
今天我们继续为大家带来本周的超材料前沿研究精选,内容涉及用于折叠平面光学器件的离轴元表面,磁场对二阶非厄米趋肤效应的增强作用,低频、多频带弹性波调控的多模态3D拓扑超构材料等敬请期待!
索引:
1 用于折叠平面光学器件的离轴元表面
2 环形偶极子BIC驱动的石墨烯负载超表面的高度稳健完美吸收
3 磁场对二阶非厄米趋肤效应的增强作用
4 低频、多频带弹性波调控的多模态3D拓扑超构材料的发现与实验实现
5 利用形状记忆聚合物实现模块化可编程手性力学超构材料的4D打印
1 用于折叠平面光学器件的离轴元表面
光学系统的整体尺寸受到元件体积和内部光路长度的限制。为了达到微型化的极限,可以通过结合元表面平面光学和折叠光学的概念来减少元件体积和路径长度。元表面除了具有亚波长元件厚度外,还能使传统折叠几何结构在轴外弯曲,超越反射定律。然而,要设计出结合高数值孔径的可见光高度离轴照明的元表面并非易事。在这种情况下,传统的梯度元表面设计显示出较低的衍射效率,并且需要使用深亚波长、高指数和高宽比的半导体纳米结构,这就排除了廉价的大面积纳米制造的可能性。在此,研究团队介绍了一种设计方法,该方法可将低指数(n ≈ 1.5)、低谱比结构用于离轴元镜,从而以接近统一的效率重新定向和聚焦可见光(λ = 532 nm)。研究团队的研究表明,所制造的光学元件具有非常大的视角(110°),并可通过纳米压印光刻技术进行规模化制造。
微型化最具挑战性的部分可能是光学元件之间的开放空间。这需要依赖动量的传递函数,而这只能通过非局部元表面来实现,元表面的离轴照明可在空间上分离四阶路径,从而大大提高成像系统的光学对比度。要实现这一目标,需要元表面能在大离轴入射角和衍射角的反射模式下有效工作。近日,斯坦福大学Mark L. Brongersma团队提出了一种新设计方法,可以使用低指数(n≈1.5),低宽高比结构的离轴对称元聚合器,可以以接近统一的效率重定向和聚焦可见光(λ = 532 nm)。展示了制造的光学元件提供了一个非常大的视角(110°),并通过纳米压印光刻使其可扩展制造。相关研究成果以“Off-axis metasurfaces for folded flat optics”为题发表在《Nature Communications》上。(郑佳慧)

文章链接:
https://doi.org/10.1038/s41467-023-41123-x
2 环形偶极子 BIC 驱动的石墨烯负载超表面的高度稳健完美吸收
自Novoselov等人首次发现石墨烯以来,二维(2D)材料由于其高载流子迁移率、高热导率等优异的性能,已在各种光电和电子设备中实现多种应用,如光电探测器、宽带偏振器和完美吸收体等。然而,由于其原子级薄的厚度,所有少层2D材料固有的超低光吸收(例如,单层石墨烯的2.3%吸收)严重限制了其在各个领域的潜在应用。
近日,中国科学院上海技术物理研究所李冠海研究员和华东师范大学黄陆军研究员团队,提出了一种结构参数偏差免疫方法,通过利用连续介质中的环形偶极束缚态(TD BIC)来实现任何所需波长的完美吸收。作者通过实验展示了单层石墨烯负载复合光栅结构的通用设计。这种基于TE31模式的TD BIC允许在不破坏结构对称性的情况下从BIC过渡到准BIC,从而实现稳定的共振波长,同时通过改变间隙距离来调整品质因子。与传统文献的对比进一步揭示了该方法在实现高鲁棒完美吸收方面的优势,其波长稳定比>15。该研究结果可能会在基于2D材料的光电器件中找到有前景的应用,如光电探测器、传感器和滤波器。(刘帅)相关工作发表在《Nano Letters》上。

文章链接:
https://doi.org/10.1021/acs.nanolett.3c02958
