

撰稿|由课题组供稿
近日,陕西科技大学董亮伟教授在非线性光学中涡旋孤子方向取得重要理论研究进展。首次发现扭曲环形波导阵列中具有相反拓扑荷的涡旋孤子具有不同的存在区间和稳定性。基于严格的离散对称理论分析,揭示了扭曲波导阵列可以稳定在静态结构中总是不稳定的涡旋态,也可存在非扭曲系统中被禁止的新的涡旋态。题为《扭曲环形波导阵列中的涡旋孤子》的论文发表在物理顶级期刊《Physical Review Letters(物理评论快报)》上。这是董亮伟继2021年在该期刊上发表题为《旋转多维量子液滴》之后的第二篇PRL工作。该项工作由物理系董亮伟教授、俄罗斯科学院光谱研究所Y. V. Kartashov教授、西班牙光子科学研究所L. Torner教授和瓦伦西亚大学A. Ferrando教授合作完成,董亮伟为第一且唯一通讯作者,陕西科技大学为第一单位。
光场传播会受到横向折射率调制的强烈影响。这种现象为控制光场衍射、内部结构的多样性以及人造材料中光束的传播路径开辟了重要途径。在非线性情况下,这种折射率调制(特别是周期性几何结构)支持丰富的离散或晶格孤子。涡旋态也可以存在于以离散角旋转对称而非横向周期性为特征的结构中。对这些结构的分析揭示了一个令人惊讶的事实,即晶格对称性(即其离散旋转对称的顺序)对对称涡旋孤子的拓扑荷施加了严格的限制,并决定了它们的稳定性。人们已经发展一种角度伪动量理论来解释基于这种结构中的涡旋模特性。
具有离散角旋转对称结构的环形波导阵列在高能脉冲传输、压缩以及光束组合方面非常重要。它们支持并限制多类光涡旋的存在形态。至关重要的是,顺时针和逆时针涡旋态在这类系统中具有完全对称的特征。因此在线性或非线性区域中,具有相反拓扑荷的状态都具有相同的性质。在玻色--爱因斯坦凝聚体和驱动极化子微腔中也观察到了具有相反拓扑荷的涡旋态的类似对称性和等效性。
当具有离散旋转对称的结构在传播方向上扭曲时,将出现与上述情况完全不同的新现象。在扭曲系统中,结构的螺旋度显著影响波导之间的光传输,可能实现不寻常的衍射管理和核心之间隧穿的拓扑抑制。此外,在Parity-time对称环形阵列中,扭转允许控制系统的对称破缺阈值。然而无论是在环形阵列中还是在旋转晶格中,扭曲对非线性状态下自捕获涡旋态的存在性、稳定性及传播行为的影响尚未被探索。这种旋转结构可以在拉制光子晶体光纤过程中通过扭曲来实现。
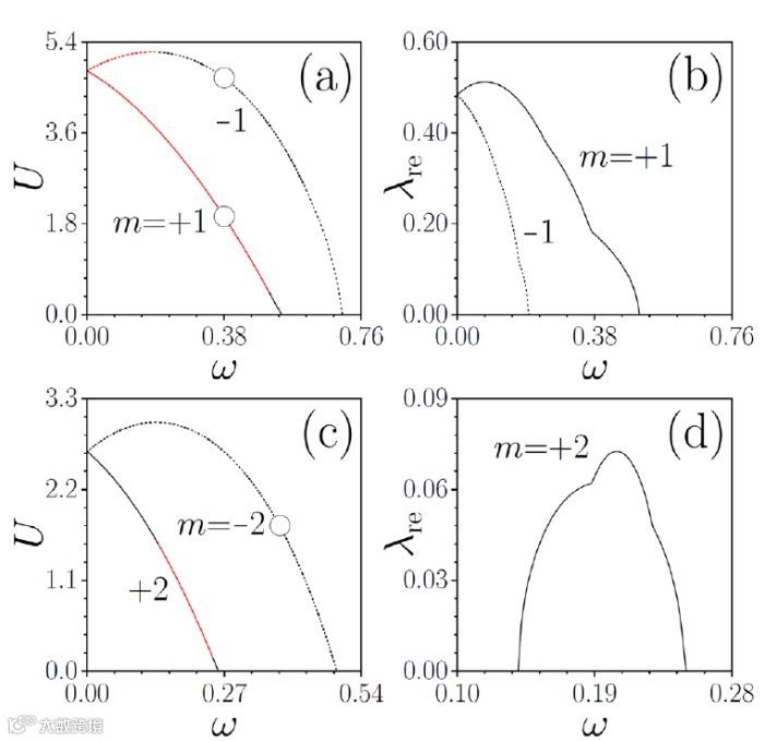
本项工作基于旋转体系中的非线性薛定谔方程,研究了扭曲环形波导阵列中拓扑态的形成。发现非线性介质中波导阵列的扭曲导致具有相反拓扑荷的涡旋孤子表现出完全不同的基本性质。该系统中顺时针和逆时针涡旋流的不等价性非常罕见。通过对具有C6v离散旋转对称性波导阵列的分析,我们发现纵向扭曲能够稳定拓扑荷最低为m=+-1的涡旋孤子,这类涡旋在具有相同对称性但未扭曲的阵列中总是不稳定的。扭曲还会导致原本稳定的m=+-2孤子出现不稳定区域,并产生在非扭曲阵列中被禁止的拓扑荷为m=3的涡旋模。我们建立了阵列的离散旋转对称性、扭转方向和可能的孤子拓扑荷之间的严格关系。

图1: C6点群对称旋转环形波导阵列中角布洛赫模式示意

图2:涡旋孤子功率(a,c)功率和不稳定增长率(b,d)随旋转频率的变化

图3: 不稳定(b)和稳定(c)涡旋孤子传播模拟
本工作受到陕西科技大学科研启动项目、陕西省高层次人才项目、陕西省自然科学基金重点项目的支持。

论文链接:
https://journals.aps.org/prl/abstract/10.1103/PhysRevLett.129.123903
参考文献:
[1] Y. V. Kartashov, A. Ferrando, A. A. Egorov, and L. Torner, “Soliton topology versus discrete symmetry in optical lattices,” Phys. Rev. Lett. 95, 123902 (2005).
[3] Y. V. Kartashov, V. V. Konotop, and L. Torner, “Topological states in partially-PT-symmetric azimuthal potentials,” Phys. Rev. Lett. 115, 193902 (2015).
[3] X. Zhang, V. A. Vysloukh, Y. V. Kartashov, X. Chen, F. Ye, and M. R. Belic, “PT-symmetry in nonlinear twisted multicore fibers,” Opt. Lett. 42, 2972 (2017).
免责声明:本文旨在传递更多科研资讯及分享,所有其他媒、网来源均注明出处,如涉及版权问题,请作者第一时间后台联系,我们将协调进行处理,所有来稿文责自负,两江仅作分享平台。转载请注明出处,如原创内容转载需授权,请联系下方微信号。



