


撰稿|由课题组供稿
近日,空军工程大学人工结构功能材料与器件陕西省重点实验室研究团队发现,同相自旋锁定(identically-spin-locked,ISL)几何相位(φLCP = φRCP)是实现线极化保护几何相位的关键。当一束线极化波分解得到的左旋圆极化和右旋圆极化分量获得相同的几何相位时,这一相位将会传递给合成的线极化波而不改变合成波的极化状态,实现具有高极化纯度的宽带线极化几何相位调控。相关研究成果以“Linear-Polarization-Preserving Metasurfaces Based on Identically Spin-Locked Geometric Phase”为题于2023年1月在线发表在《Laser &Photonics Reviews》上。

图1 线极化保护几何相位示意图
超表面,作为由亚波长单元结构周期或非周期阵列组成的人工结构功能材料,在电磁调控方面展现了无与伦比的优势,通过设计单元结构的谐振特性,能够实现对电磁波相位、幅值和极化态的自由调控,其中,相位调控尤为重要。一般来说,超表面调控相位主要包括四种类型:几何相位、传输相位、谐振相位和迂回相位。谐振相位是由窄带内的电磁谐振产生的,可以通过改变结构参数来控制。迂回相位只在斜入射时出现,与入射角和超表面空间周期性有关。这两种类型的相位在频域和/或空间域上都具有很强的色散性,这使得它们无法在宽频带内实现相位调控。传输相位则是电磁波在材料内传播过程中积累得到的相位,与材料电厚度有关。当厚度一定时,传输相位也固定在给定的频率上,因此,传输相位也是色散的。此外,获取足够的传输相位需要足够的传播距离,这将不可避免地增加超表面的剖面高度。为了实现宽带相位调控,几何相位被引入到超表面设计中。通过旋转超表面单元,可以很容易地得到P-B几何相位,然而P-B几何相位只能赋予交叉极化波。这导致引入高效率的几何相位通常会为了宽带相位响应而牺牲极化纯度。于是,能否在不牺牲极化纯度的情况下获得宽带几何相位就变得尤为重要。
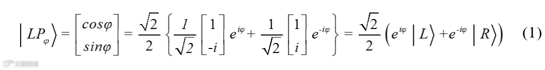
根据电磁理论,任意一束极化角为φ的线极化波都可以分解为两束正交的圆极化波(左旋极化波LCP和右旋极化波RCP),分解过程用琼斯矢量表示为:

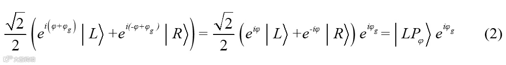
其中|LPφ>、|L>和|R>分别代表线极化波(LP)、左旋圆极化波(LCP)和右旋圆极化波(RCP)。由公式(1)可知,分别具有±φ相位因子的正交圆极化波可以叠加,合成极化角φ的线极化波。根据P-B几何相位原理,当各向异性单元绕中心旋转θ,RCP和LCP波将分别获得+2θ和-2θ几何相位。由公式(1)可得,一束线极化波的LCP分量与RCP分量在得到P-B几何相位后,叠加将会产生极化角为2θ的线极化波,而不改变合成波的相位。这也是线极化波不存在P-B几何相位的原因。但若在公式(1)的圆极化分量上附加大小相等且符号相同的几何相位φg,即φL=φR,则公式(1)可改写为:

由公式(2)可以发现,与入射波相比,当LCP和RCP分量具有相等的相位时,叠加后的线极化波在不改变极化态的情况下也会获得几何相位φg。因此可以得出结论,宽带线极化保护几何相位的关键在于实现不同于P-B相位(φL=-φR)的同相自旋锁定几何相位(φL=φR)。
团队前期研究成果(https://doi.org/10.1364/PRJ.473698)已经发现超表面几何相位产生的本质是电流的旋转,当电流旋转方向与入射波自旋方向相反,获得+2θ相位;当电流旋转方向与自旋方向一致时,获得-2θ相位(θ为电流旋转角度)。即当左旋圆极化波和右旋圆极化波诱导的表面电流发生相反方向的旋转,就可以抵消自旋带来的影响,得到同相自旋锁定几何相位。这一结果可用来实现具有线极化保护的宽带几何相位。
首先以开口谐振环(SRR)结果作为初始结构,如图2(a-ⅰ)所示,LCP和RCP波诱导产生的表面电流分别以SRR结构的两个端点为起点,在金属结构上运动。当起始点改变时,表面电流路径会绕中心发生旋转,从而产生几何相位。定义θ决定SRR圆弧的起始点,随着θ的增大,RCP诱导的表面电流JR和LCP诱导的表面电流JL将会分别沿着对应的自旋方向发生旋转,进而产生几何相位(蓝色和红色箭头分别表示表面电流JL和JR随θ增大的旋转方向)。图2(b-ⅰ)则给出了反射波幅值和相位随θ的变化趋势,可以看出φL和φR的相位分布完全相同,即φL = φR,对于θ∈[10°,170°],则可以得到0°到320°的相位。然而,当θ达到临界值时,反射幅值会大大降低,这主要是因为当θ较大时,SRR上的电流变短,从而导致效率降低。因此,对结构进行变形设计,首先将SRR环依次变形为双开口谐振环(D-SRR)结构和准I型结构,原理和分析过程与SRR结构类似。仿真发现D-SRR和准I型结构并没有改变幅值和相位不够的情况。于是,将准I型的圆弧半径减小,变形成为如图2(a-ⅳ)的quadru-arc structure (QAS)结构,对于该结构,θ可以在50°到350°之间变化。仿真结果表明LCP和RCP波诱导的表面电流分别沿着对角线上的圆弧流动,随着θ的增大,LCP波和RCP波作用下的表面电流始终以对应自旋方向相反的方向沿着圆弧轨迹旋转,单元整体则不会发生旋转,从而产生同相自旋锁定几何相位(φL=φR)。图2(b-ⅳ)所示为QAS单元在圆极化波入射下的幅值和相位变化。与之前的结构相比,QAS结构既不牺牲幅值,也不牺牲相位跨度,反射幅值在0.7以上,同相自旋锁定几何相位可以覆盖2π的跨度。

