

撰稿|由课题组供稿
近日,苏州科技大学姜昱丞课题组在异质结的类铁电特性研究方面取得突破,通过构建具有近一维界面的垂直侧壁范德华电子气异质结(Black phosphorus/Quasi-two dimensional electron gas),在非铁电材料体系中观察到了类似铁电的物理特性,包括电滞回线、非易失性阻变、PUND电流、热释电等。通过构建理论模型,讨论了长寿命非平衡载流子对异质结空间电荷区重构的重要作用,发现界面非易失性极化可以表现出与传统铁电相同的物理规律,从而揭示了其类铁电行为的物理本质。相关研究成果以“Observation of Electric Hysteresis, Polarization Oscillation, and Pyroelectricity in Nonferroelectric p-n Heterojunctions”为题发表在《Physical Review Letters》期刊上(Phys. Rev. Lett. 130, 196801,2023)。
电极化的非易失性改变广泛报道于铁电材料。基于电偶极子的有序排列,铁电体可表现出自发电极化,并且通过施加外部电场现电极化翻转。非中心对称结构是实现铁电性的关键。为了实现这一目标,许多方法被采用来打破晶体的中心对称结构,如晶格扭曲、层间滑动、应变和掺杂等。与铁电体中的体极化相比,PN异质结构中的界面电极化取决于空间电荷的分布,而不是电偶极子。通常,由于主要载流子的完全耗尽,在界面处感应出空间电荷区(SCR)。基于具有恒定界面电极化的SCR,PN异质结构中的界面产生了许多特别的物理特性,如整流、光电效应、电致发光等。通过载流子的注入改变SCR的宽度,引起内建电势的改变,可短暂地表现出类似电极化翻转的性质。但是,由于载流子的寿命的限制,在移除外加电场后,界面会很快恢复至本征内建电势,导致内建电势的改变是易失性的。为了实现内置电势的非易失性改变,合理的策略是通过偏置电压诱发长寿命的非平衡载流子(non-equilibrium carriers, NECs)填充SCR。这会引起SCR的重构,而长寿命的NECs不会立即复合,最终会导致非易失性界面极化改变的出现。

图1:(a)BP-Q2DEG异质结构的结构示意图。(b)原子显微镜图像,显示异质结的表面形貌。插图:异质结的显微镜照片。(c)在300 K时,−3–3 V的偏置范围内测量的电流-电压回线。插图:半对数电流-电压回线。箭头显示了电压变化的方向。(d)结电阻与写入电压Vwrite之间的依赖关系,Vread = 0.2 V,其中Vwrite是用1 s的脉冲宽度驱动器件的脉冲电压。Vwrite和Vread之间的等待时间为30 s。(e)在0、−5和5 V的Vwrite脉冲之后,在0–2 V的偏置范围内电流-电压曲线。箭头标记开启电压。
该异质结的类铁电效应中电极化的改变是通过SCR的重构来实现,机理不同于铁电中电偶极子的反转。然而,不同的物理过程导致相似的电极化改变结果,从而导致相似的铁电行为。BP-Q2DEG异质结中的电阻迟滞行为和PUND测试展现异质结的类铁电特性,见图2。未复合的NECs可导致BP-Q2DEG界面极化发生非易失性改变,通过测量不同外界偏压下的内建电势,得到相应的迟滞曲线,并量化了偏压和内建电势之间的函数关系。BP-Q2DEG异质结在300 K温度下可观察到明显的PUND电流,并在-0.35 V达到峰值。上述物理过程进一步佐证了BP-Q2DEG异质结具有类铁电特性。

图2:(a) 显示正常和类铁电异质结的内置电势对偏置电压的依赖性的示意图。(b)在300K下的Vbi偏置迟滞回线,表现出非易失性电极化。(c) 通过PUND方法检测到的位移电流。电压脉冲的间隔时间为0.2s。PUND电流的二阶导数(d2I=dV2)如左上和右下所示,以排除背景电流的影响。
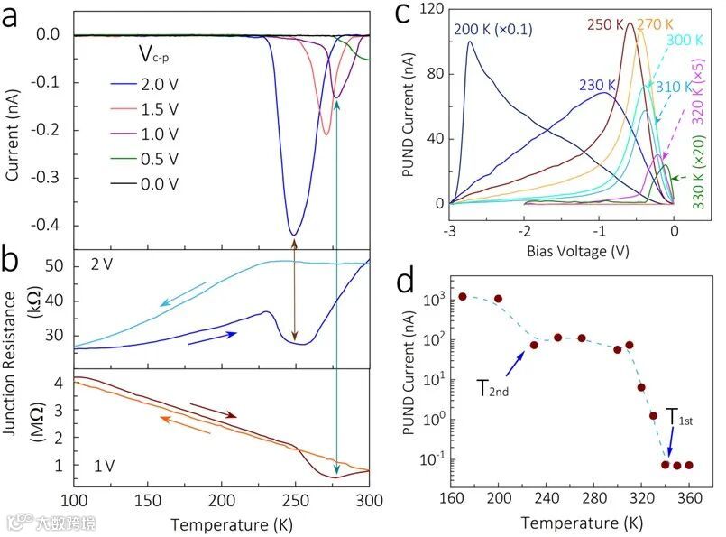
进一步探究BP-Q2DEG异质结的铁电性质,发现异质结的热释电现象,见图3。将温度从100 K升至300 K过程中,观测到明显的热释电电流,该电流的大小表明了异质结界面极化程度的不同。该异质结的热释电显示出与铁电机制不同的行为,其热释电温度随着极化电压的增加而减小,而对于一般的铁电体,其热释电温度一般与其铁电相变温度相关,而不取决于电极化度强度。这意味异质结中的类铁电特性既与普通铁电有着诸多相似之处,又在铁电行为的细节上有所不同。

图3:(a) 在施加不同的极化电压后,从100到 300 K加热时的热释电响应。电极化是通过在0–2 V的偏压范围内将异质结冷却到100 K来实现。(b) 在1和2 V的偏置电压下,结电阻与温度之间的函数关系,其中温度下先降到100 K,然后上升到300 K。(c)在不同温度下的PUND响应。(d) PUND电流的温度依赖性,显示了第一和第二类铁电转变温度。

DOI: 10.1103/PhysRevLett.130.196801
链接:
https://link.aps.org/doi/10.1103/PhysRevLett.130.196801
免责声明:本文旨在传递更多科研资讯及分享,所有其他媒、网来源均注明出处,如涉及版权问题,请作者第一时间后台联系,我们将协调进行处理,所有来稿文责自负,两江仅作分享平台。转载请注明出处,如原创内容转载需授权,请联系下方微信号。



