
导读
化学、物理及生物等众多领域都需要精确控制和测量特定大小空间内的温度。面对测温对象的不断变小(光电子器件的小型化和高度集成化)和新的应用领域要求(当代纳米医疗、精细化工等),温度计需要运用远程温度探测原理和技术。基于镧系荧光离子的荧光温度探测是一门新兴的技术。这一温度探测技术不仅具有远程无损探测的特点,同时探测信号具有很高的空间分辨率和时间分辨率,因此该技术具有非常广阔的应用前景。镧系离子的荧光行为,包括荧光强度、波长和衰减等和该离子所处的环境相关,会根据所处环境的变化而改变。荧光温度计正是利用荧光行为和局部温度之间的相关性,以荧光行为(包括荧光强度、波长和衰减)的变化来测定局部温度的技术。
传统双能级玻尔兹曼温度测量的局限性
波尔兹曼型荧光温度计是被广泛研究和报道的一大类,该类荧光温度计所使用的荧光离子具有两个能量相近的热耦合激发能级,如经典的Er3+离子2H11/2-4S3/2能级间隔约为750-800 cm-1。两个能级的布居状态和发光中心离子所处的温度相关,并且遵循波尔兹曼原理。该类温度计测温原理明确、技术简单、无需参照物。但受限于波尔兹曼原理,这一双激发态能级型荧光温度测试仅能用于非常有限的温度变化范围:较低的环境温度使两个激发态能级间的热平衡难以实现,较高的温度虽有利于两个激发态的热平衡,但只能获得较低的相对测温灵敏度和精度。是否有方法可以绕过这种热力学限制,在扩大温度测量范围的同时,还能获得较高的测温精度呢?
另一方面,除了荧光离子本身的荧光发射,物体会由于黑体辐射而不断地向外辐射电磁波。黑体辐射强度会随物体温度的升高而增强,并且其电磁波波长也会随着温度的升高而向短波长方偏移。虽然黑体辐射的峰值波长在低温(2000 K以下)主要位于红外区域,但其位于短波长区域的波尾也有可能对荧光温度测量的激发和探测荧光特性产生干扰。此外,对大部分已报到的可见或近红外荧光温度测试,自然光也会成为探测荧光的背景干扰。
三激发态能级玻尔兹曼新模型与实验例证
近日,来自上海理工大学“超精密光学制造团队”张大伟教授、禹德朝教授联合荷兰乌特勒支大学、德国杜塞尔多夫海因里希·海涅大学、华南理工大学和聊城大学将玻尔兹曼测温的概念与技术原理扩展到两个以上的激发态,建立和完善三能级玻尔兹曼测温模型与理论,并提供定量指南,将多个激发态之间的能隙选择与不同温度区间内的激发态能级热耦合联系起来。通过这种设计策略,可以基于同一系统,实现极宽温度范围内高灵敏度和高精度的非接触式温度测量。

图1 三激发态能级玻尔兹曼型荧光温度测量和Pr3+→ Gd3+蓝光到紫外上转换示意图
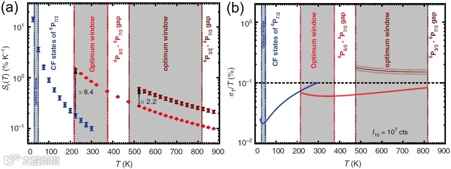
同时,科研人员选取钆离子(Gd3+)作为荧光发射中心,创造性地基于Gd3+ 6PJ (J = 7/2, 5/2, 3/2)紫外能级以及其晶体场分裂能级和自旋轨道分裂能级来构建三激发态能级热耦合系统;并用燃烧法合成了YAl3(BO3)4: Pr3+, Gd3+发光粉,其在蓝光 ~ 450 nm作用下实现高效的Pr3+ → Gd3+紫外上转换发光(覆盖约290-320 nm),实验例证了上述三能级玻尔兹曼温度测试模型,实现了30 K到800 K极宽温度变化范围内的精确测量:在30K时,其相对灵敏度高达11.6% K-1,全温度范围高于 0.5% K-1;同时在所有温区窗口,都可实现不确定性小于0.1%的高精度温度测量。

图2 Gd3+ 6PJ多级荧光玻尔兹曼温度测量特性及其宽温区间的最佳性能评估
需特别指出的是,这种蓝光 → 紫外上转换荧光粉材料很容易被价格低廉且功率强大的450 nm蓝色LED激发,有利于降低成本,并为应用带来便利;其激发和发射波段可有效避免最高温度下黑体辐射影响,实现了零背景发光测温,在纳米医疗、新型光电子器件等领域具有极大的应用价值。
该研究成果以"One ion to catch them all: Targeted high-precision Boltzmann thermometry over a wide temperature range with Gd3+"为题在线发表在Light: Science & Applications。
Yu DC., Li HY., Zhang DW., et al, One ion to catch them all: Targeted high-precision Boltzmann thermometry over a wide temperature range with Gd3+. Light Sci. Appl. 10, 236 (2021).
免责声明:本文旨在传递更多科研资讯及分享,所有其他媒、网来源均注明出处,如涉及版权问题,请作者第一时间后台联系,我们将协调进行处理(按照法规支付稿费或立即删除),所有来稿文责自负,两江仅作分享平台。转载请注明出处,如原创内容转载需授权,请联系下方微信号。


