

撰稿|由课题组供稿

近日,广东技术师范大学吴丰博士与南昌大学肖书源副研究员、同济大学江海涛教授合作,利用同时包含近场耦合和远场耦合的耦合模方程描述了双光栅耦合系统的光谱特性。研究表明,通过改变两个亚波长光栅之间的距离,可对近场耦合强度和远场耦合强度进行调节,从而实现对光谱线型的灵活调控。此外,该耦合模型还可用于解释Fabry-Perot型连续谱束缚态(Bound states in the continuum, BICs)的形成。相关成果以“Tailoring electromagnetic responses in a coupled-grating system with combined modulation of near-field and far-field couplings”为题于2022年6月27日在线发表于物理学期刊《Physical Review B》。
近几十年来,由于其在光物理中扮演重要角色,光学谐振腔(Optical resonators)引起了研究人员的广泛兴趣。光学谐振腔之间的耦合可分为近场耦合和远场耦合。通过在光学耦合谐振腔系统中引入近场耦合,研究人员发现了诸多有趣的物理现象,如奇异点(Exceptional points, EPs)[1,2]和电磁诱导透明(Electromagnetically induced transparency, EIT)[3]等。而通过在光学耦合谐振腔系统中引入远场耦合,研究人员也发现了诸多有趣的物理现象,如法诺共振(Fano resonances)[4]和拓扑相变(Topological phase transition)[5]等。近年来,研究人员发现在某些含有金属的光学耦合谐振腔系统中,可以同时存在近场耦合和远场耦合,从而极大地丰富了光谱线型的调控[6‒8]。作为一种无损的光学谐振结构,亚波长介质光栅引起了研究人员的广泛兴趣。然而,目前大部分工作侧重研究的是单个亚波长介质光栅的导模共振及其应用。对于双亚波长介质光栅耦合系统的研究,目前报导地较少。在此研究背景下,我们将探索以下问题:在双亚波长介质光栅耦合系统中,是否同时存在近场耦合和远场耦合?若存在,近场耦合强度和远场耦合强度对光谱线型会产生什么样的影响?如何对光谱线型进行调控?
研究亮点之一:利用同时包含近场耦合和远场耦合的耦合模方程描述了双光栅耦合系统的光谱特性
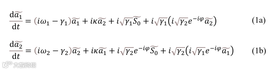
图1(a)给出了双光栅耦合系统的示意图。双光栅耦合系统由两个平行放置的相距为d的亚波长光栅构成,入射波垂直入射到双光栅耦合系统中。假设亚波长光栅1和2的导模共振角频率分别为ω1和ω2,则这两个亚波长光栅可分别看成是谐振角频率为ω1,辐射损耗为γ1的光学谐振腔和谐振角频率为ω2,辐射损耗为γ2的光学谐振腔,如图1(b)所示。需要注意的是,这里的两个谐振腔均为Lorentz型谐振,而亚波长光栅的导模共振为Fano型谐振。因此,需要选择合适的折射率和几何参数,使得单个亚波长光栅的谐振与Lorentz谐振相近。两个谐振腔的近场耦合来源于两个谐振腔的倏逝场的交叠,近场耦合强度记为κ。两个谐振腔的远场耦合的来源如下。入射波耦合进其中一个谐振腔之后,谐振腔将会再辐射(Re-radiates)出行波。该行波经过了距离d后,将与另一个谐振腔发生耦合。该耦合与距离d对应的传播相位φ相关(φ = k0d),因此属于远场耦合。

图1. (a)双光栅耦合系统的示意图;(b)同时包含近场耦合和远场耦合的耦合双谐振腔模型。
由以上分析,我们可写出该双光栅耦合系统的耦合模方程

当两个亚波长光栅完全相同时,有ω1 = ω2和γ1 = γ2。此时耦合模方程(1a)和(1b)变为

可见该耦合模方程同时包含近场耦合和远场耦合,其中近场耦合强度为κ,远场耦合强度为γ0e-iφ。由于该耦合模方程同时包含近场耦合和远场耦合,我们将该耦合模型称为杂化耦合模型(hybrid coupled model, HCM)。由该杂化耦合模型可进一步得到双光栅耦合系统的反射率的解析式(详见原文)。
将系统看成是无源的,可解得该系统的两个本征角频率分别为

