自 旋
百年电荷已成传
莫若春风渡矩旋
谁料保罗修宝典
拈花指落又人间
量子材料中电荷流与纯自旋流的转换依然是未尽之事业
1. 引子
人类对梦想的追求,很多时候都遗有口号式的轨迹。比如,体育口号说:更高、更快、更强,形象而激越。物质科学也是如此,不妨也用三句口号来描述:更深、更快、更弱。更深是指从一项基本原理出发,深入挖掘、层层剥茧、步步为营。更快无需再解释,人们不但希望自然界以更快的方式伺候我们,也希望自己的节奏更快,以至于慢慢失去了生活的乐趣。更弱(不是说相互作用很弱)是指探索那些越来越不起眼的物理效应,以便为我所用。这种趋于极端的追求常常让我们疲于奔命,让我们的时间和空间严重畸变,后果之一是特朗普退出了TPP、退出了巴黎气候协议、退出了联合国教科文组织、退出了伊核协议、刚刚也退出了联合国人权理事会 ^_^。
标准模型就是这样的一项基本原理,将人类认识世界的深度和广度推向极致。其中一项耗尽无数人无数脑细胞和无数金钱的梦想,就是寻找组成大自然的所有基本粒子。到了今天,在标准模型框架下,大概有如图1 所示的基本粒子家族。毫无疑问,这些成员每一个的发现之旅都可以讲长长的故事,可歌可泣、如痴如醉。将这些故事集成在一起,无非就是为了成就人类追求穷尽世界的好奇与梦想。稍有不甘的是,这些粒子的绝大多数与我们日常并无瓜葛,充其量不过是昙花一现而与我们相忘于江湖,只有少数几个基本粒子实实在在地影响我们的生活。

图1. 标准模型下基本粒子排列,它们组成了我们的物质和意识,是我们的祖先!其中电子、光子和Higgs 三种粒子用虚线圆标记出来,它们是与我们的生活如影随形的粒子。其中电子的属性单列于右侧。
https://en.wikipedia.org/wiki/Standard_Model
现在我们知道,这少数的几个“有用”粒子中一个是Higgs。据信Higgs 是质量或引力的来源,是我们能够在浩瀚宇宙中脚踏实地而不至于飘忽不定的基础。另一个粒子是光子,它携带粒子与波,让我们有了光明,为我们传递信息和光亮。诸如激光等,还为我们带来生活的巨变和营造许多浪漫色彩故事。毫无疑问,没有光子,我们的生命将不可想象,就没有万物、没有生命!
不过,日常生活中,最为深入地影响和塑造我们人类的基本粒子当属电子了。它是我们趾高气扬和自以为是的基本,它也是现代文明生活的主要支撑,它更是我们翻手为云覆手为雨的打手与本事。
花开几朵,此处单表一支,我们只限于讨论固体电子。
2. 固体电子
电子这一基本粒子被J. J.Thomson 有意无意间发现之后,就一直是物理学的宠儿。电磁学基本就是靠消费电子电磁特性的学科,量子力学更是如此。由此,电子就成为我们这一帮每天与量子物质为伍的凝聚态物理人之水和食粮。凝聚态物理大范畴内最能体现电子惠及我们的一门学科不妨统称为电子学(electronics)。众所周知,现代电子学依赖电子具有单位电荷的特性,成就了百年霸业,是现代半导体和信息产业的基础。我们通过产生、传输、探测和控制电子,实现了将量子力学这种至今还有不少人云里雾里的微观基础科学与我们日常吃住用行这种宏观行为密切结合起来,是物理科学为数不多“飞入寻常百姓家”的范例。此类话题罄竹难书,省略数百万字,以免浪费看君的时间。
差不多一个世纪前,爱因斯坦与玻尔先生为了量子力学是骡子是马而华山论剑之时,一般人很难想到将量子力学与相对论糅合到一起。不过,在量子力学甚嚣尘上之时,帅哥保罗•狄拉克别出心裁,真的将它们糅合起来,创立了著名的相对论量子力学。这一理论一个最深远的结果就是告诉我们:电子不仅有质量和电荷,还带有内禀的角动量,即自旋(spin),如图1 右侧所示。非常有趣的是:自旋的实验观测真的是“无心插柳柳成荫”。两位德国物理学家Otto Stern 和Walther Gerlach 本想用来探测原子在磁场中取向的量子化特征(如图2 所示),但变成了为以后量子力学的自旋理论提供实验证据。

