A novel framework integrating finite element analysis with deep learning for wind turbine gear crack propagation life prediction
-
• 作者单位:新疆农业大学 -
• DOI:https://doi.org/10.1016/j.engfailanal.2025.110513
第一部分:战略叙事层
✅ 第一层:论文总结
"这篇论文发现了一个关于风力涡轮机齿轮裂纹扩展寿命预测的真问题。该问题的核心硬挑战在于传统数值模拟方法(如 FRANC3D)计算开销大(4–5 小时/迭代)、效率低且无法实时支持维护决策。为了攻克这一挑战,作者提出了巧方法——集成有限元建模(FEM)与 CNN-LSTM-KAN 混合网络(增强时间自注意力机制)。该方法取得了强效果(预测误差 ≤ 1%,MAPE 低至 3.81%,耗时从小时级降至毫秒级),最终为我们带来了新见解:物理模拟与数据驱动的深度融合可构建高效、可解释的预测范式,为高价值机械系统维护开辟新路径。"
✅ 第二层:论文拆解
-
1. 真实工程问题: -
• 目标领域:风力涡轮机齿轮箱(清洁能源关键设备)。 -
• 痛点描述:齿轮齿根疲劳裂纹导致高达 60% 的齿轮故障,造成 15.7% 的停机时间(故障占比仅 6.1%),引发巨额经济损失。现场维护依赖离线检测,无法实时预判裂纹临界失效点。
-
2. 核心科学挑战: -
• 现有裂纹寿命预测依赖实验测试或 FRANC3D 数值模拟,后者因接触非线性、循环迭代计算导致单次分析耗时 4–5 小时,无法满足工程实时性需求。 -
• 数据驱动模型(如 LSTM)难以捕捉裂纹扩展的 非线性时空耦合特性(局部几何突变 vs. 全局时间依赖)。
-
3. 巧妙的核心方法: -
• 创新架构: -
• CNN 前端:提取裂纹局部几何特征(长度、宽度、应力场)。 -
• LSTM 中间层:建模裂纹扩展的时间序列依赖性。 -
• 时间自注意力(TSA):突破 RNN 时序局限,全局加权历史关键状态(如裂纹加速拐点)。 -
• KAN 输出层:替代传统 MLP,以可学习样条函数实现自适应非线性回归(参数效率提升 10 倍)。 -
• 创新点: -
• 首例 Kolmogorov-Arnold Networks(KAN)在裂纹预测中的应用,增强模型可解释性。 -
• 端到端集成 FRANC3D 物理仿真生成训练数据,构建“物理-DL”闭环验证链。
-
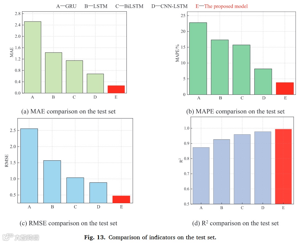
4. 令人信服的效果: -
• 精度:测试集 MAPE = ,RMSE = , (对比传统 LSTM:MAPE )。 -
• 效率:预测时间从小时级缩短至毫秒级(加速 倍),仿真误差稳定低于 。 -
• 鲁棒性:在 至 额定扭矩工况下保持高准确率(故障预警阈值:裂纹达齿轮厚度 )。 -
5. 凝练出的新见解: "裂纹扩展寿命预测的本质是 高维时空动态系统的降维建模。通过时间自注意力机制与 KAN 的协同,模型可直接关联早期微观裂纹特征与最终失效行为,突破了传统‘黑箱’DL 模型的物理不可知局限。"
✅ 第三层:全局架构与核心精粹
-
• 原文精粹: -
• 摘要翻译: 为攻克疲劳裂纹寿命快速精准预测的挑战,本研究提出一种融合有限元建模(FEM)与 CNN-LSTM-KAN 混合网络(增强时间自注意力)的新方法,聚焦风电齿轮箱齿根裂纹。方法涵盖:基于 ABAQUS/FRANC3D 构建螺旋齿轮高保真裂纹数据集;利用该数据集训练混合模型;通过多指标评估验证其优越性。测试集上,该方法 MAPE = ,RMSE = , ;最终预测阶段平均误差仅 ,显著优于对比模型(误差 – ),证实其高效计算与高精度预测能力。"
-
• 结论翻译: 本文提出端到端集成框架,通过 CNN-LSTM-KAN 架构(TSA 增强)实现齿轮裂纹寿命预测。模型以 CNN 提取局部特征、LSTM 建模时序依赖、TSA 捕捉全局时间关联、KAN 执行自适应回归。测试集指标(MAPE ,RMSE , )及 的预测误差凸显其优越性。同时,将传统 FRANC3D 单步计算耗时(4–5 小时)降至毫秒级,加速 倍,奠定工业级应用基础。"
-
• 结构导图:
第二部分:技术解构层
✅ 第四层:理论基石
-
• 核心理论体系: -
1. 断裂力学: -
• Paris 法则:定量描述裂纹扩展速率 , ( )。 -
• 应力强度因子 :控制裂纹尖端应力场强度,单位 , 为几何修正因子。 -
2. 深度学习架构: -
• LSTM:门控机制(遗忘门 、输入门 、输出门 )解决长期依赖问题。 -
• 1D-CNN:滑动卷积核提取局部时空特征(裂纹长度、应力比序列)。 -
• 时间自注意力:全局序列依赖建模( 投影),多头机制捕捉多尺度模式(短时波动至长时趋势)。 -
• KAN:基于 Kolmogorov-Arnold 表示定理( ),以 B-样条激活函数替代静态激活。 -
