

撰稿|由课题组供稿
近日,浙江科技学院青年教师俞昕宁、徐弼军教授、汪小刚教授与山西大学博士研究生李亚鑫、张磊教授、陈君教授以及复旦大学林志方教授、香港科技大学陈子亭教授合作,在倏逝场的横向光力研究方面取得重要进展。解析证明了任意尺寸和材料的球粒在倏逝场中所受横向光力只与横向自旋及横向Belinfante自旋动量有关,并首次发现当倏逝场的自旋角动量满足自旋-动量锁定效应时,横向光力仅与横向自旋有关。相关成果以“Anomalous lateral optical force as a manifestation of the optical transverse spin”为题发表于Laser & Photonics Reviews。审稿人对本工作给予了极高的评价,认为本工作为光学微操控领域提供了非常系统而扎实的理论贡献,并且两位审稿人均将本工作的重要性评为“杰出-该主题领域的前5%” (Outstanding - Top 5% in the subject area)。
浙江科技学院青年教师俞昕宁为第一作者,山西大学张磊教授和陈君教授为论文共同通讯作者。该工作得到了国家自然科学基金委员会、国家重点研发计划、香港AoE项目、裘槎基金、山西省基础研究计划等项目的支持。
十九世纪以来,随着麦克斯韦方程的建立,人们知道光可以携带线动量和角动量,并具备平动自由度(光力)和转动自由度(光力矩)。20世纪70年代以来,美国科学家A. Ashkin基于光力发展的光学微操控技术已广泛应用于物理、化学和生物等领域,尤其在操控各类生物物质方面。光镊因其无机械接触、低成本和高精度等优势给生命科学带来了一场革命(2018年诺贝尔物理学奖成果之一)。
相比沿动量方向的辐射压力,近几年在垂直于动量方向的横向光力的发现为光学微操控技术的应用拓展了新的维度。即使光场和粒子均满足横向对称,仍有可能引起横向光力,从而引起了研究者们的广泛兴趣。对于倏逝场中的各向同性球粒,F. Nori等学者利用偶极模型发现横向Belinfante自旋动量可以诱导横向光力(Nat. Commun., 5, 3300 (2014))。这个结论是否适用于更大尺寸的粒子,例如实验中常用的Mie粒子?是否还有其它产生横向光力的机制呢?
为了清晰阐明横向光力的物理机制,我们发展了一套适用于任意尺寸粒子的多极展开法,建立了横向光力与电磁场的直接关系。
(1)基于多极展开法,发现任意尺寸球粒在倏逝场中所受光力与四类电磁场量有关,即:能量密度梯度∇w、轨道动量密度po、Belinfante自旋动量密度ps以及自旋角动量密度s。其中,前两类场量∇w和po分别诱导梯度力和辐射压力,在倏逝场中分别沿倏逝方向z和传播方向y,而与横向x无关。后两类场量ps和s诱导横向光力Fx,如图1所示。

图1 (a)倏逝场的自旋在庞加莱偏振球面的分布情况示意图;(b)当倏逝场仅携带纯横向自旋时(s=[s]x =st,(a)图中绿圈),横向光力Fx正比于横向自旋s;(c)改变传播方向,因自旋动量锁定效应,Fx随着横向自旋的反向而反向;(d)当倏逝场同时携带横向自旋和纵向自旋时(对应(a)图中红圈),此时Fx正比于横向Belinfante自旋动量[ps]x。
(2)当倏逝场的自旋s满足自旋动量锁定条件,此时s=[s]x=st,横向Belinfante自旋动量[ps]x=0,从而横向光力正比于[s]x=st=∇×p/2k2,具体形式如下:

其中,al和bl为Mie系数。因此,通过改变动量p的方向就能改变横向自旋方向,从而改变横向光力方向,如图1(b)和1(c)所示。
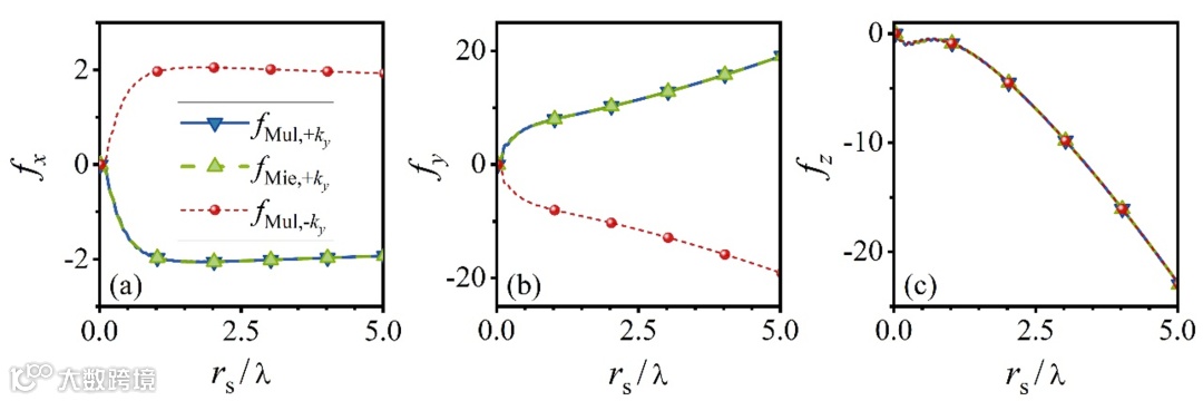
我们数值计算了携带纯横向自旋的倏逝波照射至金球产生的光力。由图2可知我们的解析式计算结果与Mie理论结果完全一致,且改变传播方向确实引起了横向光力的翻转。此外,当半径rs=0.76λ时,横向光力与总力的比值|fx|/|f|可达24.5%,意味着横向光力可以很容易被实验观测。在fx/|f|与半径rs及波数分量κz=-i kz的关系相图中,我们发现横向光力在总光力中的占比能在很大参量范围内大于20%(图3,红色区域),这进一步展示了由横向自旋引起的横向光力易被实验探测。

图2 纯横自旋倏逝场中金球的约化光力分量(a) fx,(b) fy和(c) fz与球半径的关系。绿色曲线表示Mie理论计算结果,蓝色曲线表示我们的解析计算结果,红色曲线则对应由解析式计算的反向传播结果。

图3 横向光力在总光力中的占比fx/|f|与半径rs及波数分量κz的关系图像,图中红色区域代表fx/|f|大于20%。
(3)当倏逝场满足Re(p*q)=0,即自旋s同时包含横向自旋st和纵向自旋sl时(对应图1(a)中庞加莱偏振球的红圈),此时横向光力正比于横向Belinfante自旋动量[ps]x,具体形式如下:

当l=1,a2=b2=0时,上式退化为偶极模型的结论(Nat. Commun., 5, 3300 (2014))。
在图4中,我们采用上式计算了横向光力及其电、磁和混合分量,并与Mie理论结果对比,结果一致。而偶极模型只在半径小于0.1λ的范围内(图4黑圈内)才与Mie理论一致,且此时fx的混合分量远大于电和磁分量。随着半径的增加,fx的电分量和磁分量增加,当半径大于0.3λ时超过混合分量。我们的解析结果适用于任意尺寸和材料的粒子,这也解释了为什么之前的实验工作(Nat. Phys. 12, 731 (2016))选取的粒子尺寸已远大于偶极子范围,仍测得横向光力正比于横向Belinfante自旋动量[ps]x。

图4 同时携带横向和纵向自旋的倏逝光场中金球的横向受力fx。绿色曲线由Mie理论计算得到,蓝色曲线由我们的解析式计算得到(上标e,m,x分别代表fx的电,磁,混合分量),红色曲线由偶极模型计算得到。
基于多极展开理论,我们在倏逝场中建立了横向光力与自旋和动量之间的一般关系,该关系适用于任意大小和材料的各向同性非手性粒子。本工作严格证明,当倏逝场携带纯横向自旋时,可以诱发与光横向自旋成比例的横向光力。而倏逝场同时携带横向自旋和纵向自旋时,则可以诱发与横向Belinfante自旋动量成比例的横向光力。我们的发现不仅扩展了对横向光力的物理理解和潜在应用,还将激发人们在其它经典波系统中寻找类似机制的兴趣。因此,我们相信这项工作未来可能在光学微操控、拓扑光子学、自旋光子学等研究领域和生物物理交叉等领域产生广泛影响。
文章信息

该研究工作于2023年5月28日以“Anomalous Lateral Optical Force as a Manifestation of the Optical Transverse Spin”为题在线发表在Laser & Photonics Reviews上(DOI:10.1002/lpor.202300212)。
https://doi.org/10.1002/lpor.202300212