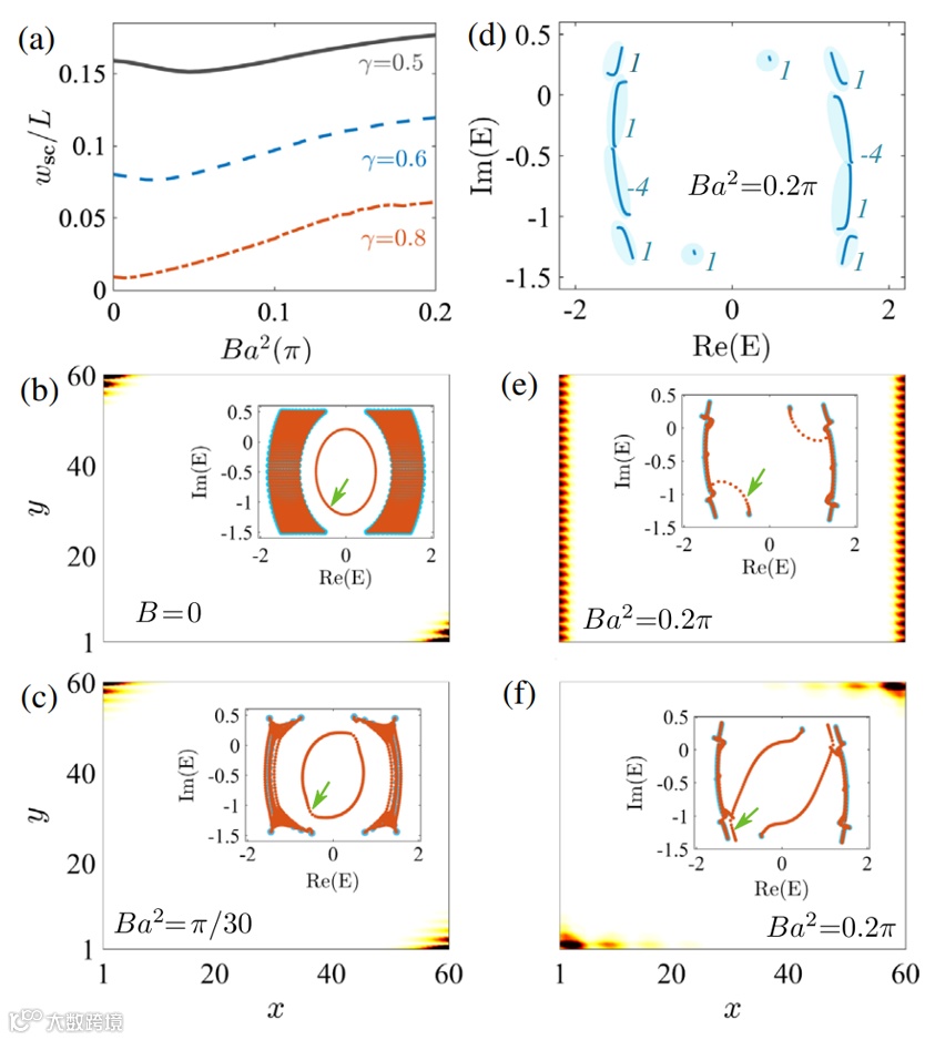
3 磁场对二阶非厄米趋肤效应的增强作用
非厄米物理学出现在量子光学、超冷原子和凝聚态等各种物理系统中。近年来,许多在厄米系统内没有对应物的独特非厄米现象被揭示出来。其中一个典型的例子是非厄米趋肤效应(NHSE),指的是非厄米系统中本征态异常地局域在开放边界处,这种有趣的现象引发了理论和实验上强烈的研究兴趣。在传统(一阶)NHSE中,趋肤模式局域在(d−1)或更低维度的边界,它们的数量与体积Ld成比例,其中d和L分别是系统的维度和线性尺寸。最近,NHSE已被推广到更高阶,并对几何形状有一定的限制,其中趋肤模式局域到(d−n)或更低维度的边界,其数量与Ld−n成比例(2⩽n⩽d)。值得注意的是,二阶趋肤效应(SOSE)已在多个晶格模型中进行了预测,并在多个实验平台中得到了实现。
在均匀磁场存在的情况下,带电粒子由于在垂直于磁场的平面中回旋运动而表现出局域化行为。与NHSE相比,磁场倾向于将大部分粒子局域在系统的体内。因此,研究NHSE和磁场的共存是很有趣的。到目前为止,研究工作主要致力于一阶趋肤效应(FOSE),由于局域化的竞争趋势,即使是小磁场也会显着抑制FOSE。然而,高阶NHSE并不会被磁场抑制。
近日,中国科学技术大学、苏黎世大学的张松波研究员与维尔茨堡大学合作研究了磁场对SOSE的影响。他们发现SOSE并没有被磁场抑制,而是被磁场增强,SOSE甚至可以在平庸的非厄米系统中通过磁场来产生。他们通过复能谱的拓扑特性解释了这种异常行为,并证明了几个具有线带隙或点带隙拓扑的典型非厄米模型的SOSE结果。在后一种情况下,他们进一步展示了磁场驱动的从FOSE和SOSE共存的混合趋肤效应到纯SOSE的转变。最后,他们讨论了可行的实验平台。相关工作发表于《Physical Review Letters》上。(张甜)

文章链接:
https://doi.org/10.1103/PhysRevLett.131.116601
4 低频、多频带弹性波调控的多模态3D拓扑超构材料的发现与实验实现
拓扑相被用于通过不受局部扰动影响的导电态实现量子系统中鲁棒的电子传输。最近,拓扑相被集成到弹性(即机械)超构材料的合成中,促进了对机械系统中弹性波所包含的能量和信息流的非凡控制。这些所谓的拓扑超构材料能够通过局部拓扑态实现低损耗传输和弹性波的任意定向操纵,而局部拓扑态在存在结构缺陷或无序的情况下可避免不必要的散射。拓扑超构材料的卓越性能和鲁棒性已被用于提高振动能量收集器和机械信息处理器等技术应用的性能,此外还激发了对其在片上设备和弹性天线中潜在应用的研究。最初关于拓扑超构材料的研究主要集中在对1D机械结构中的0D拓扑态和2D机械结构中的1D拓扑态的理论预测和实验验证。虽然3D拓扑力学超构材料已经显示出超越1D和2D超构材料的潜力,但研究空白阻碍了它们在实践中的成功实现。尽管有大量的理论研究,但由于复杂的3D机械结构的制造和测试方面的挑战,在3D拓扑超构材料中弹性波控制的实验证据很少。此外,尽管先前的研究证明了2D拓扑超构材料的多频带操作,但迄今为止建立的3D拓扑超构材料仅限于在单一频带内发挥作用。
近日,美国密歇根大学K. W. Wang教授团队设计并在实验上实现了一种3D拓扑超构材料,利用多模态局部共振实现了多个不同频段的低频弹性波控制,从而推动了该技术的发展。所提出的超构材料经过几何配置,可产生多模态局部谐振器,其频率特性可控制四种独特的低频拓扑状态的出现。数值模拟揭示了如何利用这些拓扑态在3D结构中实现偏振、频率和层数依赖的波操控。实验研究结果在物理测试平台上获得了完整的波场,说明了2D拓扑波导和多极化波的控制。这项工作的结果将有助于未来对3D拓扑力学超构材料的研究,并揭示所提出的超构材料在波浪控制应用中的适用性。相关研究发表在《Advanced Science》上。(徐锐)
