国科学技术大学中国科学院量子信息重点实验室的Xiao-Min Hu等人给出了一个基于纠缠的高维量子密钥分发(HDQKD)协议的第一个实验演示,该协议对分布式状态没有任何假设。最近的研究表明,高维纠缠,即多自由度纠缠,与低维纠缠相比,对真实物理噪声的抵抗能力更强。这导致了QKD协议的提出,在高维状态的多个子空间中同时编码,从理论上预测了在前所未有的噪声水平下建立安全密钥的可能性。最近的一个突破是开发了用于创建和操作路径纠缠的实验装置,它允许实现具有高保真度的真实多结果测量。他们集中了上述想法,使用八维路径纠缠和双边八结果测量来实现前者中引入的协议。他们表明,即使在后处理后,密钥率超过1位/次,即,每个检测对建立的密钥将超过可能在一个完美和无噪声的量子位编码。此外,他们通过在实验中加入人工噪声来准备一个完整的状态族,充分探索了该协议可实现的抗噪声能力。相关研究工作发表在《Physical Review Letters》上。(詹若男)

文章链接:
Xiao-Min Hu et al. Pathways for Entanglement-Based Quantum Communication in the Face of High Noise. Phys. Rev. Lett 127, 110505 (2021)
DOI: 10.1103/PhysRevLett.127.110505
2 来自光谱绕组拓扑的量子化经典响应
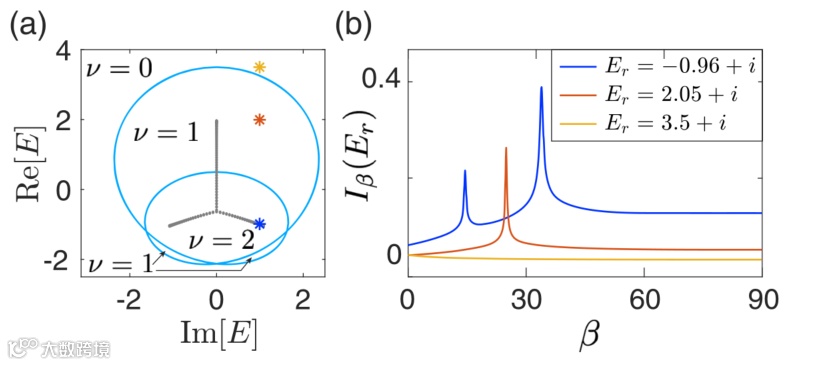
自从发现量子霍尔效应以来,拓扑量子化已经吸引了一整代物理学家。近年来,由于在量子反常霍尔和量子自旋霍尔效应中观察到的离散变化的霍尔电导,拓扑量子化作为一种新的量子现象的地位进一步加强。通过建立严格的线性响应理论,拓扑圈数和量子化电导率之间的联系确实赢得了量子凝聚态物理的经典成果的地位。的确,量子化霍尔响应和重要的陈氏拓扑现在几乎被广泛认为是同义词。然而,量子化响应的概念迄今为止还没有在经典系统中出现。如果没有量子力学基态,经典系统将无法修正传统的线性响应理论,该理论将量子化响应表示为基态上的微扰。经典的超材料,如光子晶体、声学结构和电路,可以具有整数数量的拓扑保护边界状态,它们的响应行为不是基于可访问通道的数量,而是基于微分方程的非量化的模拟解。
近日,来自中山大学珠海分校物理与天文学院、广东省量子计量与传感重点实验室的Linhu Li等人发现了量子化经典响应的全新范式,即基于复杂谱平面上的谱圈数,而不是基于动量空间中本征态的圈数。这种量子化响应是经典的,因为它适用于现象学的非厄米设置,产生于格林函数的基本数学性质,并显示在稳态响应,而不调用传统的线性响应理论。具体地说,描述信号放大的一个量的变化与一个假想的类通量参数的变化的比值显示出了令人着迷的高地,它们的量子化值由谱圈数给出,并作为拓扑不变量。相关研究工作发表在《Nature Communications》上。(詹若男)

