Learning soft tissue deformation from incremental simulations
论文全称:从增量模拟中学习软组织变形
第一作者单位:伦斯勒理工学院
DOI: 10.1002/mp.17554
✅ 第一层:原文精粹
摘要
背景:正颌手术规划需要快速精准的面部软组织生物力学建模。高效模拟在临床流程中至关重要,外科医生常需多轮方案迭代。现有模拟主要采用有限元方法(FEM),并通过分步增量计算提升收敛性,但显著延长计算时间(单次达30分钟),阻碍临床整合。深度学习(DL)加速方案多采用单步预测或忽略增量时序信息。
目的:探索时空调增建模在面部软组织生物力学模拟中的应用。
方法:基于17例正颌手术患者的增量FEM数据,构建图神经网络(GNN)融合空间特征与时间聚合。
结果:时空增量法实现平均精度0.37mm,耗时1.52s;空间增量法精度0.44mm(耗时1.60s);单步法精度0.41mm(耗时0.05s)。
结论:统计验证时空增量法显著降低平均误差(p=0.025),证实时间信息对增量模拟的关键价值。相较FEM,本方法在保障精度同时大幅加速计算。
结论
本研究成功开发了专用于手术规划的时空增量面部形变模拟方法。提出的DL模型相较传统FEM实现分钟级到秒级的加速,同时保持高精度(0.37mm)。结果显示时空增量法在精度上优于纯空间增量法,强调时空融合对提升增量模拟可靠性的关键作用。尽管单步法速度更快,但在大形变区时空法展现更优的临床适用性。
核心方法总结
采用双分支图神经网络架构:
-
1. 空间编码:6层PhysGNN提取节点特征(邻接矩阵+距离倒数边权重),通过LSTM-注意力机制聚合多阶邻域特征 -
2. 时间聚合:对连续增量步的空间特征进行跨步融合(窗口 =1),输出位移预测 -
3. 训练机制:双重损失函数 同步监督空间预测 及时空预测 -
4. 数据增强:基于形变阈值 将FEM模拟分解为子序列 -
✅ 第二层:全局洞察
研究图景
|
|
|
| 背景 |
|
| 核心问题 |
|
| 解决方案 |
|
| 技术路线 |
|
| 创新点 |
2. LSTM-注意力特征聚合机制 3. 子序列划分策略平衡训练效率与非线性捕捉 |
结构导图
总览表格
|
|
|
|
|
|
|
2. 误差累积效应 3. 计算效率-精度权衡 |
2. 时空调增特征融合 3. 增量序列迭代训练 |
2. 临床级精度验证(0.37mm) 3. 开源实现推进手术规划 |
✅ 第三层:理论基石
核心理论讲解
有限元力学基础
软组织变形满足连续介质力学控制方程:
其中柯西应力 通过本构关系 关联应变 。因材料非线性(如Neo-Hookean模型),需增量求解:
-
1. 加载步分解:总位移 →增量序列 -
2. 每步求解:
为切线刚度矩阵,随形变更新
图神经网络原理
针对FEM非结构化网格(图结构 ):
-
• 节点特征:坐标 + 边界位移 -
• 边特征:权重 -
• 消息传递:
时空聚合通过LSTM-注意力捕捉形变轨迹连续性
关键术语深究
|
|
|
|
| 刚度矩阵 |
|
|
| LSTM-注意力 |
注意力权重 |
|
| 子模拟分割 |
|
|
公式与物理背景
应变能密度函数(超弹性材料):
-
• :右Cauchy-Green张量迹 -
• :变形梯度行列式 -
• :Lamé参数
物理意义:控制组织抵抗体积/形状变化的力学行为,时空DL通过损失函数间接约束能量守恒
直观类比
时空增量模拟 → 登山路径规划
-
• 单步DL:直线攀岩(忽略地形突变风险) -
• 空间增量:独立走每段(不记历史路径) -
• 时空融合:持等高线地图行走(空间地形+历史轨迹协同决策)
✅ 第四层:数理模型与算法逻辑
数学模型拆解
输入表征:
-
• 节点特征: -
• 边权重: (单位:mm⁻¹)
空间编码(PhysGNN):
每层扩大邻域范围(层1:直接邻点 → 层6:6阶邻点)
时间聚合:
同层特征跨时间步融合,维持空间尺度一致性
输出预测:
算法流程
耦合机制
增量协同训练模式:
-
1. 前向数据流: FEM生成增量序列 → DL学习形变映射 -
2. 反馈物理约束: 预测位移更新网格 → 边权重迭代(欧氏距离倒数) -
3. 闭环验证: 终端状态与FEM结果对比(术后面网格 )
✅ 第五层:工程实现与数据流
数据生命周期
数据流详解
-
• 输入端: -
• 数据生成:ABAQUS脚本化批处理(17例双颌手术FEM模拟) -
• 降维处理:节点数50k→3.96k(保留99%几何精度) -