则这两个本征角频率的实部和虚部分别为

可见两个本征角频率之差(角频率劈裂)同时取决于系统的近场耦合强度κ和远场耦合强度γ0e-iφ,而两个本征角频率的线宽则完全取决于系统的远场耦合强度γ0e-iφ。
研究亮点之二:通过改变两个亚波长光栅之间的距离,实现对光谱线型的灵活调控
由近场耦合的机制可知,当两个亚波长光栅之间的距离d越大时,它们之间的近场耦合强度κ越小。由远场耦合的机制可知,当两个亚波长光栅之间的距离d变化时,它们之间的远场耦合强度γ0e-iφ也会相应地变化。综上所述,通过改变两个亚波长光栅之间的距离,可对近场耦合强度κ和远场耦合强度γ0e-iφ进行调节。结合方程(4a)和(4b)可知,系统的两个本征角频率的位置和线宽也将被灵活调控。也就是说,通过改变两个亚波长光栅之间的距离,可以实现对光谱线型的灵活调控。图2(a), 2(b)和2(c)分别给出了两个亚波长光栅之间的距离为d = 140, 280和360 nm时双光栅耦合系统的TE偏振反射谱。其中蓝色实线为严格耦合波分析方法(Rigorous coupled-wave analysis, RCWA)的计算结果,红色虚线为杂化耦合模型(Hybrid coupled model, HCM)的拟合结果。可见杂化耦合模型对反射谱的拟合效果较好。通过改变两个亚波长光栅之间的距离,我们实现了光谱线型的灵活调控。当两个亚波长光栅的距离d = 140 nm时,反射谱中有两个线宽相近的反射峰。当两个亚波长光栅的距离d = 280 nm时,反射谱中的一个反射峰的线宽较宽,另一个反射峰的线宽极窄,呈现出极窄带的滤波特性。当两个亚波长光栅的距离d = 360 nm时,反射谱看起来只有一个线宽较宽的反射峰,呈现出较宽带的滤波特性。

图2. 双光栅耦合系统的TE偏振反射谱及其杂化耦合模型(HCM)的拟合结果。两个亚波长光栅之间的距离分别为(a) d = 140 nm, (b) d = 280 nm和(c) d = 360 nm。
最后,我们利用该杂化耦合模型解释了双光栅耦合系统中的Fabry-Perot型BIC的形成机制。由方程(4b)可知,当远场耦合中的传播相位φ = mπ (m为整数)时,其中一个本征角频率的线宽将趋于0,Q因子将趋于无穷大,对应于Fabry-Perot型BIC。下面我们讨论m = 1的情形。当m = 1时,有φ = π。由方程(4b)可知,本征角频率ω+的线宽将趋于0,Q因子(记为Q+)将趋于无穷大。图3(a), 3(b)和3(c)分别给出了两个亚波长光栅之间的距离为d = 180, 200和220 nm时双光栅耦合系统的TE偏振反射谱。这三种情况下的远场耦合中的传播相位分别为φ = 0.729π, 0.810π和0.891π。可见随着远场耦合中的传播相位φ接近于π,本征角频率ω+的Q因子Q+迅速增大。图3(d), 3(e)和3(f)分别给出了图3(a), 3(b)和3(c)中的反射谷(A, B和C点)的电场强度分布,入射波的电场强度设为1。可见随着远场耦合中的传播相位φ接近于π,电场强度的增强幅度越大。

图3. 双光栅耦合系统的TE偏振反射谱及其杂化耦合模型(HCM)的拟合结果。两个亚波长光栅之间的距离分别为(a) d = 180 nm, (b) d = 200 nm和(c) d = 220 nm。(d), (e)和(f)分别为(a), (b)和(c)中的反射谷(A, B和C点)的电场强度分布(入射波的电场强度设为1)。
图4给出了本征角频率ω+的Q因子Q+和远场耦合的传播相位φ之间的关系。可见随着远场耦合中的传播相位φ接近于π,本征角频率ω+的Q因子Q+迅速增大。当远场耦合中的传播相位φ趋于π时,本征角频率ω+的Q因子Q+将趋于无穷大,对应于Fabry-Perot型BIC。

图4. 本征角频率ω+的Q因子Q+和远场耦合的传播相位φ之间的关系。
相关工作发表在近期的《Physical Review B》上[Phys. Rev. B 105, 245417 (2022)]。广东技术师范大学吴丰博士为该论文的第一作者和共同通讯作者,南昌大学肖书源副研究员和同济大学江海涛教授为该论文的共同通讯作者。同济大学的祝可嘉博士后和范才富博士参与了该工作关于杂化耦合模型的讨论。
论文链接:

https://journals.aps.org/prb/abstract/10.1103/PhysRevB.105.245417
参考文献:
免责声明:本文旨在传递更多科研资讯及分享,所有其他媒、网来源均注明出处,如涉及版权问题,请作者第一时间后台联系,我们将协调进行处理,所有来稿文责自负,两江仅作分享平台。转载请注明出处,如原创内容转载需授权,请联系下方微信号。



