
文章来源:中国物理B
封面文章
Electronic states of domain walls in commensurate charge density wave ground state and mosaic phase in 1T-TaS2
Yan Li(李彦), Yao Xiao(肖遥), Qi Zheng(郑琦), Xiao Lin(林晓), Li Huang(黄立), and Hong-Jun Gao(高鸿钧)
Chin. Phys. B, 2023, 32 (7): 077101
文章亮点介绍
1T-TaS2中的畴壁对材料的电子性能影响很大,对畴壁电子态的研究一直是该领域的重要方向之一。1T-TaS2畴壁上的电子关联强度显著降低,是研究电荷密度波与关联电子之间的相互作用的理想对象。大量的实验和理论研究表明,不同原子结构的畴壁具有从绝缘态到导电态的不同电子态;处于不同畴壁密度的具有相同原子结构的畴壁也有不同的电子态。例如,当畴壁密度显著增加时,1T-TaS2从公度电荷密度波(CCDW)-莫特绝缘体相转变为金属态;在CCDW相,通过在针尖施加电压脉冲可以产生高密度的畴壁,从而产生金属态的马赛克相。因此,畴壁的电子态不仅与原子结构有关,还与畴壁的密度相关。这一复杂性阻碍了对畴壁中电子态的理解,因此需要对不同密度下多种类型的畴壁进行更深入的研究。
本文研究了1T-TaS2中不密度的畴壁上的电子态,对大面积CCDW畴之间、大CCDW畴与小CCDW畴之间和马赛克相的畴壁进行了扫描隧道显微谱(STS)测量。我们发现,对于大面积CCDW畴之间的畴壁上和畴壁边,其STS呈V形,且在费米面处没有电子态。对于介于大小CCDW畴之间的畴壁边,其费米面处存在电子态,表明其处于金属态,而其畴壁则保持绝缘态。对于处于马赛克相的畴壁,其与畴内的电子态趋于相同,可以为金属态或绝缘态。我们的工作有助于进一步理解1T-TaS2中CCDW与关联电子之间的相互作用。
原文链接
Fig. 4. STM image and STS on DWs in a mosaic region in 1T-TaS2. (a) STM image of mosaic domains separated by dense DWs. The black dashed lines show the edges of the domains. The types of DWs are marked in the figure. The colorful circles show the positions where the dI/dV spectra were taken. (b) dI/dV spectra taken in domains (light blue and dark blue), DW1 (green), DW2,8 (red) and DW4 (purple). The horizontal dashed lines represent zero spectral weight of each STS, while the vertical dotted orange lines mark peaks shared by several STS. The STS curves are vertically shifted for clarity.
亮点文章
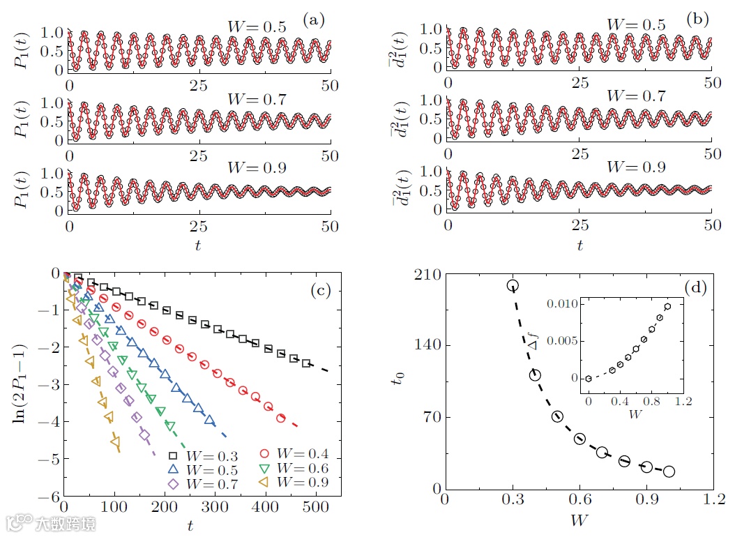
Periodic electron oscillation in coupled two-dimensional lattices
Yan-Yan Lu(陆艳艳), Chao Wang(王超), Jin-Yi Jiang(将金益), Jie Liu(刘洁), and Jian-Xin Zhong(钟建新)