文章链接:Linhu Li et al. Quantized classical response from spectral winding topology. Nature Communications (2021) 12:5294
https://doi.org/10.1038/s41467-021-25626-z
3 原子薄半导体中二次谐波产生的全光偏振和振幅调制
自首次证明光学谐波产生以来,非线性光学半个多世纪以来一直是科学技术研究的焦点。特别是,二次谐波产生(SHG)是一个二阶非线性过程,广泛应用于频率转换、频率梳自引用、晶体对称和Rashba效应研究、传感、界面光谱和超短脉冲表征。除了自由空间的应用外,人们对微尺度集成非线性器件的实现越来越感兴趣。而一个主要的挑战来自于硅(Si)和氮化硅(氮化硅)的中心对称性质,即该性质禁止二阶非线性。许多研究工作致力于整合非线性晶体,如铌酸锂,或Si和氮化硅中的对称破缺,这可以通过调控应变、电场或光电效应等。
近日,来自德国席勒大学的Sebastian Klimmer等人演示了在二硫化钼中进行二次谐波产生的全光调制,调制深度接近100%,其速度仅受基本脉冲持续时间的限制。这一结果来自结合D3h晶体对称和样品的深亚波长厚度,因此,它可以扩展到整个过渡金属二卤族,为先进的非线性光学器件的设计提供极大的灵活性,如高速集成频率转换器,用于超短脉冲表征的宽带自相关器,以及可调谐纳米级全息图。相关工作发表在《Nature Photonics》上。(郑江坡)

文章链接:
https://doi.org/10.1038/s41566-021-00859-y
4 高维声光相关光谱学揭示了多型纳米线中的耦合载流子动力学
声表面波(SAW)是一种用于探测和操纵各种系统的物理特性的有效手段。当这些波在压电材料表面传播时,应变会产生一个旋转的电场。这个电场,反过来,有效地电离激子,并诱导这些游离电子和空穴在半导体纳米结构中的时空力学相互作用。诱导动力学在时域上对光发射进行了强调制,在光致发光实验中可以检测到它们的特征纹理。在声光电子能谱(AOES)中,基础的时空动力学与计算进行了比较,从而可以确定所研究的纳米结构中的电子和空穴的输运迁移率。到目前为止,这种通用的方法仅限于具有单一传输信道的系统,它可以通过其在光谱中的特征发射信号来选择。但在许多系统中,不同的传输和/或重组通道共存。一个突出的例子是外延半导体纳米线(NWs)。在这个系统中,晶体相混合(多型性)导致了势垒的形成和载流子的定位。
近日,来自德国奥格斯堡大学的Maximilian M. Sonner等人提出了一个多通道平台的应用,以监测随时间变化的声表面波调制发射多达三个光谱隔离的衰减通道。利用多型GaAs-(Al)GaAs核壳纳米线作为模型系统,能够直接和同时观察耦合载流子动力学。此外,该工作还表明,可以直接获得这些数据的高阶相关性,揭示了潜在的耦合动力学的清晰纹理。
相关工作发表在《PHYSICAL REVIEW APPLIED》上。(郑江坡)
文章链接:
10. 1103/PhysRevApplied.16.034010
声传感技术是结构健康监测、声源定位、水声通信等众多工程应用中的一个热门话题,基于超材料的声传感技术因其独特的特性而受到广泛关注。这些独特的特性,包括但不限于声聚焦、声隧道、声彩虹捕获、点/线缺陷、奇异声散射,为声传感技术的持续发展提供了前所未有的机遇。然而,目前基于超材料的声传感技术由于工作频带窄且不可调,在实际工程应用中普遍受到限制。因此,开发一种基于宽带可调谐超材料的声传感系统在学术界和工程界都具有重要意义。最近,梯度声学超材料(GAM)被证明能有效地拓宽频带。通过GAMs实现的声彩虹捕获效应使声波能够选择性地减速并捕获在亚波长区域,从而产生强烈的局部振幅增强,但在实际应用中,GAMs的工作频带是固定的。在这种情况下,固定的工作频带将极大地阻碍GAMs在不同工作条件下的应用。因此,可调谐GAMs的实现对于更多的工程应用将是一个巨大的改进。
近日,湖南大学机械与车辆工程学院、车身先进设计与制造国家重点实验室的Dejie Yu教授研究团队提出了一种由平板和弹簧阵列组成的可调谐梯度声学超材料(GAMs)以用于声传感。他们的理论研究表明,通过改变两个板之间的空隙距离,工作频带可以拓宽300 Hz以上。他们还通过实验验证了GAM的可调谐性并可以通过压缩弹簧使工作频带展宽,与现有平差方法相比,该方法在实际应用中更方便、更易于实现。此外,以高斯脉冲信号为例,该团队还证明可调谐GAM可以应用于更多的工程应用中,这项工作为推动基于超材料的声传感技术在实际应用中的发展提供了一种切实可行的方法。相关研究发表在《Extreme Mechanics Letters》上。(钟雨豪)

