
创新要点:
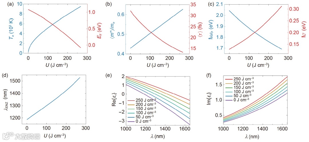
本文基于电子能量分布定义热能量,得出光学响应与热能量的量化关系;考虑泵浦激光脉冲能量的吸收和体系的能量耗散,得到热能量的时域演化,从而实现对非线性光学瞬态响应的量化建模;通过泵浦-探测实验成功地对该模型进行了验证。
H. Wang, L. Sun, K. Du, W. Zhang, S. J. Chua, G. Li, and T. Mei, Thermal energy dependent transient permittivity of epsilon-near-zero material, Sci. China-Phys. Mech. Astron. 65, 284211 (2022), https://doi.org/10.1007/s11433-022-1913-5
点击“阅读原文”,免费获取全文
免责声明:本文旨在传递更多科研资讯及分享,所有其他媒、网来源均注明出处,如涉及版权问题,请作者第一时间后台联系,我们将协调进行处理,所有来稿文责自负,两江仅作分享平台。转载请注明出处,如原创内容转载需授权,请联系下方微信号。


