
多孔材料能够同时实现低重量和高刚度(高比刚度),天然存在的多孔材料包括木材、海洋贝壳和岩石等,追求具有极高比刚度的材料长期以来一直是结构工程的主要追求,从而为合金和复合材料等传统材料提供了变革性的替代方案。但目前多孔材料的研究受限于技术和理论方面。在技术层面上,多孔材料的制造极具挑战性。在理论层面上,对尺寸效应如何从底层微观结构中产生并影响材料的内在多尺度响应的机理仍然不清楚。

来自美国普渡大学机械工程学院的Fabio Semperlotti教授团队,通过将尺寸效应与多孔微观结构的特定特征直接联系起来,来描述多孔固体的内在非局部性质。这种方法为开发高精度和计算效率高的非局部连续统模型提供了坚实的物理基础,这项研究为多孔介质的物理理解和建模提供了两个关键贡献。首先,它表明多孔固体表现出与位置相关的非局部效应,如果寻求准确的预测,就不能忽视这些效应。其次,开发了能够捕捉这些复杂的非局部效应的非局部连续统理论并进行了数值测试。作者的研究提供了一种严格的方法来开发物理一致的多尺度系统降阶模型,其精度可与完全解析的 3D 模型相媲美。虽然结果是在多孔材料的背景下提出的,但本研究框架可以扩展到具有多尺度特征的各种应用,包括但不限于复合材料、建筑材料、地震学、生物技术等。该文近期发布于npj Computational Materials 8: 152(2022)。手机阅读原文,请点击本文底部左下角“阅读原文”,进入后亦可下载全文PDF文件。

Editorial Summary
Porous materials can achieve low weight and high stiffness (high specific stiffness) at the same time. Naturally occurring porous materials include wood, marine shells and rocks. The pursuit of materials with high specific stiffness has long been the main pursuit of structural engineering, thus providing a revolutionary alternative to traditional materials such as alloys and composites. However, the research of porous materials is limited by technology and theory. At the technical level, the manufacture of porous materials is extremely challenging. At the theoretical level, it is still unclear how the size effect is generated from the underlying microstructure and affects the internal multi-scale response of materials.

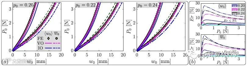
Fig. 3 Nonlinear static response of the porous beams.
The team of Professor Fabio sempelotti from the school of mechanical engineering of Purdue University in the United States describes the internal nonlocal properties of porous solids by directly linking the size effect with the specific characteristics of porous microstructure. This method provides a solid physical foundation for the development of nonlocal continuum models with high accuracy and high computational efficiency. This study provides two key contributions to the physical understanding and modeling of porous media. First, it shows that porous solids exhibit location dependent nonlocal effects that cannot be ignored if accurate predictions are sought. Secondly, the nonlocal continuum theory which can capture these complex nonlocal effects is developed and tested numerically. The results show that this method provides a strict method to develop a physically consistent reduced order model of multi-scale systems, and its accuracy is comparable to that of a fully analytical 3D model. Although the results are proposed in the context of porous materials, the research framework can be extended to various applications with multi-scale characteristics, including but not limited to composite materials, building materials, seismology, biotechnology, etc.. This article was recently published in npj Computational Materials 8: 152 (2022).

Fig. 4 Nonlinear thermoelastic response of the porous beams.
原文Abstract及其翻译
On the role of the microstructure in the deformation of porous solids (微结构在多孔固体形变中的作用)
Sansit Patnaik, Mehdi Jokar, Wei Ding & Fabio Semperlotti
Abstract This study explores the role that the microstructure plays in determining the macroscopic static response of porous elastic continua and exposes the occurrence of position-dependent nonlocal effects that are strictly correlated to the configuration of the microstructure. Then, a nonlocal continuum theory based on variable-order fractional calculus is developed in order to accurately capture the complex spatially distributed nonlocal response. The remarkable potential of the fractional approach is illustrated by simulating the nonlinear thermoelastic response of porous beams. The performance, evaluated both in terms of accuracy and computational efficiency, is directly contrasted with high-fidelity finite element models that fully resolve the pores’ geometry. Results indicate that the reduced-order representation of the porous microstructure, captured by the synthetic variable-order parameter, offers a robust and accurate representation of the multiscale material architecture that largely outperforms classical approaches based on the concept of average porosity.

Fig. 5 Computational performance and some theoretical implications of the VO model.
摘要 本研究探讨了微结构在确定多孔弹性连续体的宏观静态响应中所起的作用,并揭示了与微观结构的配置密切相关的位置相关的非局部效应的发生。然后,发展了一种基于变阶分数阶微积分的非局部连续统理论,以准确捕捉复杂的空间分布非局部响应。通过模拟多孔梁的非线性热弹性响应,来说明分数方法的显然潜力。从精度和计算效率两方面评估其性能,与完全解析孔隙几何形状的高保真有限元模型直接对比表明,由合成可变阶参数捕获的多孔微观结构的降阶表示,提供了多尺度材料结构的稳健和准确的表示,该结构在很大程度上优于基于平均孔隙率概念的经典方法。
免责声明:本文旨在传递更多科研资讯及分享,所有其他媒、网来源均注明出处,如涉及版权问题,请作者第一时间后台联系,我们将协调进行处理,所有来稿文责自负,两江仅作分享平台。转载请注明出处,如原创内容转载需授权,请联系下方微信号。


