


图1 支持QBIC共振的超表面结构示意图
1. 导读
光学共振与物质之间的强耦合提供了控制光-物质相互作用的有效途径,深刻地改变了光与物质的各种行为。在强耦合系统中,物质激发与光学共振通过近场相互作用,其相干能量交换速率高于原始衰减速率,从而导致拉比(Rabi)分裂和新的极化本征模的产生,展现出超快的能量交换且在光谱中表现出明显的反交叉行为。这些新的混合态不仅具备光子的优异特性,而且也在物质层面上加强了分子间的相互作用。
近日山东师范大学韩张华、蔡阳健团队在Nanophotonics发表最新文章,首次报道并实验证明了室温下中红外波段准连续域中束缚态(QBIC)共振与分子振动共振之间的强耦合。由于QBIC具有超高的品质因子和巨大的电场增强,能够极大促进强耦合效应的实现。这项工作表明,利用支持QBIC共振的全介电超表面能够为实现强耦合效应的应用提供一种有效且便捷的方法。
2. 研究背景
众所周知,无论是从基础研究还是技术应用的角度看,光与物质之间的强相互作用具有广泛的科学意义。尤其在中红外波段,许多分子表现出许多显著的激发行为。在强耦合系统中,杂化态的许多物理、材料和电学特性能够促进许多潜在的应用,例如室温玻色-爱因斯坦凝聚、无阈值激光以及单光子开关等等。到目前为止,科学家们在许多不同类型的系统中都观察到了这种迷人的现象,例如二维材料和半导体中的激子,氮空位中心的电子自旋,甚至二维电子气中的回旋跃迁等。由于所谓的集体耦合,分子振动与各种微纳结构(包括等离子体谐振和光学微腔)之间的强耦合已经成为广泛关注的焦点,由于大量材料中振子能够耦合到单一的光学模式中,从而能够有效提高耦合效率。在这些系统中,可以很容易地实现激子/声子与光子/等离子体激元之间的强耦合甚至超强耦合。
众所周知,表征耦合效应的一个关键参数是光与物质之间的能量交换速率g,当强耦合发生时,g大于光学谐振器的光子衰减速率κ和激发跃迁的非辐射损耗速率γ。对于不考虑增益介质影响的无源光学谐振腔,g是物质跃迁偶极动量和谐振腔真空场振幅的乘积,后者与谐振腔的模式体积成反比。为了实现强耦合体系,应该减小κ或者增加g,或者两者共同实现,这也是研究者们在强光-物质相互作用的应用上一直以来的追求和研究目标。因此将具有超高品质因子和超小模式体积的光学系统用来实现强耦合效应将更具有吸引力并且更加的有趣。
3. 创新研究
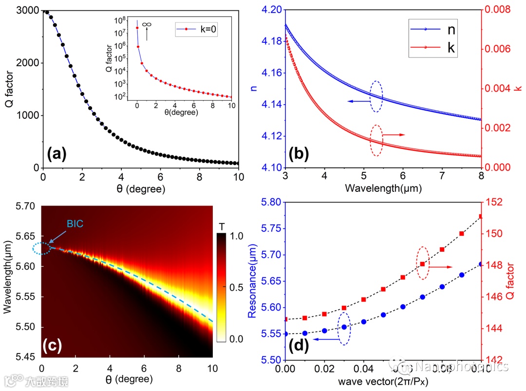
近年来,连续域中束缚态(BIC)由于具有超高的品质因子和巨大的场增强等优点从而引起了人们的广泛关注。因此,该文作者利用其优异的特性,设计了支持QBIC共振的超表面并且在中红外波段实现了与聚甲基丙烯酸甲酯 (PMMA)分子中的声子振动共振之间的强耦合。如图1所示,利用中红外波段低损耗的锗作为最上层高折射率电介质,底部使用氟化钙衬底。通常为了观测强耦合效应中的反交叉行为,光学共振应该在通过外部参数调节下在宽带内具有穿过材料跃迁的空间色散行为。首先,研究人员对超表面支持的QBIC共振的性质进行了详细的研究(见图2),验证了其可以轻易调节的超高品质因子以及其他优异的性能。为了减小样品的制造误差以及方便测量,相邻椭圆之间的夹角通过精心设计以在本文中进行验证和表征QBIC共振在强耦合方面的应用。重要的是,图2(d)表明共振频率和品质因子与横向波矢量(等效入射角)的相关性。在波矢量为0时,品质因子为145,随着横向波矢的变化,共振频率发生红移,因此其可以作为一种调节手段,来精确匹配目标物质的共振。
超表面制备采用电子束光刻(EBL)等工艺,样品SEM图片如图3所示。利用傅里叶变换红外光谱仪对样品在垂直入射下x方向线偏振的光谱进行了表征,结果与理论良好的吻合。实验结果中相对较低的品质因子以及轻微的红移归因于锗盘侧壁的粗糙以及一些加工缺陷造成的额外光学损耗。其电场分布表明,巨大的场增强主要局域在锗盘长轴的两端,能够有效促进QBIC共振和外部介质之间的强相互作用。

