

撰稿|由夏可宇教授课题组供稿

Fundamental distinction of electromagnetically induced transparency and Autler-Townes splitting in breaking the time-reversal symmetry
论文作者: Haodong Wu, Yaping Ruan, Zhixiang Li, Ming-Xin Dong, Miao Cai, Jiangshan Tang, Lei Tang, Han Zhang, Min Xiao, and Keyu Xia
近日,南京大学夏可宇教授课题组与张涵副教授、肖敏教授合作,提出了一种新的区分电磁诱导透明(Electromagnetically Induced Transparency, EIT)和Autler-Townes分裂(Autler-Townes Splitting, ATS)的客观判据——利用两者在打破时间反演对称性上的表现不同来进行区分。该研究工作提出了热原子系统中的EIT和ATS效应的理论模型并进行了实验演示,验证了EIT可以打破时间反演对称性,具有光学非互易性;而ATS不能打破时间反演对称性,具有光学互易性。
该文章近日被物理学权威期刊《Laser & Photonics Reviews》接收,题为“Fundamental distinction of electromagnetically induced transparency and Autler-Townes splitting in breaking the time-reversal symmetry”,南京大学博士生吴浩东和研究员阮亚平为论文的共同第一作者,夏可宇教授、张涵副教授和肖敏教授为共同通讯作者。该工作得到了科技部重点研发计划项目、国家自然科学基金委、江苏省“双创人才”和“双创团队”计划及南京大学卓越研究计划项目的支持。
EIT和ATS是量子光学中的两个基本效应,在量子科学和技术中发挥着重要作用。这两种效应都可以使吸收介质透明,但在基本物理原理上是截然不同的。一般认为EIT源于两条量子路径的相消干涉,而ATS产生于强场控制下的能级分裂。自发现以来EIT和ATS已经得到大量研究并在最近被广泛应用于光量子存储、光开关和光学非线性增强等领域。
虽然EIT和ATS都得到了深入的研究,但由于它们在实验观察中存在相似现象,在实际案例中识别它们仍具有挑战性,这种相似性还引起了关于V型系统中是否存在EIT的争论。揭示EIT和ATS所涉及的独特物理特性对基础物理和应用至关重要。已有的区分这两种效应的主要方式是对比透明窗口线宽和吸收谱线型的不同,近期有研究人员用数值计算的方法对这两种效应进行了讨论。然而这些数值方法还不触及物理本质,一个自然的问题出现了:EIT和ATS是否会引起某种严格不同的实验结果?这个问题的答案将加深我们对这两种物理效应的理解。
在这个工作中,研究团队以Λ型和V型三能级系统(图1)为例建立了热原子中的EIT和ATS理论模型。该模型指出,由于极化-动量锁定原理,热运动诱导的手性EIT将表现出明显的非互易性,而ATS表现为互易性。

图1. (a)Λ型三能级系统EIT示意图。(b) V型三能级系统ATS示意图
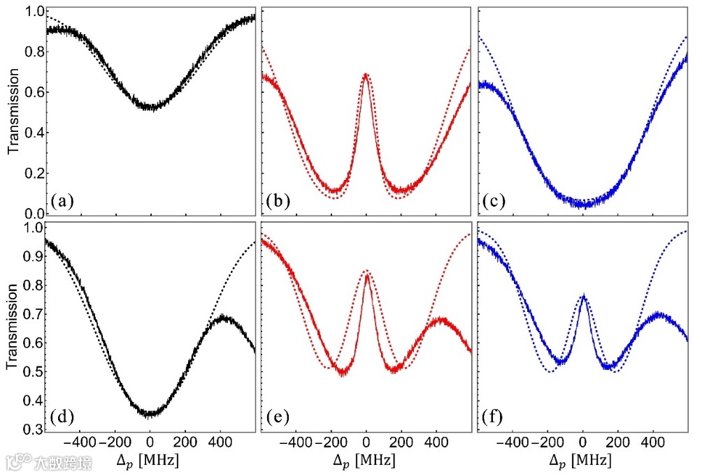
实验结果很好的验证了理论预测,如图2所示。研究人员首先记录了无控制光时探测光的透射谱(图2 (a),(d)),可以看到原子对探测光有明显的吸收。在施加控制光并保持与探测光同向传输时,EIT和ATS都出现了透射峰(图2 (b),(e));控制光与探测光反向时,EIT中的透射峰消失了(图2 (c)),而ATS中还有明显的透射峰(图2 (f))。

图2. EIT和ATS效应中探测光透射谱. (a, b, c)和(d, e, f)分别对应EIT和ATS效应。(a, d)无控制光;(b, e)探测光与控制光同向; (c, f) 探测光与控制光反向。实线为实验数据,虚线为拟合曲线。

图3. EIT和ATS效应透射谱随控制光功率变化. (a)和(b)分别对应EIT和ATS效应。红色和蓝色曲线分别表示探测光与控制光同向或反向。
图3记录了随着控制光强度变化时的EIT和ATS效应透射谱,可以看到EIT效应出现时,探测光与控制光同向时透射峰随控制光功率增强而逐渐增大,而反向时没有出现透射峰,表现为光学非互易性(a);而在ATS效应中,探测光与控制光同向和反向时的透射峰非常接近,表现为光学互易性(b)。它们在打破时间反演对称性上的表现不同,这可以作为一种区分二者的手段。
研究人员根据透射谱数据测量出透明峰线宽并对其进行了拟合,见图4(a, b)。拟合结果表明,EIT效应中透明峰线宽随控制光功率线性增长,而在ATS效应中线宽与控制光功率的平方根正相关。如图4(c)所示,EIT效应中随着控制光强度逐渐增大,探测光与控制光同向时峰值透射率逐渐增大,而反向时透射率始终很低,因而隔离对比度可以逐渐增大至90%左右,表现为显著的光学非互易性。而在ATS效应中,如图4(d)所示,探测光与控制光同向或反向时的峰值透射率始终非常接近,因而隔离对比度很低,表现为光学互易性。
图4.(a, b) 透明窗口宽度随控制光功率变化。虚线为实验结果的拟合曲线。(c, d)峰值透射率和隔离对比度随控制光功率变化。红(蓝)色数据点和曲线表示探测光与控制光同(反)向传输。
综上,这项工作提出了一种不依赖于数值拟合的区分EIT和ATS的方法,并通过实验验证了在热原子中EIT和ATS在打破时空反演对称性上的表现是完全不同的,指出可以利用不同的非互易性来对两者进行区分,这也为把非互易性作为测试平台来区分具有类似现象的物理效应打开了一扇新的大门。

论文链接:
https://onlinelibrary.wiley.com/doi/10.1002/lpor.202100708
免责声明:本文旨在传递更多科研资讯及分享,所有其他媒、网来源均注明出处,如涉及版权问题,请作者第一时间后台联系,我们将协调进行处理,所有来稿文责自负,两江仅作分享平台。转载请注明出处,如原创内容转载需授权,请联系下方微信号。