文章链接:
DORIN P, KHAN M, WANG K W. Uncovering and Experimental Realization of Multimodal 3D Topological Metamaterials for Low-Frequency and Multiband Elastic Wave Control[J]. Adv Sci (Weinh), 2023: e2304793.
https://doi.org/10.1002/advs.202304793
5 利用形状记忆聚合物实现模块化可编程手性力学超构材料的4D打印
随着对力学超构材料的深入研究,通过对结构进行拓扑设计,成功实现了错配诱导的形状变形、弹性不稳定性、折纸和剪纸结构。手性是指物体不能与其镜像重合,常见于自然界,如DNA、人类的左右手等,已被广泛应用于周期性蜂窝的设计,以实现负泊松比特性。通过合理地将刺激响应材料嵌入结构中,力学超构材料可以主动变形以响应外部环境,如溶胀、热和其他物理场。因此,这些主动力学超构材料的结构性能变得可调。沿着这条路线,人们在尺寸提升(从2D到3D,从3D到4D)、可重构性和多功能性方面对各种力学超构材料进行了探索。形状记忆聚合物(SMP)为力学超构材料提供了方便的自锁机制。由于增材制造技术的飞速发展,多材料打印已成为制造材料异质性的常用方法,并以此作为产生应变和材料特性不匹配的起点。然而,在大规模力学超构材料的多材料打印过程中,如何在成本和质量之间取得平衡是一项挑战,因为打印结构的规模基本上取决于机器的体积。解决这一问题的另一种方法是模块化设计,即把整体结构分解为基本模块单元和连接组件。
近日,浙江大学尹俊研究员、钱劲教授团队开发出了具有可调泊松比和形状变态转移结构的超构材料,方法是利用空间异质网格的协同变形,根据编码的泊松响应进行局部收缩或膨胀。通过在基本单元中使用SMP,释放玻璃化转变点以上的内部应力,可以暂时锁定压缩后的形状。通过数字光处理(DLP)打印技术获得了具有手性响应的活性双材料模块,并将其作为后续组装的基本单元。工作的模块化策略可以很容易地擦除和重写材料异质性,以定义局部手性和各向同性/各向异性的尺寸变化,从而实现按需重编程,而无需重新打印整个结构。整合组装创造了几种形状变形的超构材料,从平面结构转移到目标的鞍形或穹顶结构。具有不同变形模式的手性超结构组装成了一个无系绳多模式软抓手,能够拧开由模块级编程功能赋予的瓶盖。本模块化手性超构材料具有嵌入式手性和灵活的可部署性,可促进力学超构材料在主动形状变换结构和功能性软机器中的应用。相关研究发表在《Advanced Functional Materials》上。(徐锐)

文章链接:
WU Y, HAN Y, WEI Z, XIE Y, YIN J, QIAN J. 4D Printing of Chiral Mechanical Metamaterials with Modular Programmability using Shape Memory Polymer[J]. Advanced Functional Materials, 2023.
https://doi.org/10.1002/adfm.202306442
免责声明:本文旨在传递更多科研资讯及分享,所有其他媒、网来源均注明出处,如涉及版权问题,请作者第一时间后台联系,我们将协调进行处理(按照法规支付稿费或立即删除),所有来稿文责自负,两江仅作分享平台。转载请注明出处,如原创内容转载需授权,请联系下方微信号。