图2 单元结构示意图和幅值相位响应:(a)LCP波和RCP波下的结构和表面电流:(ⅰ)SRR元单元、(ⅱ)D-SRR单元、(ⅲ)准I型单元、(ⅳ)QAS单元,蓝色和红色箭头分别表示当θ增加时表面电流(JL&JR)的旋转方向;(b)rRL和rLR对四种单元的反射性能:(ⅰ)SRR单元、(ⅱ)D-SRR单元、(ⅲ)准I型单元、(ⅳ)QAS单元

图3 QAS单元在线极化波入射下的反射相位和幅值变化:(a)QSA单元结构,几何参数P=10mm、r=1.6mm、l=6mm;(b)反射相位和幅值随θ变化:(ⅰ)ryy、(ⅱ)rxx
为进一步验证所提出的相位机理,以QAS单元为超表面单元仿真线极化波入射下的反射相位和幅值,结构示意图和仿真结果如图3所示。可以看出,ryy的相位控制可以通过在10.0-15.0GHz的宽频带内改变θ来实现,相位变化均匀覆盖2π,同时在该频带内保持近1的反射幅值。对于rxx相位变化的不完全覆盖,主要是由于单元的各向异性,几何相位受到洛伦兹谐振产生的高色散谐振相位的干扰。在x-极化状态下,金属线结构的影响不可忽略,导致相位分布不均匀。但是,该相位仍然同时继承了宽带优势和高极化纯度特性。
涡旋波由于其轨道角动量(OAM)可以提高频谱效率和通信容量,引起了人们的广泛关注。通过在超表面上定制相位分布,可以将平面波转换为螺旋波前。在以往的研究中,对于具有给定极化的电磁波,可以产生交叉极化涡旋波。然而,宽带同极化涡旋波却鲜有报道。这里,受益于高极化纯度几何相位设计,设计了一个同极化涡波超表面。将y极化平面波入射到超表面上,由于线极化波的极化旋转被QAS结构完全抑制,反射波将保持原来的极化状态。图4(a)给出了z=300 mm处(超表面位于z=0 mm平面)Ey分量的相位分布。可以看出,Ey的反射相位在超表面中心周围呈螺旋状分布,相位跨度2π。为了进一步展示其性能,加工了原理样件,并在微波暗室中进行近场测试。图4(b-ⅰ)给出了测量状态和样件照片。如图4(b-ⅱ)和(b-ⅲ)所示,Ey分量的实测相位与仿真结果吻合较好,验证了宽带线极化保护相位设计。

图4 涡旋超表面仿真与测试:(a) z=300mm平面上Ey分量的相位分布仿真结果:(ⅰ)10.0GHz、(ⅱ)12.5GHz、(ⅲ)15.0GHz,(b)z=300mm处Ey分量的测试结果和样件照片(ⅰ)和相位分布测试结果:(ⅱ)10.0GHz、(ⅲ)15.0GHz
本工作所提出的几何相位调控手段兼具有高极化纯度和宽带特性,对电磁波的相位控制具有重要意义。团队首先分析了线极化几何相位调控的关键是同相自旋锁定几何相位的实现,而旋转单元形成的几何相位总是负自旋锁定相位(φL=-φR),不满足设计需要。实际上,几何相位产生的本质在于电流路径的旋转。考虑到这一点,团队通过表面电流路径设计,将SRR结构演化为QAS结构,从而产生同相自旋锁定几何相位,进而获得高极化纯度几何相位。这项工作为线极化波的宽带操纵提供了机理分析和手段方法,并可以很容易地扩展到更高频段,如太赫兹、红外和光学等。
空军工程大学人工结构功能材料与器件陕西省重点实验室博士研究生富新民和杨杰博士为论文共同第一作者,王甲富教授和丁畅博士为论文通讯作者。该研究工作获得了国家自然科学基金和陕西省青年人才托举计划等项目支持。

论文地址:
https://doi.org/10.1002/lpor.202200678
免责声明:本文旨在传递更多科研资讯及分享,所有其他媒、网来源均注明出处,如涉及版权问题,请作者第一时间后台联系,我们将协调进行处理,所有来稿文责自负,两江仅作分享平台。转载请注明出处,如原创内容转载需授权,请联系下方微信号。
