Photonics Research 2023年第2期Editors’ Pick:
Lin Jiao, Jun-Hong An. Noisy quantum gyroscope[J]. Photonics Research, 2023, 11(2): 150
对旋转角速度进行高精度传感的陀螺仪在航空、海洋和空间应用的导航中具有关键意义。基于Sagnac效应,陀螺仪已在光学和物质波系统中实现。但是现行的陀螺仪精度受到经典散粒噪声极限的限制。
量子计量学是利用压缩或纠缠等量子资源对物理量进行比经典散粒噪声极限更精确的测量方案的新兴学科,它为实现具有终极精度极限的陀螺仪提供了思路。基于这一想法,诸多文献中已经提出多种量子陀螺仪方案。
然而,现有的量子陀螺仪仍处于原理性验证研究阶段,其在精度的绝对值上仍未表现出比传统陀螺仪的优越性。一个关键障碍是量子陀螺仪的稳定性受到微观系统普遍存在的噪声所引起的退相干的挑战,它通常会降低量子探针的量子资源,迫使量子增强的精度回到经典极限,从而使量子优势完全消失。这被称为噪声量子计量的止步定理,是实现量子陀螺仪的主要障碍之一。
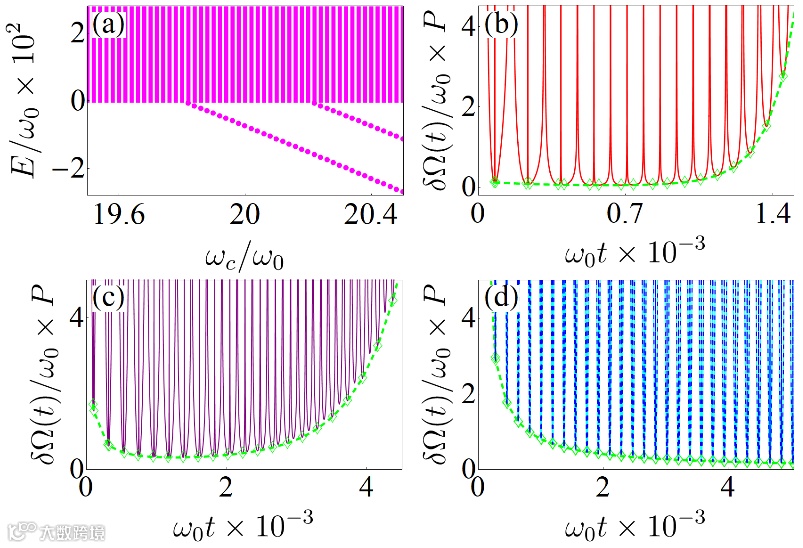
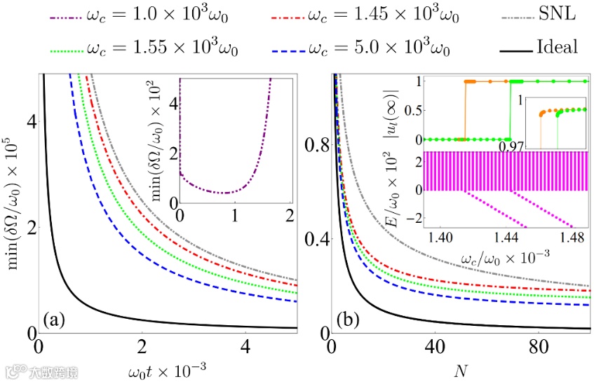
为解决上述问题,兰州大学焦琳和安钧鸿提出了一种纠缠辅助的角速度高精度量子传感方案,其在现实噪声环境中的传感精度超越了散粒噪声极限,实现基于现行光纤陀螺仪的量子推广——量子光学陀螺仪方案。在理想的非退相干情况下,其精度达到超海森堡极限。相关研究成果发表于Photonics Research 2023年第2期。
安钧鸿教授表示:“首先,研究所提出的量子陀螺仪得到的传感精度不仅超越了经典散粒噪声极限,而且超越了量子计量学中普遍可及的海森堡极限,其丰富了量子计量学的领域。其次,研究结果提供了一种克服文献中长期存在的噪声量子计量止步定理的有效方法,扩展了人们对量子计量方案中退相干效应的普遍认识。最后,这些结果为在现实噪声环境中实现高精度旋转传感奠定了基础,为量子光学最新实验指明了方向。“
作者简介
安钧鸿
兰州大学物理科学与技术学院
主要研究方向:量子光学、量子精密测量、量子/拓扑相变以及非平衡量子统计动力学
安钧鸿,兰州大学物理科学与技术学院教授。2016年入选甘肃省飞天学者,2017年入选中央军委科技委主题专家组专家,2018年入选中国物理学会量子光学专业委员会委员。先后主持国家自然科学基金、中央军委科技委课题等10多个项目。曾在Physical Review Letters、Physical Review A/B/Applied等期刊发表学术论文60余篇。
焦琳
兰州大学物理科学与技术学院
主要研究方向:量子光学与量子精密测量
免责声明:本文旨在传递更多科研资讯及分享,所有其他媒、网来源均注明出处,如涉及版权问题,请作者第一时间后台联系,我们将协调进行处理,所有来稿文责自负,两江仅作分享平台。转载请注明出处,如原创内容转载需授权,请联系下方微信号。