图2 QBIC共振特性的计算结果

图3 超表面的SEM图、MIR透射光谱图和谐振位置的电场分布图
该文作者进一步研究了QBIC共振与PMMA分子振动共振之间的强相互作用。由于PMMA层中分子数量视为无限,耦合系统表现为经典系统。在计算模拟中,PMMA分子使用具有洛伦兹介电常数的经典连续介质来描述。由于QBIC共振与PMMA分子振动共振之间的强相互作用,当PMMA分子取适当的厚度t=78nm时,在透射谱中表现为相同强度的双共振现象(见图4(a))。为了揭示杂化态的性质,研究者们计算了t=78nm时不同入射角下的透射率,显示了强耦合系统中耦合态的典型色散行为(见图4(b))。在垂直入射时,QBIC与原始振动共振完全匹配,两个共振之间的相互作用达到最大值,两个分支之间的频谱分离最小并且其大小决定Rabi分裂值ħΩR。

图4 t=78nm时的理论透射光谱以及耦合系统的色散
由于PMMA折射率大于1,结构上存在一层薄薄的PMMA会导致QBIC共振红移。最后作者通过改变PMMA的厚度,在理论和实验上验证了PMMA厚度的变化对强耦合的影响(见图5)。显然,在厚度增加的过程中,两种混合态在经历红移的过程中交换了相对强度,反交叉行为极其显著。这项结果表明,控制分子的厚度也是调节全介电超表面支持的QBIC共振与分子振动共振之间强相互作用的有效方法。

图5 不同PMMA分子层厚度下耦合系统的理论和实验结果
4. 应用与展望
研究团队提出的中红外波段 QBIC光学共振与物质之间强耦合的新方法,特别是对中红外波段许多分子表现出的显著激发行为,有可能改变各种有机材料的化学或材料特性,这使得光学共振与分子的振动共振之间的强耦合更加有趣。因此,该研究证明了全介电超表面支持的QBIC共振和有机材料振动之间的强耦合在红外范围是可行的,并且可能为基于光-物质杂化态的奇异性质的新应用开辟新的前景。
该研究成果以“Strong coupling between quasi bound states in the continuum and molecular vibrations in the mid-infrared”为题在线发表在Nanophotonics。
本文作者分别是孙开礼, 孙敏,蔡阳健,Uriel Levy(以色列耶路撒冷希伯来大学)和韩张华,其中研究生孙开礼为第一作者,韩张华教授为通讯作者。主要作者团队隶属于山东师范大学物理与电子科学学院光场调控及应用中心及山东省光学与光子器件技术重点实验室。
免责声明:本文旨在传递更多科研资讯及分享,所有其他媒、网来源均注明出处,如涉及版权问题,请作者第一时间后台联系,我们将协调进行处理,所有来稿文责自负,两江仅作分享平台。转载请注明出处,如原创内容转载需授权,请联系下方微信号。
