

撰稿|由课题组供稿
高导热材料在高效热管理领域中扮演着举足轻重的角色。在导热体系中引入对流、相变以及热源等主动式手段可以突破常规材料热导率的限制,实现等效超高热导传输。这些主动式策略通过引入额外的能量负载来极大提高自然材料的传热能力。受制于材料的本征热导率,通常认为在纯导热体系中无法打破材料固有的传热极限。近日,西安交通大学屈治国教授课题组和新加坡国立大学仇成伟教授课题组合作,通过引入垂直方向的维度,建立了一种稳健的被动式传热机制,提出了结构化超高等效热导材料的概念,在不引入能量负载的前提下,实现了远超自然材料的热导率,并提出了可转变的等效热界面相。相关成果以《Passive ultra-conductive thermal metamaterials》为题,发表于《Advanced Materials》 https://onlinelibrary.wiley.com/doi/10.1002/adma.202200329。
热传导中静态材料的传热能力受限于其本征热导率。一般情况下,材料热导率的范围为0.023 W·m-1·K-1(空气)到429 W·m-1·K-1(银)之间。在传统的主动式热管理方法中,可以通过相变或施加热源来实现局部的等效超高热导率。另外,最近报道的对流超材料实现了0~∞的连续可调的等效热导率分布。在宏观传热中,通常认为额外的能量负载输入是打破传统材料热导率限制的必要手段。自然材料的热传输极限在纯导热体系中尚未突破。然而,主动式系统中存在的复杂结构和单一形态阻碍了其进一步发展。
本研究在纯导热体系中建立了一种稳健的被动式调控机制,仅利用自然材料通过垂直方向的维度调控实现了面内超高等效热导率。如图1a所示,在嵌入相和背景相之间存在一个薄层中间相。在中间相上引入垂直面内方向的热传输通道。该热传输通道完全由自然材料组成。超材料的局部高度与中间相的等效热导率直接相关。通过延展超材料的高度,可以获得远超自然材料的等效面内热导率。该效应可通过热阻定律解释。热阻定义为
,其中ε、κ以及s分别代表材料厚度、热导率以及传热面积。热通道的引入增加了中间相的传热面积,可降低局部热阻,强化换热,从而增强中间相的等效热导率。等效热导率随着超材料高度变化的演化范围不仅包括自然材料的热导率区间,还可实现自然材料无法达到的超高热导率。图1b为等效热导率的演化历程。这里将高于背景相热导率的部分定义为高导热区间,低于背景相热导率的部分为低导热区间。背景热导率对应的高度定义为临界高度。

图1 被动式高导热超材料原理图
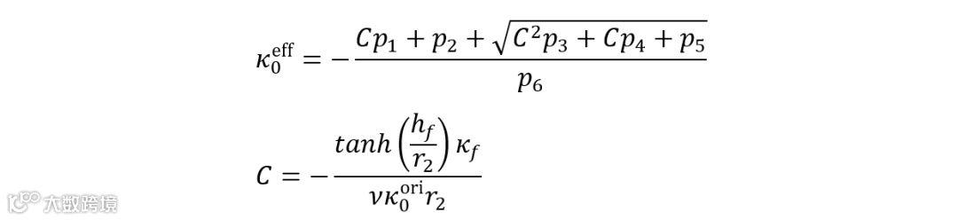
图1a所示系统处于恒定温度梯度的边界条件内,热流通过热传输通道流入或流出平面,因此热通道的作用可以等效为热源。首先考虑沿中间相均匀分布的等效热导率。嵌入相为半径r2、热导率κ2的圆。超材料在中间相区域的等效热源可以写成Φ=Mcosθ,其中M为常数。根据对背景温度场的等效效果以及温度场的连续性,可推出等效热导率κ0eff的表达式为:

式中,hf和ν分别为超材料的高度和平面的厚度。κ0ori和κf分别为中间相材料热导率和热通道材料热导率。p1–p6为关于r2, ε, κ0ori和κ2的函数。需要注意的是C中包含双曲正切函数tanh。由于tanh的极值为1,因此随着超材料高度的增加,κ0eff不会无限增大,存在一个最大值。这意味着随着高度的增加,新增通道部分对于面内传热的影响不断降低,这也符合直观感受。当高度为0,κ0eff退化为κ0ori。
热界面相的存在会造成边界条件的不连续。热界面相一般可分为低导热界面相(LC)和高导热界面相(HC),分别对应温度阶跃和热流阶跃。宏观热界面效应可与中间相等效。热导率分别为κ1和κ2的介质通过热界面Γ相接,对于LC型热界面,热流连续而温度不连续,表示为
,对于HC型热界面,热流不连续而温度连续,表示为
。β和α分别为两种界面的本征参数。β即为我们熟知的界面热阻。α = β = 0表示完美界面。
中间相和热界面的等效关系可以推到出为
和
。当κ0 > κ1或κ0 < κ1,中间相可以等效HC型热界面或LC型热界面。当κ0 = κ1,中间相等效完美界面。然而,在实验中很难系统地在这样一个薄的中间相中部署一个任意的连续的热导率分布。然而通过超材料和中间相-热界面等效关系可以自由地调节界面热效应。随着超材料高度的增加,等效界面呈现出从LC型到完美界面再到HC型的演化过程。LC型对应图1b中的低导热区,HC型对应高导热区。临界高度处有热界面相型的转变。
图1c中的Ⅰ - Ⅴ分别对应通道高度为0、1、3.5、11以及50mm的数值模拟温度场。图2a为对应高度超材料的实物图,图2b展示了相应实验测量的温度场。背景相和热通道为铝合金(AlSi10Mg),κ1 = κf = 120 W·m-1·K-1。中间相为不锈钢(316L),κ0ori= 15 W·m-1·K-1。ν = ε = 1mm。嵌入相为铝合金(AlSi10Mg),内径为9 mm,外径为20 mm,其等效热导率为80 W·m-1·K-1。随着超材料高度的增加,等温线逐渐外扩。Ⅰ - Ⅴ的κ0eff分别为15、23、120、819和1915 W·m-1·K-1。尤其对于Ⅳ和Ⅴ,其κ0eff远大于银(423 W·m-1·K-1)。进一步的,如果将中间相和热通道材料换成铜(400 W·m-1·K-1),当高度为50 mm时,超材料的κ0eff为8637 W·m-1·K-1。如果将ν和ε减少为0.5mm,κ0eff为16527 W·m-1·K-1。这意味着,所提出的超材料结构可以实现远超常规材料的等效热导率。注意到,当高度为11 mm时,背景温度的梯度恢复均匀,即为热透明效应。Ⅰ和Ⅱ的结构可等效LC界面,Ⅳ和Ⅴ可等效HC界面。作为临界状态,Ⅲ对应完美界面。对于Ⅰ和Ⅱ,本征参数β分别等于5.83×10-5和3.51×10-5 m2·K·W-1。对于Ⅳ和Ⅴ,本征参数α分别等于0.70和1.80 W·K-1。