文章链接:
https://doi.org/10.1016/j.eml.2021.101481
6 可重构太赫兹的可调谐环形响应超材料
动态环形偶极子(TDs)激励是由环形结构表面的极向电流产生的,包括以头尾方式诱导磁偶极子(MDs)。然而,由于它们的辐射模式与电偶极子(EDs)相似,在天然材料中较弱且不常见,因而长期以来一直被忽视。后来研究表明,在亚波长区域,R≪λ,TDs利用在亚波长谐振器中电荷和电流分布引起环形谐振的损耗,提供了另一种操纵辐射的方法。另一方面,超材料是由亚波长块内的多个谐振器组成的,它提供了一种新颖的方法来控制每个单元单元内的磁场(h场)方向,从而实现头尾环形结构。这种由MD或ED诱导的环形超材料在纳米光子和等离子体系统中的潜在应用引起了科研人员相当大的兴趣,包括精密传感、激光、非线性谐波信号源。
近日,波士顿大学机械工程系Chunxu Chen等人提出了一种可重构太赫兹超材料,将人工环面超分子和传统的微机电系统双材料悬臂结构集成在同一单元内。通过热驱动改变弯曲角度,环面偶极子强度在平面外方向增加了5个数量级,环面强度总体增加近1个数量级。太赫兹时域光谱作为角度函数被用来确定传输的演化分析。这使得使用多极分解和相位分析提供的额外环形响应的数值分析成为可能。研究结果表明,使用双材料悬臂梁来实现可调谐环形矩,在传感和下一代通信技术中具有潜在的应用前景。相关研究工作发表在《Advanced Optical Materials》上。(丁雷)

