

撰稿|由课题组供稿

近日,宁波大学信息科学与工程学院钟硕敏副教授和德国卡尔斯鲁厄理工学院王旭辰博士以及芬兰阿尔托大学Sergei A. Tretyakov教授合作,在相干光调控超表面领域取得了重要进展。该工作系统地提出针对任意入射角组合实现相干完美吸收的基于超表面的实现方法,并通过激发单向传播的倏逝模,成功抑制多余的寄生反射模,在相位反向情况下实现单方向完美反射。该成果证明超表面在任意相干光调控中具有重要的发展前景。相关研究成果以”Coherent Control of Wave Beams Via Unidirectional Evanescent Modes Excitation”发表于 Advanced Functional Materials上,其中,钟硕敏副教授为第一作者及通讯作者,王旭辰博士为共同通讯作者。
波束相干调控在光开光,光计算等超快光学器件中有重要的研究价值。其中,相干完美吸收(Coherent perfect absorption,CPA)是一个重要的研究方向。传统的CPA只局限于当两束相干光以镜面对称的角度入射到均匀吸收表面上,且两波束相位和幅度均要求相等,大大限制了其对任意波束的相干调控性能。从理论及应用的角度来看,对于同侧任意多波束的反射的相干调控具有重要的研究价值,同时也面临巨大的挑战。
超表面具有对波束散射进行多功能自由调控的强大能力。以往的研究局限在单一角度入射波的调控,例如完美异常反射,异常透射等,缺少对多个角度同时入射的波束调控的研究。尤其当对相干性能有功能要求时,传统的相位梯度超表面难以达到完美相干调控目标。本研究通过散射场逆向设计超表面阻抗,实现了对任意角度双波束的完美相干吸收和相干反射功能。
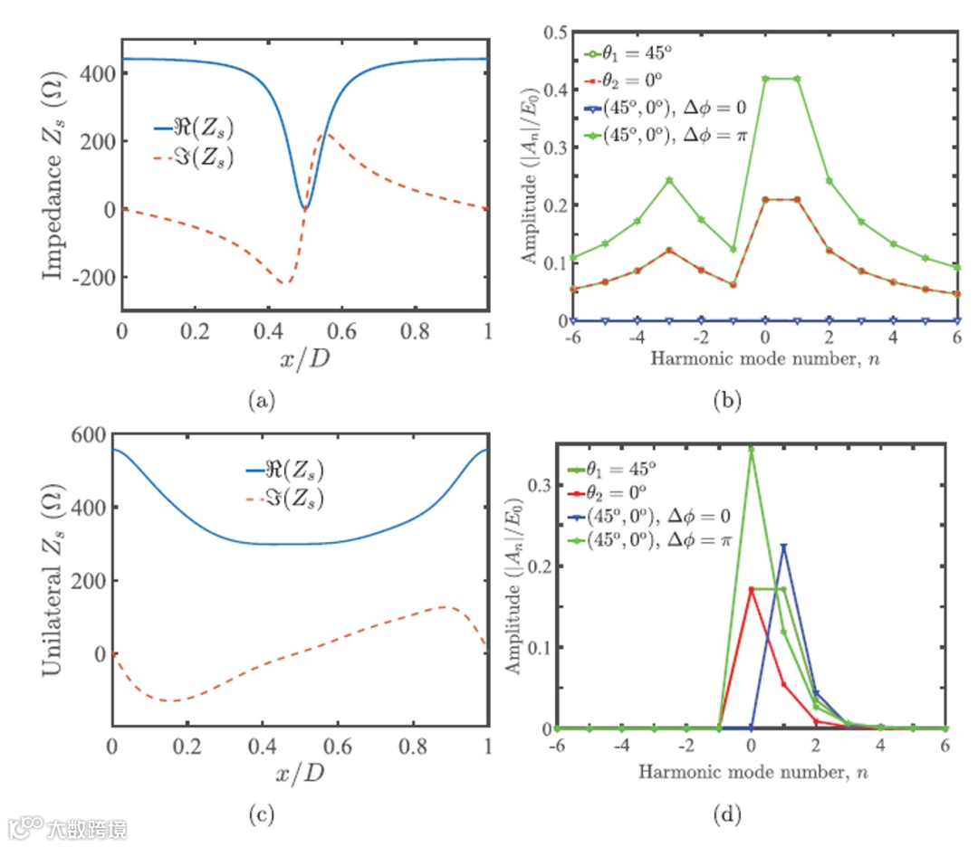
采用超表面阻抗的逆向设计方法,实现完美相干超表面,并揭示通过激发单方向表面倏逝模可以抑制寄生反射。通过入射场与目标散射场求出满足边界条件的超表面阻抗分布如图1(a)所示。该超表面的散射模式分布如图1(b)所示,当两入射波束相位差反相时,会出现多个寄生反射传播模。通过在目标散射场中引入单方向表面波,可以使n<0的模式被抑制,从而抑制n=-1,-2的寄生反射。由于表面波将被有损超表面吸收,因此该设置不会破坏CPA效应。将超表面阻抗的傅里叶级数设置为单边非零,可实现单方向的表面波激发。图1(c)则为一种激发单方向表面波的超表面阻抗分布。其所得到的散射模式分布如图1(d)所示, 单波束在45°反射角方向的幅度相等,且为0.1716,而在n<0的模式均为0,因此,当两波束相位差反相时,在45°反射角方向可实现单一方向的反射相加,其幅度为0.3432。