Chin. Phys. B, 2023, 32 (7): 070306
文章亮点介绍
在原子尺度上实现电子周期振荡对发展量子调控、量子信息、量子精密测量等量子技术具有重要的科学意义和应用价值。20世纪30年代,著名物理学家布洛赫发现,处于晶体周期性势场中的电子在被恒定电场加速时,会在布里渊区边缘发生布拉格反射,产生周期振荡,其振幅为B/eF,周期为h/eFd,其中B,F,e,h,d分别为能带宽度、电场强度、基本电荷、普朗克常数和晶格周期。20世纪60年代,瓦尼尔和斯塔克进一步发现,恒定电场使得晶体中的电子态不再是延展态,而是形成等能级步长分布且被约束在一定空间区域的瓦尼尔-斯塔克局域态,导致电子产生布洛赫振荡。由于实际晶体材料中的电子在皮秒内失去相干性,且其驱动电场受到材料击穿电场强度的限制,布洛赫振荡一直难于在原子尺度上实现。由于半导体超晶格能够极大地扩大晶格周期,使得电子振荡周期小于退相干时间,布洛赫振荡终于在提出来60多年后在半导体超晶格中得以实现。但是,如何在原子尺度上实现频率更高的电子周期振荡仍然是极具挑战的科学问题。
本文通过研究镜面对称二维耦合晶格中的电子动力学性质,发现一类由层间耦合作用导致的新型电子周期振荡。作者从理论上证明,二维耦合正方晶格中的电子量子扩散在横向和纵向方向均呈现出周期性振荡,其振荡周期为h/2U,由普朗克常数h和层间耦合跳跃能U决定。数值计算结果表明,当二维耦合晶格存在无序干扰时,电子呈现类似经典欠阻尼振荡的量子阻尼振荡行为,其振幅衰减时间与无序强度平方成反比,而频率变化与无序强度平方成正比。我们进一步研究了双层和三层耦合的AA堆叠石墨烯系统,发现耦合周期振荡和量子阻尼周期振荡具有普适性,与晶格几何形状无关。
本文提出的二维耦合电子周期振荡不同于由电场驱动的经典布洛赫振荡,主要体现在四个方面。其一,耦合振荡无需外加电场,振荡仅由耦合跳跃能决定,可通过选择不同种类二维晶体和人工调节层间耦合来实现频率调控;其二,耦合振荡具有更短的周期和更高的频率,其周期为飞秒量级,远小于电子在真实材料中的弛豫时间,使得其易于在晶体材料中实现;其三,耦合振荡的空间幅度更具可调控性,其纵向分布由耦合系统的厚度决定,而横向振荡幅度可通过晶格势能进行调控。
原文链接
Fig. 6. Time evolution of wave packet in the coupled bilayer graphene with N = 3844×2, v = 2.7, u = 1, εi∈[-W,W] and different degrees of disorder W. (a) and (b) P1(t) and d21 (t) for W = 0.5, 0.7, 0.9 (open circles) and corresponding fitting results (lines) with t0 = 71.115, 36.112, 21.858 and f = 1.00288, 1.00531, 1.00823, respectively. (c) The plot of the values of ln(2P1-1) versus t for W = 0.3, 0.4, 0.5, 0.6, 0.7, 0.9 (symbols) and corresponding linear fitting results (lines) with t0 = 198.78, 111.3, 71.115, 49.328, 36.111, 21.858, respectively, and P1 is the peak value of P1(t). (d) Values of t0 and f versus W (symbols) and corresponding fitting results (lines) to t0 ~ W-2 and Δf = f - f0 ~ W-2 (inset).