文章链接:Chunxu Chen et al, Tunable Toroidal Response in a Reconfigurable Terahertz Metamaterial,Adv. Optical Mater(2021).DOI: 10.1002/adom.202101215.
7 缺陷对粘弹性穹顶伪-双稳态的影响
弹跳突变不稳定性是指在一定荷载作用下,结构从一种亚稳态转变为另一种非相邻稳定状态的不稳定性模式。储存在亚稳态的大量弹性能被释放并转化为动能,导致发生非常迅速的转变。弹跳突变的不稳定性广泛存在于自然界和日常生活中,如捕蝇草、发夹和弹跳玩具。在工程中也有各种实际应用,如利用弹跳突变,储能和可逆变形的能量吸收驱动和变形器件。目前的研究集中在拱门和穹顶的突变不稳定性上。粘弹性是描述材料随时间和速率变化的特性,它对弹跳突变不稳定性有着深远的影响。特别是,一些粘弹性系统显示出在移除外部载荷后在一段时间内保持变形构型的能力,然后自动快速恢复其初始构型,这种现象称为伪-双稳态或临时双稳态。伪-双稳态的机制是粘弹性系统材料性质的时间演化可以触发系统从单稳态到双稳态的转变。在粘弹性拱形和穹顶中广泛研究了伪-双稳态,特别是松弛过程中弯曲能与拉伸能之比的降低被归因于伪-双稳态。众所周知,弹跳突变不稳定性对几何缺陷高度敏感。在壳屈曲中,理论预测的临界屈曲载荷与实验观察到的临界屈曲载荷之间的差异有很长的历史,并且引入了大的破坏因子来解释由于缺陷引起的屈曲载荷的显着降低。
近日,哈尔滨工业大学冷劲松教授和美国加州大学洛杉矶分校Jin Lihua团队鉴于几何缺陷对球形穹顶的弹跳突变屈曲的显着影响,提出了粘弹性穹顶的伪-双稳态如何受到几何缺陷影响的问题。为了回答这个问题,文章采用了分析建模、有限元分析和实验相结合的方法。利用有限元法研究了具有系统变化的几何缺陷的完美和不完美穹顶的弹跳突变屈曲。通过实验,用带有缺陷的模具铸造粘弹性弹性体来制造不完美的穹顶。为了进一步理解缺陷对伪-双稳态性的影响,建立了粘弹性穹顶的解析离散模型,并研究了完美和不完美穹顶的瞬态和动力响应。结果表明,即使是很小的缺陷也可以在伪-双稳态中发挥重要作用。振幅为正的缺陷使粘弹性穹顶向双稳态行为移动,对应于更长的瞬变时间,而振幅为负的缺陷使穹顶向单稳态行为移动,从而导致更短的瞬变时间。理解不完美的几何作用将使我们能够更好地驾驭和编程应用粘弹性穹顶的伪-双稳态性。这项工作可以为控制多功能结构的时空行为开辟新的机会。相关研究发表在《Extreme Mechanics Letters》上。(徐锐)
文章链接:
T. Liu, Y. Chen, L. Liu, et al. Effect of imperfections on pseudo-bistability of viscoelastic domes[J]. Extreme Mechanics Letters, 2021.
https://doi.org/10.1016/j.eml.2021.101477
8 通过压缩和弯折定制受折纸启发的、弯曲磁性结构的多稳态性
折纸是一种很古老的艺术,将2D薄片沿着预先定义的折痕折叠成3D物体,这启发了许多工程结构,包括可展开系统、自折叠机器、可重构超构材料和DNA折纸等。对于这些应用,结构的一个关键设计特征是它们具有多个稳态的能力以及针对可调性和适应性调整这些状态的能力。迄今为止,现有的工作主要集中在刚性折纸图案(如三浦折纸及其衍生物)和可变形折纸(如扭曲方形图案)的双稳态系统上。除了多稳态外,许多工程设备和结构都要求折纸激励结构的不同稳态之间以良好的控制方式进行重构。对折纸结构中的重构路径进行了理论和实验研究。此外,通过将刺激响应材料(如形状记忆聚合物、水凝胶、液晶弹性体和磁性复合材料)结合到折纸结构中以实现自我折纸,在提高折纸结构的可调性和适应性方面取得了重大进展。在外部驱动(即温度、光、pH和磁场的变化)下折叠和按需形状变形。这种自致动材料还使微型折纸结构的组装成为可能,为微型机器人、生物医学设备等提供了机会。
近日,美国康涅狄格大学Xueju Wang教授、英国杜伦大学Halim Kusumaatmaja教授和美国雪城大学Teng Zhang教授团队展示了如何通过折痕和压缩应变来定制由铁磁复合薄膜弯曲的折纸启发结构的多重稳态。以带状结构为例,由于其具有非常丰富的非线性屈曲行为,同时具有简单的几何形状以及作为更复杂结构的基本单元的潜力,因此是理想的策略设计平台。压缩应变和带中的折痕为控制参数,因为其易于调整,且可以非常有效地改变结构的多稳态行为。采用一种计算效率高的离散壳模型来模拟薄膜的非线性变形,并结合能量最小化的随机搜索算法来构造相图,以显示可用的稳定状态如何敏感地依赖于压缩组装应变和结构折痕。在具有代表性的恒定应变(15%)和不同折痕数的情况下,以及在给定折痕数(3个折痕)和不同应变的情况下,对相图的预测进行了实验验证。利用能量势垒探测算法识别稳定状态之间的重构路径,首先采用双端搜索方法确定连接最小值的过渡状态,然后利用到达每个稳定状态的下坡路径计算完整路径。这种方法允许系统地计算具有最低能量势垒的重构路径,而无需假设结构变形的预定义路径。铁磁结构的多稳态之间的快速、远程重构是用便携式磁铁通过实验进行的,其路径与计算预测的路径一致。最后,在紧密集成的数值和实验分析的指导下,展示了多种复杂的折纸启发结构,包括可以基于结构单元、仿生昆虫和软体机器人的多稳态显示各种图案的结构阵列。这些研究为功能性多稳态结构的合理设计奠定了基础。相关研究发表在《Materials Horizons》上。(徐锐)

文章链接:
Y. Li, S. J. Avis, H. Kusumaatmaja, et al. Tailoring the Multistability of Origami-Inspired, Buckled Magnetic Structures via Compression and Creasing[J]. Materials Horizons, 2021.
https://doi.org/10.1039/D1MH01152A

免责声明:本文旨在传递更多科研资讯及分享,所有其他媒、网来源均注明出处,如涉及版权问题,请作者第一时间后台联系,我们将协调进行处理(按照法规支付稿费或立即删除),所有来稿文责自负,两江仅作分享平台。转载请注明出处,如原创内容转载需授权,请联系下方微信号。


