

撰稿|由课题组供稿
最近,高阶拓扑物态研究引起了人们的广泛兴趣。和总是表现为“体阻碍”的传统拓扑绝缘体不同,某些高阶拓扑绝缘体可以在没有体带隙关闭的情形下发生拓扑相变,表现为高维边界态的阻碍。近日,PRL在线发表了武汉大学物理学院邱春印教授课题组在这方面的研究进展。他们实现了第一个三维面阻碍高阶拓扑绝缘体,论文题为“Acoustic Realization of Surface-Obstructed Topological Insulators”(面阻碍拓扑绝缘体的声学实现)。武汉大学为论文的唯一署名单位,物理科学与技术学院研究生杜娟、李天梓为论文的共同第一作者,邱春印教授为通讯作者。该研究受到国家自然科学基金委重大项目、万人计划“青年拔尖人才”项目等基金资助。

拓扑绝缘体的发现打开了拓扑物态研究的大门。通常,D维能带拓扑表现为D-1维边界态,这称为体-边界对应关系。最近,人们提出了一类新的拓扑相(D>1),即高阶拓扑态;由于其支持D-2甚至D-3维的边界态,从而超越了传统的体-边界对应。具体而言,一个D维n阶的拓扑绝缘体支持D-n维的边界响应(n>1)。到目前为止,尽管在凝聚态体系中鲜有实验报道,高阶拓扑态在经典体系中得到广泛实现,如光学、声学、电路以及力学系统等。
众所周知,在不破坏对称性或闭合体能隙的情况下,传统拓扑绝缘体不能绝热地变形为平庸绝缘体,这种“阻碍(obstruction)”可以通过体拓扑不变量捕捉。高阶拓扑态的情形变得更加微妙。与传统拓扑绝缘体类似,某些高阶拓扑绝缘体(例如Kagome晶格模型)在其拓扑相变处表现为体带隙关闭。然而,另一些高阶拓扑绝缘体(称为“边界阻碍”拓扑绝缘体)和平庸相的区分通过闭合“高维”边界态来实现。从本质上讲,边界阻碍的概念解释为什么一些高阶模型在拓扑上表现出稳健的“低维”边界态,但又不和体拓扑不变量直接关联,这超出了标准的、对称性保护的带拓扑理论。这种独特的体边界物理可以用Wannier谱和实空间对称表示来理解。虽然早期的四极子和八极子模型现在被认为属于“边界阻碍”拓扑绝缘体,但确定“边界阻碍”这一重要新概念依然缺乏足够的实验证据。具体而言,现有研究侧重于证明“低维”边界上的高阶拓扑特征(即存在角态)。然而,“边界阻碍”能带拓扑的完整表征还需要展示“高维”边界态的打开-闭合-重新打开,在此过程中保持系统的对称性不变且体带隙始终打开。事实上,后者是“边界阻碍”拓扑绝缘体区别于传统拓扑绝缘体的又一可观测现象。此外,目前还没有实验实现三维“面阻碍”的高阶拓扑绝缘体,其在相变点表现为表面态关闭。
基于一个简单的紧束缚模型,这项工作构建了三维“面阻碍”声学拓扑绝缘体,并报道了这种新拓扑物态的完整实验表征。该模型从扩展的二维SSH模型出发,通过AB型层间耦合和交替翻转的面内耦合逐层堆垛而成(见图1)。为了证实独特的“面阻碍”能带拓扑性,研究人员数值设计(见图2)并实验制备了3个具有代表性的声学样品:它们具有相同的面内结构,但不同的层间耦合,分别对应于普通绝缘体、过渡态和高阶拓扑绝缘体。通过测量样品体和边界对局部声激励的响应,他们在拓扑绝缘体样品中同时观察到了三维体带隙、二维面带隙和钉扎在带隙中间的一维棱态,而普通样品仅显示有带隙的体和表面态。对于相变态的情形,实验测量的体和边界谱清楚地表明,除了依然有带隙的体态之外,表面带隙是闭合的。从未闭合的体带隙、闭合-重新打开的表面带隙以及带隙中间棱态的出现,有力地证明了表面阻碍拓扑相变的发生以及由此产生的体-边界物理(见图3,图4)。所有实验结果和理论预测、数值模拟非常吻合。

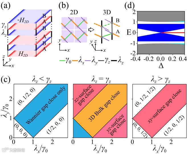
图1 紧束缚模型。(a) 实现面障碍拓扑绝缘体的示意图,它由二维拓扑绝缘体AB堆垛而成(A、B层的面内耦合相反);(b)具体的紧束缚模型,实线和虚线显示相反的面内耦合;(c)用三个代表性切片绘制的三维相图;(d)有限体系能谱图,Δ代表两个层间耦合的差值。

图2 声子晶体模拟结果。(a)单胞结构示意图,空腔模拟原子轨道,管道模拟耦合;(b)有限体系的本征频谱;(c-d)本征场分布。

图3 实验测量结果。(a)实验样品;(b)体、面、棱态的空间分布示意图;(c-e)各空间区域上实验测量的强度谱线;(f-h)相应数值模拟结果。图(c-e)显示了从平庸相到拓扑相的转变过程中,体带隙始终打开,面带隙发生打开-关闭-再打开,最终在拓扑相中出现了高阶拓扑棱态(e)。

图4 在样品表面探测到的声场强度分布,和数值模拟结果相当吻合。
从一个简单的理论模型出发,这项工作设计并制备了一个“面障碍”声学拓扑绝缘体。通过和平庸相及临界相样品作比较,实验频谱响应及空间场分布为“边界阻碍”这一拓扑能带理论的新概念提供了完整、确凿的实验证据。有趣的是,和以往发现的棱态相比,这里观察到的棱态钉扎在体(表面)带隙的中间,因此在实空间更局域,对无序也更具鲁棒性。此外,与色散的棱态相比,无色散棱态可以冻结声音沿棱的传播。这种独特的拓扑棱态具有潜在的应用前景,例如声传感和声能量捕获。
邱春印教授长期进行声学拓扑物态方面的研究,取得了一系列的研究进展。最近几年,他以通讯作者身份发表Nature 1篇,Nature Physics 2篇,Phys.Rev.Lett. 9篇,Nature Communications 2篇,以及Science Advance 1篇。这项工作是邱春印课题组在声学高阶拓扑物态方面发表的第4篇Phys.Rev.Lett.。

文章链接:
https://journals.aps.org/prl/abstract/10.1103/PhysRevLett.128.224301
免责声明:本文旨在传递更多科研资讯及分享,所有其他媒、网来源均注明出处,如涉及版权问题,请作者第一时间后台联系,我们将协调进行处理,所有来稿文责自负,两江仅作分享平台。转载请注明出处,如原创内容转载需授权,请联系下方微信号。