亮点文章
Neural network analytic continuation for Monte Carlo: Improvement by statistical errors
Kai-Wei Sun(孙恺伟) and Fa Wang(王垡)
Chin. Phys. B, 2023, 32 (7): 070705
文章亮点介绍
将关联函数从虚时(虚频)拓展到实时(实频)的解析延拓是很多量子多体计算方法中必不可少的一环,其准确性直接影响到对可观测量的计算精度甚至对物理图像的理解。但是对于数值解析延拓这个非常病态(ill conditioned)的计算问题,目前还没有能够产生高精度结果的确定性算法。已有的最大熵算法、随机解析延拓等概率性算法已经有很多成功的应用,但是仍需要发展适用范围更广泛的数值解析延拓算法。近年来,已经有一些将神经网络方法应用于数值解析延拓的尝试,但是过去的工作大多有一定程度的数据泄露(data leakage)问题,即训练集包含了较多验证集的信息,因此可能并不适用于实际的应用场景。
本文作者在研究神经网络解析延拓(NNAC)的过程中,小心地避免了数据泄露的问题,并且为了更符合实际应用(如处理量子蒙特卡洛数据)的需要,对输入的数据加入了模拟统计误差的随机涨落。本研究发现:为了获得最佳的输出谱函数,训练神经网络时使用的训练集的随机涨落应该具有和真实蒙特卡洛数据的统计误差相同的统计性质,包括随虚时变化的涨落方差、不同虚时处涨落的关联等等,而这些额外信息可以从蒙特卡洛数据中直接得到。
作者测试发现,此神经网络解析延拓方法始终优于常用的最大熵方法(Maxent),在输入数据误差较大的情况下优势尤其明显。作为一个实际应用的例子,作者用量子蒙特卡洛计算了一维自旋1/2反铁磁海森堡链的虚时关联,并用神经网络解析延拓算法得到了其自旋激发谱,得到的结果和基于精确对角化的结果符合的得很好,且明显优于最大熵方法。
本研究提出了一种基于蒙特卡洛中统计误差性质对神经网络解析延拓算法的改进,为神经网络解析延拓应用于实际问题指出了一个重要的发展方向。
原文链接
Fig. 8. Spectra predicted by Maxent and NNAC in the absence of imaginary time mutual correlation. Monte Carlo simulations with the same update steps and measurement steps are performed independently at least 5 times to obtain different spin–spin correlation functions, then NNAC is performed accordingly. The blue solid line in each subfigure represents the averaged spectrum predicted by NNAC from several independently measured correlation functions. The light blue area indicates the range of one standard deviation of the spectrum. Subfigures (a), (b), and (c) correspond to the training process without considering imaginary time mutual correlations, while subfigures (d), (e), and (f) correspond to the training process that considers imaginary time mutual correlations. At the noise levels involved in this figure, the NNAC results are better than those of Maxent. Data of the black dashed line comes from Okamoto et al. [Okamoto S, Alvarez G, Dagotto E and Tohyama T 2018 Phys. Rev. E 97 043308] They use the FTLM method to solve the dynamic structure factor of a one-dimensional Heisenberg chain of length 24.
亮点文章
Temperature-free mass tracking of a levitated nanoparticle
Yuan Tian(田原), Yu Zheng(郑瑜), Lyu-Hang Liu(刘吕航), Guang-Can Guo(郭光灿), and Fang-Wen Sun(孙方稳)
Chin. Phys. B, 2023, 32 (7): 074207
文章亮点介绍
基于真空光力悬浮原理的纳米颗粒质量测量,能够对质量只有飞克级的单个纳米颗粒进行精密的质量测量。然而,已有的光悬浮质量测量方法存在适用气压受限和无法同时测量颗粒温度等缺陷,限制了光悬浮平台测量纳米颗粒质量随温度、气压等实验条件变化等更复杂物态属性变化显现的测量应用。
本文提出了一种基于已知周期力驱动的光悬浮纳米颗粒质量方案。基于该方案,可以在更宽的真空度范围内,实现对光悬浮纳米颗粒的质量与温度的高精度实时监测。作者跟踪了光悬浮二氧化硅纳米颗粒在环境真空度变化下质量、质心运动温度和其他性质的变化。发现当气压降低到某一值以下时,纳米颗粒的质量突然减少。基于对颗粒温度的同步测量结果,发现这种现象很难能用水分子从纳米颗粒表面解吸附的理论模型来解释。本研究有助于对纳米材料性质随温度变化的研究,可用于将热重分析的精度提高到单个纳米颗粒的水平。有利于实现传统热重分析手段无法分辨的纳米颗粒个体差异检测。
原文链接
Fig. 2.Property changes of the optically levitated nanoparticle during the first pressure pump down and venting cycle. (a) Mass m. (b) COM temperature TCOM. (c) Oscillation frequency Ω0/2π. (d) Calibration coefficient c. (e) Electric charge q. The pressure is reduced from 10 mbar to 4×10-3 mbar for the first time after the particle is trapped and then back to 10 mbar. The blue dots represent the pressure drop process and the orange squares represent the pressure rise process. Each data point is obtained from the average of five 20 s segments of the trajectory. The shading represents the standard deviation of the data.
