

撰稿|由课题组供稿
针对这一问题,王学锋课题组基于前期丰富的拓扑绝缘体掺杂经验的基础上[Adv. Mater. 27, 4823 (2015); Nanoscale 9, 12372 (2017); ACS Nano 12, 1537 (2018); Adv. Funct. Mater. 29, 1905806 (2019)],最近三年继续发展自助熔剂法,采用钽替位掺杂引入空穴的策略,生长出了不同掺杂浓度Mo1-xTaxTe2单晶(0 ≤ x ≤ 0.26),克服了人们常用的化学气相输运法无法长出高质量单晶的困难。室温拉曼光谱测量表明不同掺杂浓度的样品仍然拥有1T’相结构(图1b)。室温单晶X射线衍射测量表明样品呈现很好的单晶性,所有衍射峰择优c轴取向。放大的(002)衍射峰还出现了双峰特点,这表明所制备的单晶样品质量极高,能够被X射线的精细结构所分辨;同时还可以观察到衍射峰随着掺杂浓度的增加而向高角度偏移,表明了晶格层间距的减小,由于替位掺杂引入了很明显的晶格畸变与化学压力(图1c)。高分辨透射电镜显微照片与选区电子衍射图案也都进一步确认了Ta掺杂MoTe2的1T’相与单晶特征(图1d)。
图1. Mo1-xTaxTe2单晶的结构表征结果。
从样品的电学输运测量曲线(图2a)可以看到在低掺杂样品中(x ≤ 0.08)升温和降温曲线出现了变温电阻曲线的明显回滞,这通常是由MoTe2中的低温Td相与高温1T’相之间的结构相变所致。随着掺杂浓度大于或等于0.15,低温的Td相会被完全压制而不呈现电阻回滞。而在低温区,可以观察到x ≥ 0.08的样品低温电阻骤降突变(图2b),预示着超导迹象,但还没完全到零电阻,这归因于超导体积占比过低(~1.4%)的情况。通过进一步的抗磁性测量,能观察到很明显的迈斯纳效应,证明其低温电阻的骤降突变来源于超导相变(图2c)。基于以上的MoTe2随掺杂浓度变化的结构相变和超导相变结果,勾画出了如图2d所示的半拱形相图。
图2. 确定Mo1-xTaxTe2中的Td-1T’结构相变和超导相变。
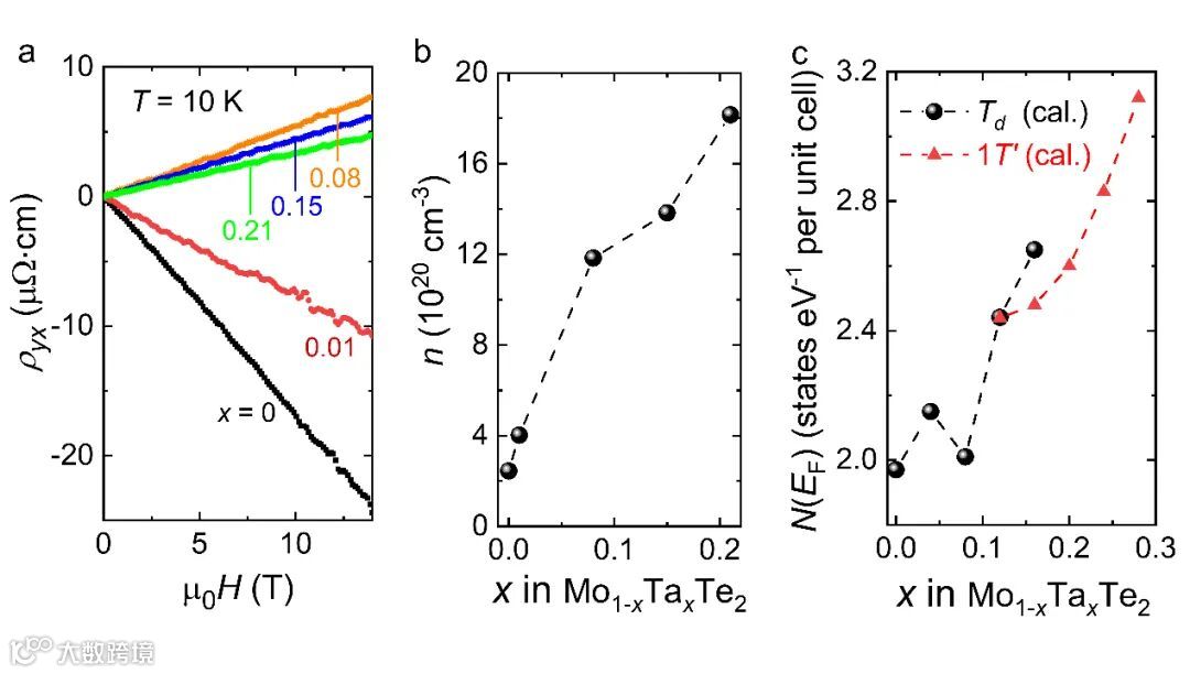
为了进一步揭示Ta掺杂MoTe2单晶中超导增强的来源,器件霍尔测量和第一性原理计算均给出了合理的解释。通过分析霍尔测量数据,发现参与输运的载流子浓度随着Ta掺杂浓度的增加而提高,从未掺杂至掺杂浓度x = 0.21,载流子浓度几乎提高了一个数量级(图3b)。这说明Mo1-xTaxTe2单晶中超导性能的提高来源于费米面处载流子浓度的巨大提升。第一性原理计算也从能带结构上给出了和实验测量上类似的结果,也就是说Ta替位掺杂能显著提高费米面处的态密度(图3c)。