图2 高导热超材料实验结果
图2c-g为κ0eff预测结果的定量分析。红色实线为中间相边界温度的理论值,空心圆为超材料结构的计算结果,实心圆为二者的误差。通过对比可以看出,κ0eff在高导热区有更好的预测精度。图2h为κ0eff随高度的变化过程。随着超材料高度的增加,每条曲线逼近各自的极值。需要注意的是,当κf较小时,热导率只在低导热区演化。虚线表示极值的99%。在κ0eff = κ1处,有LC型到HC型的转变。
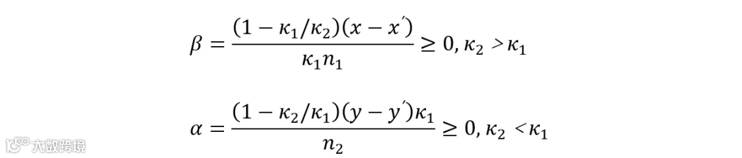
以上研究可以实现全局超高等效热导率中间相。此外,研究人员还探索了局部超高等效热导率的可能。首先,在热导率为κ1的背景相中引入任意形状,热导率为κ2的嵌入相,且κ1≠κ2,背景中有沿x方向分布的均匀温度梯度。为了在背景中实现散射相消,可以在嵌入相周围布置热导率连续变化的中间相。散射相消效应指的是消除嵌入相对于背景相热场的扰动。考虑到嵌入相的拓扑结构,实现散射相消的热界面条件为:

(x, y)为Γ上的任意一点。n1、n2为Γ上外法线方向单位向量在x和y方向上的分量。对于LC型,至少存在一个点(x’,y’),使得Γ上的每一点(x, y),都有(x-x’)与n1同号。对于HC型,至少存在一个点(x’,y’),使得Γ上的每一点(x, y),都有(y-y’)与n2同号。基于热界面的散射相消条件和中间相-热界面等效关系可以看出,对于一些非全向嵌入相,中间相的热导率连续变化。超材料等效热源的形式为:

式中,(u1, u2)为中间相上的曲线坐标系,H1、H2为拉梅系数,且H = H1H2。研究人员采用拓扑优化-边界元复合法提出了一种半解析方法来计算超材料的拓扑构型。图3a-c中,红色曲线表示目标热源,实心圆表示计算热源,空心圆表示等效热导率,插图表示嵌入相的构型。嵌入相为空气。胶囊型和水滴型嵌入相的背景相为铝合金(AlSi10Mg),热导率120 W·m-1·K-1。飞镖型嵌入相的背景相为不锈钢(316L),热导率15 W·m-1·K-1。对于胶囊型和水滴型嵌入相,κ0ori =κf=120 W·m-1·K-1。对于飞镖型物体,κ0ori =15 W·m-1·K-1,κf =50 W·m-1·K-1(碳钢C45)。ν和ε为1.5 mm。在图3a和3b中存在局部远超自然材料的热导率。可以看出,计算热源与目标值拟合较好,这意味着超材料构型的计算结果可以实现相应的中间相热导率分布。图3d-f表示超材料通道展开为二维构型后的型线,插图展示了热流在热通道中的分布情况。图3g-i展示了三种热通道的三维拓扑构型。

图3 非均匀热导超材料设计结果
图4a-c为超材料的实物图。图4d-f为嵌入相对于背景相热场的扭曲模拟结果。图4g-i为在中间相上引入热超材料后的模拟结果。很显然,背景相热场由于热通道的存在恢复了原貌,即为散射相消效应。图4j-l为相应的实验结果。

图4 非均匀热导超材料实验结果
本文在纯导热体系中,仅通过垂直维度的引入,实现了全局或局部的超高等效热导率。并建立了可转变的热界面相等效模型。该研究为在纯导热体系中实现超高热导传输提供了范例与启发,并可为其它拉普拉斯场(直流电场,静磁场等)的调控与管理提供新的方法和参考。该工作第一作者为西安交通大学和新加坡国立大学联合培养博士生郭君,西安交通大学屈治国教授和新加坡国立大学仇成伟教授为共同通讯作者,合作者包括新加坡国立大学许国强博士,西安交通大学博士生田地。

文章链接:
https://onlinelibrary.wiley.com/doi/10.1002/adma.202200329
免责声明:本文旨在传递更多科研资讯及分享,所有其他媒、网来源均注明出处,如涉及版权问题,请作者第一时间后台联系,我们将协调进行处理,所有来稿文责自负,两江仅作分享平台。转载请注明出处,如原创内容转载需授权,请联系下方微信号。



