
FUTURE | 远见 闵青云 选编
中国科学技术大学中科院微观磁共振重点实验室杜江峰、林毅恒等人与中科院量子信息重点实验室罗希望等合作,在拓扑相变量子模拟方面取得重要进展。通过发展高自旋离子阱体系的调控技术,实现了对三重简并拓扑单极子的量子模拟,观测到具有不同拓扑荷的单极子之间的相变,并展示了自旋张量在其中的重要作用。该研究结果于2022年12月14日以「Observation of Spin-Tensor Induced Topological Phase Transitions of Triply Degenerate Points with a Trapped Ion」为题,发表在《物理评论快报》上[Phys. Rev. Lett. 129, 250501 (2022)] 。中科院微观磁共振重点实验室博士研究生张梦翔、李岳以及袁新星博士为该论文共同第一作者,杜江峰院士、林毅恒教授和罗希望教授为共同通讯作者。

拓扑物态是当前物理研究的前沿和主流领域之一,为新材料、新器件的设计带来了新的思路,乃至对我们深入理解宇宙基本粒子的性质都具有重要的意义。2016年,诺贝尔物理学奖便授予了在拓扑物理学方面做出开创性贡献的三位科学家。拓扑源自于数学,指在局部的连续变化下保持不变的整体性质。比如面包圈和茶杯拓扑等价,这是由于他们都有一个穿透的洞,而洞的个数是一个拓扑性质,对应拓扑荷。科学家发现,拓扑在凝聚物质的一些物理特性上也起到关键作用,这些物理特性不依赖样品的细节,完全由系统状态的整体拓扑性质确定。而拓扑相变——具有不同拓扑性质的状态之间的转变——一定是不连续的跃变。例如在一些半金属材料中,能带简并点形成的类似单极子的拓扑结构可以具有不同的拓扑荷,探索他们之间的拓扑相变是目前的前沿研究方向之一。同时,简并点附近的准粒子激发表现出类似基本粒子的行为,探索其拓扑相变对于探索新型粒子也具有重要意义。
此项研究针对拓扑相变中的一类重要的费米子——三重简并费米子模型进行实验模拟。该模型对应自旋为1的拓扑单极子,在近期的研究中受到广泛关注。然而,在固体材料体系中,直接观测这种三重简并点的拓扑相变需要复杂的调控,目前难以实现。因此,高度可控的量子模拟器为研究拓扑现象提供了新的途径。这项研究中,通过使用在超高真空环境束缚的铍离子,结合微波、射频等的精准调控,构建多能级的量子体系,可以有效的观测自旋为1的拓扑单极子的行为。通过调控实验参数,研究人员清晰的观测到量子态的拓扑相变,并且提取出高阶自旋张量在其中的贡献(图1所示)。该工作发展出的高度可调控的多能级束缚离子系统,为研究高自旋物理提供了良好的平台,并为进一步研究新奇高阶拓扑简并态以及其他拓扑单极子现象铺平了道路。

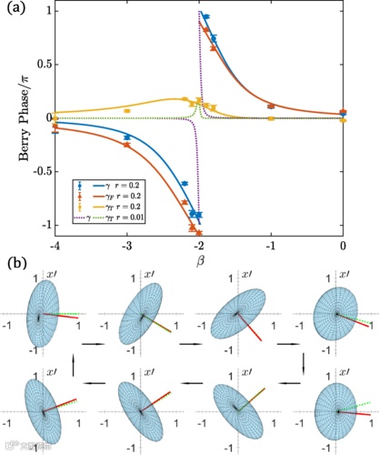
图1. 自旋为1的拓扑量子模拟实验结果。上图:实验观测到的拓扑相变行为,其中 β>-2 对应拓扑荷为2, β<-2 对应拓扑荷为0;不同颜色的数据代表拓扑相变中各种分量的贡献,其中黄色数据代表张量部分的贡献,实线为对应的理论预测结果。下图:实验观测张量椭球在拓扑相变点 β≈-2 附近的几何环绕行为。自旋张量椭球在参数空间中特定回路的演化,可以清晰的反应张量对拓扑荷的贡献。
研究中使用的离子阱实验系统属于近几年迅速发展起来的高自旋量子模拟器。中科院微观磁共振重点实验室杜江峰院士、林毅恒教授带领团队从无到有搭建了实验平台,并成功发展了一系列新型的高自旋操控技术,包括使用动力学去耦将三能级状态相干时间提高一个数量级[Phys. Rev. A. 106, 022412 (2022)];通过解析模型辅助的形状脉冲,以实现四能级系统的两个近邻跃迁之间的快速普适调控[Phys. Rev. Applied. 18, 034047 (2022)]。上述工作为本文的研究奠定了核心实验基础。中科院量子信息重点实验室罗希望教授、美国德克萨斯大学达拉斯分校张传伟教授为本文的工作提供核心理论支持。
审稿人高度评价该工作,指出「...importantly, the spin-tensor-momentum-coupling could be generated for spin-1 systems and induce intriguing quantum phenomena different from spin-1/2 ones. This work is of interest and importance.」(「……重要的是,自旋-张量-动量的耦合可以通过自旋为1的系统生成,导致与自旋1/2不同的有趣的量子现象。这个工作是有意思的和重要的。」)
该研究得到国家自然科学基金、中科院、科技部、安徽省的资助。
论文链接:
[1]https://journals.aps.org/prl/abstract/10.1103/PhysRevLett.129.250501
[2]http://news.ustc.edu.cn/info/1055/81461.htm
--中国科学技术大学
免责声明:本文旨在传递更多科研资讯及分享,所有其他媒、网来源均注明出处,如涉及版权问题,请作者第一时间后台联系,我们将协调进行处理,所有来稿文责自负,两江仅作分享平台。转载请注明出处,如原创内容转载需授权,请联系下方微信号。