图1. (a)实现正入射和45°入射波的CPA的超表面阻抗解析值; (b)单波束入射,两波束同时入射(相位相同和相反)时,超表面的反射谐波分布;(c)在散射波中引入单方向倏逝模求解出的超表面阻抗解析值;(d)图(c)所示超表面在以上四种入射情况下的反射谐波分布。
引入介质层实现最优反射效率。由于单层的非穿透式超表面在实现CPA时,对应的反相时的反射波束的归一化幅度仅为0.3432(对应的反射效率仅为11.78%)。为实现最大反射效率,如图2所示,通过引入相应厚度的介质层这一自由度,可以实现这一目标。通过理论计算,可得出在无源要求下,反射幅度的极限值为1.022。当考虑介质层时,难以通过解析公式求解出超表面阻抗,需要通过优化方法寻找最优解,得到最佳的阻抗表面分布如图3(a)所示,介质厚度为0.2525λ (介电常数为5.8)。如图3(b)所示,该超表面对0°和45°入射波,均仅在45°反射方向(n=0)上存在反射波,且两反射模幅度相等。因此,当两入射波束同相时,反射波反相相消,实现CPA;当两入射波束反相时,反射波同相增强,实现单方向最大反射CMR。图3(c)和图3(d)的全波仿真结果验证了该超表面的相干调控功能。

图2. 两束相位差为Δφ的相干波束同时入射到超表面,实现单一反射波束的相干调制的3D示意图。超表面为金属-介质-金属叠层结构,通过调制相位差Δφ,可实现相干完美吸收(CPA)和相干最大反射(CMR)的切换。

图3. (a)优化的超表面阻抗分布曲线, (b) 超表面对于单波束和两相干波束同时入射(0°和45°)四种情况下的散射模幅度分布,(c) 3个传播模式(n=0,-1,-2)的幅度随相位差变化的曲线图,(d) 两入射波同相和反相时的归一化散射电场分布图,分别对应CPA和CMR两种状态。
研究团队通过对任意入射相干光的场分布逆向求解出满足完美相干吸收的超表面阻抗分布。此外,发现通过在总散射场中引入单方向的表面倏逝模,在不影响完美吸收状态的情况下,可以抑制当控制波束相位反向时出现的寄生反射波,也即实现单方向的相干反射。为实现最大的相干反射输出效率,研究者引入了介质基底,并采用优化算法对基底厚度和超表面阻抗参数进行了优化设计。最终,通过设计基于氧化铟锡的渐变单元,实现阻抗渐变的超表面,成功进行了微波段的实验验证。
本研究所提出的基于超表面对同侧任意相干波束进行完美吸收和反射调控的理论方法,可以适用于任意电磁频段,且可拓展至任意多波束的相干调控,在单侧检测和传感、低插损光开光、全光计算,以及雷达散射截面调控等领域有重要的应用前景。
论文信息
该工作得到了国家留学基金委,浙江省自然科学基金,宁波市基金等项目的支持,宁波大学信息科学与工程学院为第一完成单位, 宁波大学未来无线研究院提供测试设备等支持。

https://onlinelibrary.wiley.com/doi/10.1002/adfm.202304300