• 关键术语深究: -
• 物理意义:裂纹尖端应力强度幅值,驱动疲劳扩展的核心参数(单位 ),其阈值 和断裂韧性 界定裂纹稳定区( 为本论文设定)。 -
• KAN 创新点:通过可学习一元函数 重构高维映射,参数效率比 MLP 提升 10 倍,提供样条权重可视化解译。 -
• 直观类比: “裂纹扩展如 沙漠侵蚀:初始缺陷( )为起点,应力( )类比风沙强度,Paris 法则如同侵蚀速率方程。CNN 像显微镜观测局部裂缝,LSTM 是历史气候记录仪,TSA 则像卫星云图揭示全局风暴关联,KAN 最终预测绿洲消亡时间。”
✅ 第五层:数理模型与算法逻辑
-
• 数学模型拆解: 公式 变量说明 物理/工程意义 : 几何因子, : 应力 (MPa), : 裂纹尺寸 (mm) 量化裂纹尖端应力奇异性,决定扩展临界点 : 材料常数, : 应力强度幅值 裂纹扩展速率核心方程,建立载荷循环与寿命关联 : 裂纹寿命 (循环次数) 裂纹从初始尺寸 至临界尺寸 的累积损伤 -
• 算法逻辑流程: -
• 网络架构:
-
• 损失函数: -
• 组合 MAPE + MSE,物理意义为最小化寿命预测相对误差,MSE 惩罚大偏差。 -
• 耦合机制: -
• 物理-DL 闭环:FRANC3D 仿真生成标签数据( 、工况 → ),KAN 通过可学习样条将 隐含关系编码至回归层。
✅ 第六层:工程实现与数据流
-
• 数据流图解: -
-
• 数据流详解:
-
• 输入端:齿轮 18CrNiMo7-6 钢材料,初始裂纹 mm 植入齿根;工况:6 种扭矩载荷( 至 额定)。 -
• 训练过程:批次采样 + 早停策略;TSA 头数 ,KAN 宽度 ;优化器:Adam。 -
• 验证/推理:在线预测支持 FRANC3D 替代,输入 5 维特征向量,输出寿命值 。 -
• 技术栈: -
• 仿真工具链:SOLIDWORKS (CAD) → HyperMesh (网格) → ABAQUS (FEA) → FRANC3D (裂纹扩展)。 -
• DL 框架:PyTorch/KAN 库。
✅ 第七层:结果验证与图表解读
-
• 全图表解析:
| 图表 | 目的 | 内容描述 | 结论提炼 | 逻辑支撑 |
| Fig. 11
|
|
|
|
|
| Fig. 12
|
|
|
|
|
| Fig. 13
|
|
|
|
|
| Fig. 14
|
|
|
|
|
| Table 9
|
|
|
|
|
✅ 第八层:思维洞察
-
• 隐含假设: -
• 裂纹仅受 Mode I 主导(忽略混合模式效应);数据集覆盖工况已完备(实际风场负载更复杂)。 -
• 精妙处理: -
• TSA 权重可视化:注意力峰值对应裂纹扩展速率突变点(如门槛值 突破),提供失效预警物理标志。 -
• KAN 样条平滑约束:强制二阶导数正则化,避免过拟合,确保寿命预测单调性(符合 Paris 法则)。 -
• 思维转折点: “当 TSA 赋予早期裂纹状态( mm)高权重时,揭示了 微观缺陷尺寸对宏观寿命的蝴蝶效应,为“预测前移”提供理论依据。”
-
• 局限性: -
• 泛化瓶颈:依赖仿真数据(未引入真实工况噪声);训练计算密集(KAN 反向传播慢于 MLP)。 -
• 工程临界忽略:未考虑齿面修形、润滑劣化等现实因素,预测精度可能现场衰减。
✅ 第九层:知识迁移与拓展
-
• 可迁移方法论: -
• 建模模板:物理仿真生成数据 → 1D-CNN + LSTM + TSA + KAN 架构 适用于任何疲劳主导系统(如航空叶片、高铁轮对)。 -
• 训练范式:多工况 one-hot 编码 + SHAP 可解释性验证,确保物理逻辑嵌入 DL 内核。 -
• 复现与改进路径: -
1. 复现步骤: -
• 使用 FRANC3D 生成目标部件数据集(需更新材料参数 ) -
• 部署开源 KAN 库,架构:CNN层(64f)-LSTM(128u)-TSA(4头)-KAN([32,10]) -
• 损失函数: -
2. 改进方向: -
• 实时性升级:蒸馏 KAN 为轻量级 MLP,适配边缘计算设备。 -
• 多模态融合:整合振动传感器数据,补偿仿真-实测鸿沟。 -
• 强化学习扩展:开发 DRL 代理优化维修策略,联寿命预测与行动决策。
📌 本论文的通用知识迁移总结
-
• 核心范式:“物理仿真 + 时空特征提取(CNN-LSTM) + 全局优化(TSA) + 可解释回归(KAN)” -
• 可移植模块: 模块 适用场景 迁移价值 时间自注意力 任何强时效性系统预测 破解 RNN 长距依赖瓶颈 KAN 输出层 小样本数据 + 强非线性问题 提供样条权重物理诊断接口 FEM-DL 闭环 高保真仿真支持领域 低成本生成标记数据,替代实验成本 -
• 关键参数警戒: -
• 数据要求:样本量 >10⁴,覆盖所有临界工况 -
• 计算边界:TSA 序列长度 ,避免 复杂度失控 -
• 误差红线:MAPE > 5% 时需检查特征工程