• 数据结构:3D坐标+骨位移向量(非移动节点置零) -
• 特征工程:边权重 编码物理关联性 -
• 训练过程: -
• 优化器:Adam (lr=5e-3) -
• 周期:100 epochs -
• 批处理:全增量序列输入 -
• 硬件:NVIDIA Tesla V100 GPU -
• 验证推理: -
• 精度指标:节点欧氏距离误差(mm) -
• 临床阈值:误差>1mm的节点占比(Wilcoxon检验) -
• 区域分析:8个面部解剖分区(鼻/唇/颏等)
技术栈
|
|
|
|
|
|
|
|
|
|
|
|
|
|
|
✅ 第六层:结果验证与图表解读
图表全解析
图5:误差热力图对比
-
• 目的:视觉化STI与基线模型的空间误差分布 -
• 内容:Subject 11的4种预测结果(单步/空间增量/时空增量/FEM真值),暖色标记高误差区 -
• 结论:STI在颊部/颏区误差显著降低(蓝绿色区域更广) -
• 逻辑支撑:证实时空融合抑制大形变区域误差累积
表2:区域误差统计
-
• 目的:量化不同面部解剖区的精度差异 -
• 内容:8个区域均误(mm)及>1mm节点占比(STI vs 基线) -
• 结论:STI整体均误最低(0.37mm),颊部改善最显著(降0.02-0.04mm) -
• 批判性:下唇区单步法更优(0.31mm)反映线性变形区不需复杂模型
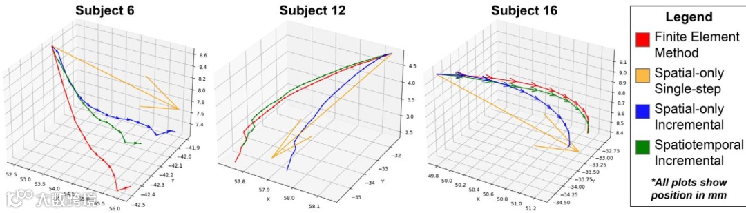
图6:节点位移轨迹
-
• 目的:揭示增量步的预测路径差异 -
• 内容:典型节点的位移矢量序列(FEM真值 vs 三种方法) -
• 结论:STI最贴近FEM非线性轨迹(空间增量法后期偏离) -
• 说服力:直观证明时间聚合的物理合理性
图7:临床超限比例
-
• 目的:评估模型对大形变的鲁棒性 -
• 内容:各受试者最大形变vs>1mm节点%(线性拟合斜率:STI最小) -
• 结论:STI在 >6mm时优势扩大(斜率0.5 vs 基线0.7+) -
• 局限:样本量少(n=17)影响统计效力
✅ 第七层:思维洞察
隐含假设
-
1. 几何线性化假设:降维网格(3.96k节点)保留宏观形变但忽略微观应变集中(影响局部精度) -
2. 材料均匀性:默认面部软组织为连续均匀介质(实际存在脂肪/肌肉层状结构) -
3. 准静态过程:忽略手术动态载荷(如器械交互速率)
精妙处理
-
1. 双损失监督: 约束每步局部精度, 保障全局序列连贯性(防漂移) -
2. 自适应子模拟: 根据形变烈度动态切分子序列(验证 时误差↑15%) -
3. 边权重迭代:位移更新→距离重算→邻接关系刷新(强化物理一致性)
思维转折点
-
• 突破单步局限:识别纯单步DL在大形变下的物理不合理性 → 构建增量链式学习框架 -
• 时间窗优化:实验证实时窗 导致过平滑 → 退化为 (平衡效率与信息量)
影响评估
-
• 贡献:时空聚合使非线性强区域(颏/颊)的临床超限节点↓3.4% -
• 局限:单步法在75%区域满足临床需求,时空法显著优势仅体现于>6mm大形变
✅ 第八层:知识迁移与拓展
可迁移方法论
-
1. 物理约束嵌入:损失函数可扩展为 (如添应力平衡约束) -
2. 增量抗漂移训练:空间分支 作为中间监督 → 抑制长期误差放大
复现与改进路径
复现步骤:
-
1. 安装ABAQUS/PyTorch-Geometric -
2. 数据准备:CT分割→FEM网格生成(预设生物力学参数) -
3. 网络构建: -
• 空间分支:6层RGCN + JK-LSTM -
• 时间分支:6个LSTM-Attn层 -
4. LOOCV训练:17折交叉验证
改进方向:
-
1. 多尺度架构:层次化GNN处理不同空间频率响应 -
2. 本构融合:在损失函数中加入超弹性能量项 -
3. 动态时窗:自适应调整 (如基于形变梯度 )
跨领域应用
-
1. 心血管手术规划:心脏瓣膜位移的增量预测(时空特征捕捉血流期相) -
2. 柔性机器人控制:连续体机械臂形变的实时仿真(增量步对应控制时序) -
3. 地质沉降预测:土层非线性压缩的长期演化建模
📌 本论文的通用知识迁移总结
-
1. 核心范式:增量物理问题的"空间局部编码+时间全局协调"解耦框架 -
2. 算法创新:LSTM-注意力特征聚合优于拼接 -
3. 评价体系:临床导向精度标准(>1mm节点占比) -
4. 工程启示:数据增强通过子模拟提升多样性 → 每例FEM生成9-34训练序列 -
5. 应用边界:单步法在小变形场景仍高效;时空法在>6mm大变形展现优越性




