

Xiaohu Wu, Chengshuai Su, Kezhang Shi, Feng Wu and Ceji Fu, Coupling Between Hyperbolic Phonon Polaritons Excited in Two Ultrathin Hexagonal Boron Nitride Sheets, Engineered Science DOI: 10.30919/es8e669.
https://www.espublisher.com/journals/articledetails/669
在过去的二十年中,双曲材料因其在光吸收器、光镜和超分辨率成像中的应用而引起了人们的广泛关注。近期,研究人员在双曲材料中发现了一种特殊的声子激元,称之为双曲声子激元(HPPs)。六方氮化硼(hBN)是一种具有代表性的双曲材料,其中HPP具有极高的限制和极低的损耗。天然的双曲特性使hBN成为近场光学成像和聚焦的理想选择。然而,超薄hBN薄膜中HPP的激发情况尚未被充分研究。本文就此作出讨论。
山东高等技术研究院吴小虎教授建立了两个hBN薄膜辐射换热模型,研究了超薄hBN薄膜之间HPP激发的耦合情况,结构如图1所示。
图1 两个hBN薄膜辐射换热模型。
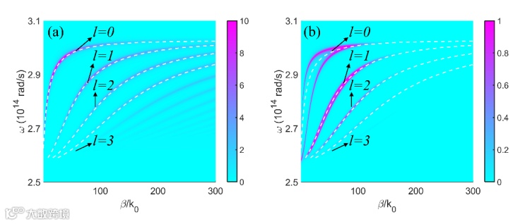
作者通过反射系数rp的虚部研究hBN薄膜中HPP的激发。从图2中可以看出有两阶HPP的激发,其中0阶HPP的激发较强,1阶HPP的激发较弱。HPP在hBN薄膜中像FP驻波一样传播,其色散关系可由下式得到。
图2中色散情况与解析结果可以很好的吻合,可以确认是由于HPP的激发导致辐射换热的增强。
图2 (a)反射系数rp的虚部 (b)光子隧穿概率在波矢角频率空间中的分布情况。hBN薄膜厚度为5 nm,间距为20 nm,白色虚线为0阶HPP的激发,白色点线为1阶HPP的激发。
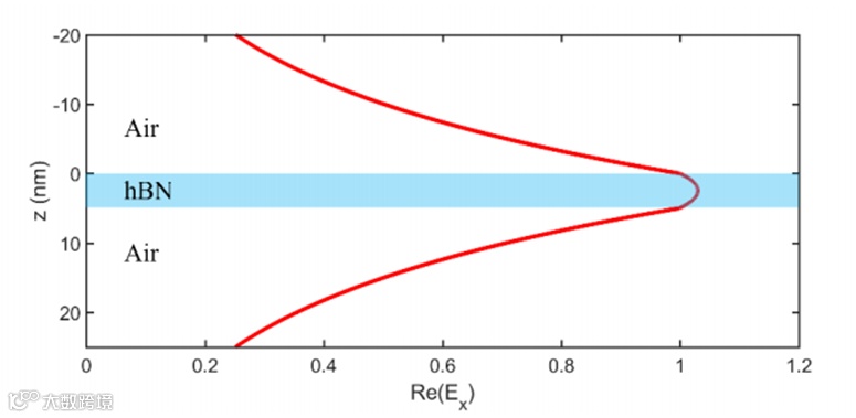
为了进一确认在hBN中激发的是HPP而不是表面波,作者利用传输矩阵方法画出了x方向上的电场分布,如图3所示。电场在空气中呈指数衰减,在hBN薄膜中受到加强,因此不是表面波的激发。色散关系和电场分布证明在5 nmhBN薄膜中支持0阶和1阶HPP的激发。在间距为20 nm时,0阶HPP激发的耦合可以增强光子隧穿概率。
图3 hBN 5 nm时,x方向电场分布。
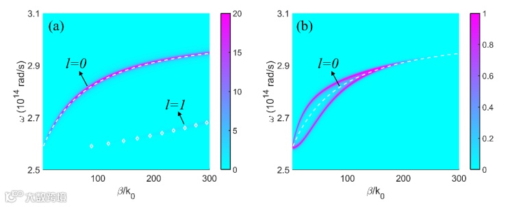
当hBN薄膜厚度为50 nm时,会有多阶HPP的激发,其中,两个薄膜中0阶HPP高度耦合导致出现色散分裂的情况。1阶HPP的耦合很弱,导致无法观察到分裂现象。高阶HPP的激发由于在相同频率下具有更大的波矢,对光子隧穿概率贡献较小。
图4 (a)反射系数rp的虚部 (b)光子隧穿概率在波矢角频率空间中的分布情况。hBN薄膜厚度为50 nm,间距为20 nm。
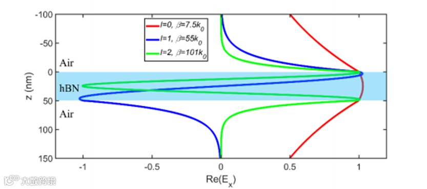
为了解释不同阶HPP激发时对光子隧穿概率的贡献,作者考察了hBN薄膜为50 nm时的电场分布。从图5中可以看出不同阶数的HPP电场在空气中以不同的比率衰减,其中0阶衰减较为缓和,1阶和2阶衰减非常剧烈。该现象可以通过传播长度来解释。0阶,1阶和2阶HPP的传播长度分别时142.8 nm,19.5 nm,10.6 nm。0阶HPP可以在空气中传播更长的距离。当两个hBN薄膜之间距离为20 nm时,0阶HPP的激发耦合非常强,而1阶和2阶较弱。从图5中可以看出2阶HPP电场在薄膜中震荡,表示HPP是体态模式,而0阶由于薄膜厚度较薄,不会震荡。
图4 (a)反射系数rp的虚部 (b)光子隧穿概率在波矢角频率空间中的分布情况。hBN薄膜厚度为50 nm,间距为20 nm。
最后作者讨论了薄膜间距对HPP耦合的影响。对比图6(a)与图2(b)可以看出,0阶HPP对光子隧穿概率的贡献更多。图6(a)1阶HPP也起到了贡献,这是因为1阶HPP在空气中只能传播有限距离,HPP在hBN薄膜中只能在小于传播长度的时候耦合。然而当间距为50 nm时,只有小波矢HPP的激发对光子隧穿概率起到贡献,这是因为两个hBN薄膜之间的距离比大波矢HPP传播长度大得多。
图6 hBN薄膜5 nm时,(a)间距10 nm (b)间距为50 nm时的光子隧穿概率。
在这篇文章中,作者研究了两个hBN薄膜之间HPP激发的耦合情况。当两个薄膜之间距离小于HPP的传播长度时,两个hBN薄膜中HPP的耦合可以提高光子隧穿概率。hBN中HPP色散分裂情况类似于表面波。此工作为人们理解HPP在超薄双曲材料中的激发,以及双曲材料近场辐射换热机理提供帮助。
免责声明:本文旨在传递更多科研资讯及分享,所有其他媒、网来源均注明出处,如涉及版权问题,请作者第一时间后台联系,我们将协调进行处理,所有来稿文责自负,两江仅作分享平台。转载请注明出处,如原创内容转载需授权,请联系下方微信号.