

撰稿|由课题组供稿
近日,浙江工业大学应用物理系刘凡新教授团队和美国南加州大学电子物理系吴蔚教授、南加州大学物理系主任Prof. Stephan Hass以及南京大学物理学院詹鹏教授合作,提出基于等离激元柔性纳米手指亚纳米间隙耦合结构调控全无机钙钛矿CsPbBr3量子点发光特性,在室温连续激光(CW)激发下,实现 Laser-like激射。相关工作以“Tuning Photoluminescence of CsPbBr3Quantum Dots through Plasmonic Nanofingers”为题在线发表在最新一期的Advanced Optical Material(DOI: 10.1002/adom.202202750)上。浙江工业大学为该项成果第一署名单位;刘凡新教授、吴蔚教授以及詹鹏教授为该论文共同通讯作者;苏光旭(浙江工业大学讲师、朝晖特聘副研究员)和胡畔(美国南加州大学博士生)为本工作共同第一作者。
片上光学器件具有小型化、易集成等优势,尤其是如何实现纳米级激光产生在信息量子通讯、光学传感等方面具有广泛的应用。近年来,利用钙钛矿材料实现纳米激光器成为研究热点。当CsPbBr3等无机钙钛矿材料以薄膜或纳米晶体形式存在时,在室温下及脉冲光激发下可实现激光激射。但是基于钙钛矿薄膜的光电器件尺寸相对较大,会限制其与芯片系统的集成;相比于脉冲光激励,连续波激励更为高效且具有工业兼容性。通过利用金属纳米粒子-金属薄膜耦合体系(NPOM)/ CsPbBr3无机钙钛矿量子点复合体系,在液氮温度下及连续波CW激发下,可实现激光激射现象。但NPOM体系具有片上集成困难及无法激发In-Plane耦合电磁场。近年来,利用有机-无机复合钙钛矿材料薄膜体系结合DBR介质微腔,实现了室温下及CW激发下的Laser,但是尺寸较大,无法实现纳米级,限制了其在片上集成器件中的应用。
本论文提出利用自主开发的柔性纳米手指耦合体系来调控CsPbBr3等无机钙钛矿量子点的发光特性。柔性纳米手指耦合体系相比NPOM体系具有一下优势:第一基于纳米压印等制备柔性纳米手指多聚体阵列结构,具有高均匀性、高重复性、低成本等优点,是实现片上集成的优异平台;第二,具有产生In-plane耦合电磁场的特点。对于预先镀好超薄高介电的柔性纳米手指结构,利用液体蒸发诱导毛细力导致相邻的纳米手指塌陷并完全靠拢到一起,形成具有亚纳米尺度的介质间隙精确可控的等离激元光学纳腔,是实现与CsPbBr3等无机钙钛矿量子点激子强耦合的高效平台。研究者通过将CsPbBr3量子点放置在具有2纳米非晶碳膜介质间隙的柔性银纳米手指dimer中,实现了间隙等离激元与CsPbBr3激子的光学耦合,实现了室温及CW激发下的Laser。相关耦合体系对于实现玻色爱因斯坦凝聚、片上集成纳米光子学等有重要的应用前景。
本论文通过将CsPbBr3量子点放置在具有2纳米非晶碳膜介质间隙的柔性银纳米手指dimer中(图1所示),实现了间隙等离激元与CsPbBr3激子的光学耦合。纳米手指上的CsPbBr3量子点的光致发光(PL)强度提高了4倍,PL寿命从11.04 ns降低到3.8 ns,实现了Purcell增强(图2所示)。由于dimer纳米手指对的间隙等离激元模式耦合特性,量子点PL谱具有偏振依赖的增强特性。通过实验测量与理论仿真相结合,揭示了等离激元光场对CsPbBr3量子点发光的影响:纳米手指坍塌会形成成键态偶极子耦合模式,引起暗场散射峰的红移,并在间隙处产生近百部的局域电场增强;等离激元增强导致的共振能量转移,等离激元诱导的热电子转移以及电荷转移效应等可以极大地增强钙钛矿量子点的发光特性。
图1. 基于等离激元柔性纳米手指耦合结构实现局域等离激元光场对CsPbBr3量子点发光特性调控的示意图及样品结构表征图。
图2.银纳米手指/CsPbBr3量子点复合结构的PL光谱表征及其与在二氧化硅衬底上的量子点光学性能对比(PL强度、寿命及偏振依赖特性等)。
更重要的是在室温及CW激发下,观察到了Laser-like激射现象,且随着入射激光功率的增加,PL峰值强度呈现二次函数的增加趋势。
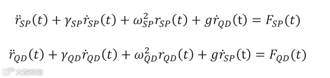
根据理论模型分析,Ag纳米手指上的CsPbBr3量子点PL强度与入射功率呈二次函数依赖关系,如图3所示。这种二次关系可以用量子点和纳米耦合谐振腔模型来解释。量子点和表面等离激元的振子运动可以用以下方程来描述:



随着激发功率的增加,PL峰的FWHM值明显降低,可以用量子约束斯塔克效应(QCSE)的库仑屏蔽来解释。随着激发功率的增加,光生载流子引起的内部电场减弱了QCSE。当屏蔽效应开始主导发射过程时,它会导致FWHM值的降低。这种类激光PL光谱的大FWHM可以归因于连续激发下的热效应。

图3. 室温连续波激发下,银纳米手指/CsPbBr3量子点复合结构PL光谱的功率依赖关系及其与在二氧化硅衬底上的量子点光学性能对比。

Guangxu Su, Pan Hu, Youfeng Xiao, Junzheng Hu, Dalong Pan, Peng Zhan*, Stephan Hass, Wei Wu*, and Fanxin Liu*. Tuning Photoluminescence of CsPbBr3 Quantum Dots through Plasmonic Nanofingers. Advanced Optical Materials DOI: 10.1002/adom.202202750 (2023).
免责声明:本文旨在传递更多科研资讯及分享,所有其他媒、网来源均注明出处,如涉及版权问题,请作者第一时间后台联系,我们将协调进行处理,所有来稿文责自负,两江仅作分享平台。转载请注明出处,如原创内容转载需授权,请联系下方微信号。



