

撰稿|由课题组供稿

日前,北京理工大学物理学院张向东教授课题组和西北工业大学物理科学与技术学院的赵建林教授课题组合作,在基于嵌套纽结结构高容量拓扑编码研究方面取得重要进展。相关研究成果发表在近期的Nature Communications上,研究工作得到了国家自然科学基金委和国家重点研发计划的资助。
扭结,是生活中普遍存在的现象。比如,打结的鞋带、用于捆绑物体的绳索结、中国结、蝴蝶扣等都可看作是扭结结构。在数学语言中,纽结理论是拓扑学的一个分支。它研究的是一个或若干个闭合曲线在三维欧几里得空间中的嵌入方式。拓扑学中,在不断开构成扭结的闭合曲线的约束下,如果两个扭结可以通过闭合曲线的连续形变互相转化,那么这两个扭结就是拓扑等价的。扭结的拓扑特性可以用相应的拓扑不变量来描述。由于纽结结构具有独特的拓扑稳定性,它在日常生活以及物理学和生命科学等领域的研究中都扮演着重要的角色。
人们对扭结结构的使用也有着悠久的历史。最早可以追溯到远古的结绳纪事,它是人类用于记录信息的原始工具之一。利用数学语言来研究纽结是德国数学家卡尔·弗里德里希·高斯最早提出的。十九世纪末,拓扑学的产生使得纽结理论成为热点研究课题。目前,科学家在等离子体、量子与经典流体、量子与经典场论、液晶、声波等多种体系中都实现了不同拓扑结构的纽结。在电磁场系统中,由相位涡旋或偏振奇点构成的全光纽结也在实验上得到了验证。近期的研究表明,利用偏振光学纽结可以实现鲁棒的拓扑全光编码。然而,目前所使用的纽结结构中只包含了少量的拓扑不变量。因此,基于全光纽结的拓扑编码的信息容量仍然十分有限。如何提高拓扑编码的信息容量亟待进一步地研究。
研究亮点之一:嵌套纽结概念的提出和纽结理论的拓展
首先,研究人员理论设计了具有多拓扑不变量的嵌套式纽结结构。图1显示了构建嵌套式纽结的示意图。其中,图1a是该嵌套式纽结的辫子表示,它包含了由绿色、红色和蓝色标记的三类不同层级的零点线。为了更清楚地显示嵌套纽结的层级结构,图1b展示了起始端面的放大图。从中我们可以看到,半径为r1的第一代辫子由绿色、红色和蓝色标记的三条第二带辫子编织而成。同时,三条半径为r2 的第二代辫子是由半径尺寸更小的第三代辫子编织而成。而半径为r3 的第三代辫子是由半径为r4的第四代辫子编织而成。通过上述嵌套式的编织方式,最终具有分形几何结构的嵌套纽结可以被构建出来。如图1c所示,通过将图1a中辫子的起始端平面和终点端平面收尾相连,可以实现由四代辫子组成的嵌套纽结结构。由于这一新型的纽结结构具有分形式的嵌套结构,研究者称其为嵌套纽结(nested knots)。嵌套纽结这一概念的提出,是对纽结理论的拓展。
下面给出了嵌套纽结的简要数学描述。需要强调的是:嵌套纽结的每一条零点线都需要其所隶属的不同层级辫子的坐标来整体表示。因此,需要用一组向量来标记每条零点线的位置。具体来讲,第i 代辫子的每条零点线的坐标包含了其所隶属的第1到第i代辫子的标号,即m1到mi。这样第i 带辫子的每条零点线都可以用长度为i 的向量Mi=(m1,m2,…,mi)来标记。在辫子表象坐标系中(x’,y’,h),向量Mi=(m1,m2,…,mi)所对应的第i 代辫子的零点线可以表示为:

表示向量Ml=(m1,m2,…,ml)所对应的零点线的初始旋转角度。
被命名为相应零点线的绕数,代表该零点线以其所隶属的第l 代辫子的中心轴为参考的环绕圈数。由于该环绕数不依赖于线条的具体形状,只由全局环绕的圈数决定。因此,绕数
对应于向量Ml=(m1,m2,…,ml)所标记的零点线的拓扑不变量。

图1. 嵌套纽结理论设计示意图。
研究亮点之二:高容量拓扑编码的实现
正如图1a所示,这种新型的嵌套纽结所对应的辫子结构可以包含不同层级的多条零点线。而每一条零点线都蕴含着一个拓扑不变量------绕数
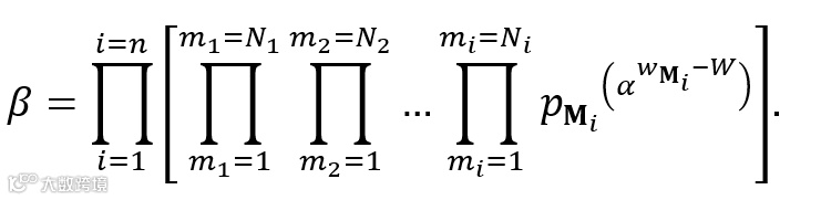
。研究人员使用这些拓扑不变量作为信息的载体,设计了具有高容量的拓扑编码方案,如图2a所示。首先,信息的发送者Alice把她要发送的信息转换为一组绕数
,并计算绕数的总和
。然后,Alice选择一个正整数α和一个素数组
,并用下列等式计算β


该拓扑编码方案的容量正比于嵌套纽结中所包含的拓扑不变量的数目。拓扑不变量的数量与该嵌套纽结所包含的辫子结构的代数的关系显示在图2b中。当嵌套纽结包含10代辫子,且每一代中的每一条辫子包含10条零点线时,该嵌套纽结将蕴含有1.11×1010个拓扑不变量。

图2. 基于嵌套纽结的高容量拓扑编码。
研究亮点之三:基于介质超表面全光嵌套纽结产生
进一步,研究人员在实验上对全光嵌套纽结进行了验证。相比于传统的纽结结构,嵌套纽结的空间构型更加复杂。因此,在单一波长下构造嵌套纽结变得十分困难。为了解决这一问题,研究人员引入了波长自由度,通过对三个波长的电磁波进行操控实现了全光嵌套纽结。然而传统的光学器件很难实现对多波长的独立操控。为了解决这一难题,研究人员设计了超表面全息图(如图3所示),对三个频率的电磁场相位奇点进行了精确的调控,在实验上实现了全光嵌套纽结。图4a-4c为含有一代辫子的嵌套纽结的实验结果;图4d-4f为相应的理论结果。图4g,4h为包含有两代辫子的嵌套纽结结构的实验结果;图4i,4j为相应的理论结果。实验结果和理论结果一致,验证了基于嵌套纽结的高容量拓扑编码的可行性。未来通过引入更多频率的电磁场以及不同的偏振自由度,可以实现具有更多代辫子编织而成的嵌套纽结结构。从而为设计全光、高容量、鲁棒的编码方案提供有价值的参考。

图3. 用于生成光学嵌套纽结的超表面全息设计。

图4. 光学嵌套纽结的实验结果与理论模拟结果。
相关工作在Nature communications上发表[Nat. Commun. (2022) 13:2705]。北京理工大学物理学院孔令军研究员,张蔚暄博士(现集成电路与电子学院特立博士后)和西北工业大学的李鹏副教授为论文的共同第一作者。

论文链接:
https://www.nature.com/articles/s41467-022-30381-w
免责声明:本文旨在传递更多科研资讯及分享,所有其他媒、网来源均注明出处,如涉及版权问题,请作者第一时间后台联系,我们将协调进行处理,所有来稿文责自负,两江仅作分享平台。转载请注明出处,如原创内容转载需授权,请联系下方微信号。