亮点文章
Optimization of large-area YBa2Cu3O7-δ thin films by pulsed laser deposition for planar microwave devices
Pei-Yu Xiong(熊沛雨), Fu-Cong Chen(陈赋聪), Zhong-Pei Feng(冯中沛), Jing-Ting Yang(杨景婷), Yu-Dong Xia(夏钰东), Yue-Feng Yuan(袁跃峰), Xu Wang(王旭), Jie Yuan(袁洁), Yun Wu(吴云), Jing Shi(石兢), and Kui Jin(金魁)
Chin. Phys. B, 2023, 32 (7): 077402
文章亮点介绍
自超导材料出现以来,其极低的微波表面电阻引起了微波器件领域的广泛关注。采用超导材料制备的微波传输线可用于量子比特、微弱信号探测、微波滤波器、放大器、纳米线等。然而,这种材料的微波损耗机制一直未有明确的定论。高温超导材料出现以后,因其较高的超导转变温度使其具有更广阔的应用前景,迅速引起了研究人员的关注。值得注意的是,高温超导材料的微波损耗机制也表现出与常规超导材料不同的特点。研究高温超导材料的微波损耗机制对于更好地理解超导电性和更广泛地应用超导材料具有重要意义。
本文对激光溅射沉积方法(PLD)获得的高温超导YBa2Cu3O7-δ(YBCO)薄膜材料开展了微波响应研究,并展示了优化后的实用化YBCO薄膜结果。研究表明,YBCO薄膜的微波响应与PLD生长方法中的激光能量和生长氧压直接相关,通过控制生长条件,可以有效降低YBCO薄膜的微波损耗水平。这表明YBCO薄膜的微波响应与超导体积分数、薄膜的微结构存在较强的关联性。采用优化后的生长条件制备的大面积YBCO薄膜,具有较高的成膜质量和均匀性,能够满足制备微波器件的需要。
原文链接
Fig. 1. The microwave surface resistance (Rs) characterization of YBCO films deposited at different oxygen pressures. (a), The temperature dependence of the Rs of the YBCO films deposited at different oxygen pressures, measured at 9.4 GHz. (b), The relationship of Rs(T=77 K) of the YBCO films and their growth oxygen pressure.
亮点文章
A novel calculation strategy for optimized prediction of the reduction of electrochemical window at anode
Guochen Sun(孙国宸), Jian Gao(高健), and Hong Li(李泓)
Chin. Phys. B, 2023, 32 (7): 078201
文章亮点介绍
还原侧电化学窗口是描述电池中电解质耐受负极侧低电位的关键参数,与电化学反应热力学、电化学反应动力学、传质动力学息息相关,影响着电池工作寿命与安全性。基于第一性原理的计算是研究有机电解质还原侧电化学窗口的主要方法,然而通常的计算方法难以准确地预测出与实验结果一致的电化学窗口的位置和丰富的电化学信息。本文将溶剂效应、凝聚相效应、电化学动力学模型和负极表面的钝化效应引入计算模型中,将微观模型的计算结果外推到宏观的物质性质上,对碳酸乙烯酯(EC)和碳酸二甲酯(DMC)电解液体系的线性扫描伏安曲线(LSV)进行了计算解析。
基于LSV与计算的结果比对,发现了EC在低于2.6 V (vs. Li+/Li)存在着一种不依赖于锂盐的,且以乙醛和二氧化碳为产物的界面反应机理,得到了气相色谱质谱检测的证实。同时也发现了位于0.3 V (vs. Li+/Li)的EC表观电化学窗口的电位并未达到EC的最低未占据分子能级(LUMO),而是由于EC因溶剂效应导致的热力学不稳定产生的分解产物乙醛覆盖在电极表面形成了钝化作用,直至电位达到了乙醛的LUMO位置,引起乙醛被还原并失去了对EC的钝化,引起反应电流激增。而当有锂盐参与到界面固态电解质中间相(SEI)的生成中,SEI能够屏蔽电极的低电位,使得SEI表面的电位升高,保护电解质不易被分解。因此对于表观电化学窗口的研究需要仔细地探究界面反应动力学和反应产物的影响。本文提出的分析方法为准确预测负极还原侧电化学窗口提出了新的策略。
原文链接
Fig. 1. The schematic relationship between electronic states of cathode, anode, and the normal distribution of Gerischer model, the HOMO of electrolytes, the LUMO of decomposition product, and electrochemical window. EW, IEW, ND, SD, SEI, CEI, Efield, f, λtot, φ0Ox/Red respectively represent the electrochemical window, intrinsic electrochemical window, normal distribution for condensed phase solution, standard deviation, solid electrolyte interphase, cathode-electrolyte interphase, interfacial electric field, Fermi distribution, total reorganization energies, and equilibrium potential of the redox couple.
免责声明:本文旨在传递更多科研资讯及分享,所有其他媒、网来源均注明出处,如涉及版权问题,请作者第一时间后台联系,我们将协调进行处理(按照法规支付稿费或立即删除),所有来稿文责自负,两江仅作分享平台。转载请注明出处,如原创内容转载需授权,请联系下方微信号。