Mo1-xTaxTe2单晶在掺杂浓度x = 0.22时超导转变温度提高到了7.5 K,这是常压下所见文献报道的最高值,非常接近于高压下的超导极限转变温度(8.2 K),从而大大拓展了研究拓扑超导的温度范围。通过如上低温下的霍尔电阻测量和理论计算,发现Ta原子的替位掺杂不仅施加晶格畸变与化学压力,而且引入了空穴掺杂,极大地下移了费米面,促成了费米面附近载流子浓度的显著增大,这也成为该体系超导转变温度显著提高的最可能解释。同时,掺杂量的提高也让该体系在低温区出现了Td-1T’相的结构相变,低温拉曼测量结果也确证了该结构基态的转变。此外,在进行了电输运测量后,从磁输运测量中也发现了结构依赖的垂直上临界场行为,并通过两带拟合与单带拟合详细分析了其对温度的依赖关系。在1T’相晶体中心对称的结构中,上临界磁场在泡利顺磁极限以下,符合常规的s波配对机制;但在拓扑外尔半金属Td相晶体非中心对称的结构中,却发现上临界磁场显著超越了泡利极限,提高至14.5 T,这可能归因于Td相的中心反演对称性破缺导致了额外的自旋三重态(即两个电子自旋取向一致)的出现,正是这种奇异的混合“单重态-三重态”超导提高了垂直上临界磁场的强度。该项研究对在层状过渡金属硫族化合物中研究常压下的非常规超导和拓扑物理奠定了重要基础,也为研制新型拓扑量子器件提供了材料平台。
南京大学王学锋教授、宋凤麒教授、费付聪副研究员和中科院宁波材料所钟志诚研究员为该论文的共同通讯作者。南京大学电子科学与工程学院博士生张勇为论文的第一作者。南京大学张荣教授对该工作给予了重要指导。南京大学奚啸翔教授、吴小山教授、吴镝教授等对该工作提供了大力支持和重要帮助。南京大学为论文第一完成单位。该项研究工作得到了国家自然科学基金、科技部国家重点研发计划、中央高校基本科研业务费和中科院前沿科学重点研究计划等项目的资助。
文章链接:

https://doi.org/10.1002/adma.202207841
免责声明:本文旨在传递更多科研资讯及分享,所有其他媒、网来源均注明出处,如涉及版权问题,请作者第一时间后台联系,我们将协调进行处理,所有来稿文责自负,两江仅作分享平台。转载请注明出处,如原创内容转载需授权,请联系下方微信号。