图2. Stern–Gerlach 实验。银原子细束在经过不均匀的磁场区域,分成了两束最后到达照相底片上,显像后的底片上出现了两条黑斑。
https://en.wikipedia.org/wiki/Stern-Gerlach_experiment
量子力学给了我们研究微观物质世界的工具,特别是成为后续发展起来的固体能带理论的基础。有趣的是,有关固体中电子电荷属性的一系列物理心潮逐浪高,发展得顺风顺水。或者说,固体电子就像参天大树一般遮阴蔽日,其下基本上片草不生,也让人无暇顾及电子自旋属性的一系列性质。一定要说电子自旋属性,当然也有海森堡为固体磁性建立量子理论基础的那一刻,那不过是电荷天空中自旋的昙花一现。
电子电荷之树生长到1980 年代,很多人说它虽精神矍铄却也年老迟暮,特别是被摩尔定律诅咒而开始步履阑珊。其中一个致命问题是:能耗。电荷输运因为焦耳热而能轻易将超高速超高密度集成电路和芯片焚于一旦。能耗问题因此成为电子电荷的紧箍咒。正如笔者多次调侃:科学家是最见异思迁的群体。他们一看电子电荷不行了,另觅高就乃成出路。这时,凝聚态人在浪迹天涯之余,也回过头来好马聊吃回头草,开始关注电子自旋。这大概就是自旋电子学(spintronics) 的来由。
3. 自旋场晶体管
现在大家都知道,对电子自旋的关注源于磁性金属多层膜中GMR效应,由Albert Fert和Peter Grunberg磁学骨灰级前辈发现。他们是现代自旋电子学的奠基人,其中Grunberg不幸于今年4月仙逝,本公众号“自旋电子学的青山”曾有纪念文章。至今,论及GMR 的文章堆积如山,笔者在此简略提及几句。在磁性金属中,材料磁矩类比于一有效磁场,电子穿越其中时会受到洛伦兹力或霍尔效应的影响。由此,电子输运感受到的电阻与介质中有没有磁矩或磁矩大小方向有关系。这种电阻变化与磁矩之间的关联被用来存储信息,因为材料磁矩是一个可以稳定存在的性质。GMR 比通常金属中各向异性磁电阻AMR 要大不少、控制要简单不少、使用性能与品质要高不少,因此才最终走进千家万户,融入到我们每一位的电子图书馆中。
GMR的发展促使自旋电子学诞生,其中值得一提的是普渡大学S. Datta 和B. Das 提出的自旋场效应晶体管(SFET)概念。这一方案对自旋电子学开关逻辑器件而言具有里程碑意义,如图3所示。自旋晶体管具有与电荷晶体管(CFET)一样的结构,可以方便集成到现有电子学制造产业中,这是至关重要的。我们可从如下几个层面来描述其物理过程:
(1) 晶体管源与漏由铁磁金属或半金属代替,沟道层由半导体二维电子气或非磁性金属层代替。
(2) 发端于铁磁性金属源电极的电子都是自旋极化的,进入到沟道中流向铁磁金属漏电极,由漏电极来探测电阻或自旋极化。
(3) 沟道没有磁性,由于热涨落和杂质散射,流动的电子自旋极化度会随流动距离增大而衰减,用自旋极化相干长度来描写。幸运的是,在很多细心制备的二维电子气和非磁性金属沟道层中,自旋相干长度可比沟道长很多,自旋极化衰减问题无需担心。
(4) 所有电子在流动过程中,其携带的自旋矩围绕角动量方向进动。如果在栅极上加一个电场Vg,电场会通过自旋-轨道耦合(SOC)调控沟道电子自旋进动,进而调控取向。到达铁磁漏电极的电子自旋极化与漏电极磁矩不同,从而产生额外的电阻。图3演示了这一过程。
(5) 由此,on/off 栅极电压Vg,就相当于on/off 源-漏之间的输运特性,即实现基于电子自旋的逻辑与非开关调控。这一行为与基于电荷的CFET效果一样,但原理迥异。

图3. 自旋场效应晶体管SFET 的结构与工作原理。
与CFET 比较,SFET 栅极电压可以很小,因为这里只是调控自旋取向,效果非常灵敏。源-漏电流也很小,可以使用高迁移率和高电导的沟道层,因此能耗显著降低。更为有价值的是:(1) SFET调控自旋而不是电荷;(2) 电子自旋相关长度和时间长,且可以跨越界面。
可惜的是,SFET 到目前为止效果不佳,虽然由此概念已经衍生出花样各异的变种,但尚未能付诸实际器件应用,其中缘由依然扑朔迷离。尽管如此,因为电子自旋是相对论量子的,传统半导体和固体物理很少涉及,很多新的物理与效应如一江春水,倒是产生了凝聚态物理的诸多忧愁。后主李煜走了,此处我们也不敢再过多拘泥。
怎么办呢?凝聚态物理人开始反思SFET能走多远。这里,我们的确运用了电子自旋,但依然是将其搭载在电荷之上,其效果类似于游泳运动员穿上了高科技的超低阻力泳衣,速度是加快了,但内在依然决定于运动员本身的体力与技术。这不是革命性的新物理。如果能够完全抛弃电荷,只利用自旋来实现输运、探测和存储,那可能才是革命性的吧。基于这一“狂妄自大”的信念,类比于电荷流,自旋流的概念应运而生。
4. 自旋流
物理学家沈顺青曾经写过一个科普(AAPPS Bulletin 18 (5), 29 (2008)),来描述自旋流的半经典电动力学图像。笔者囫囵吞枣,简述于此。
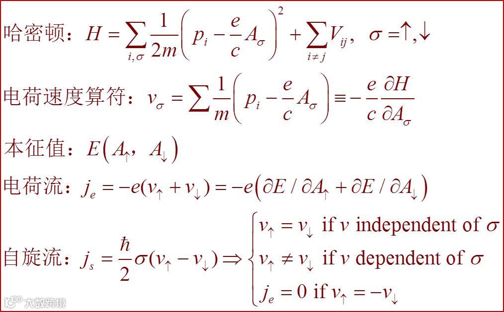
考虑多体体系,针对电荷取哈密顿H,则有如图4 所示的简单半量子运算:

图4. 电子电荷流与自旋流。i 为电荷标记、m 为电子质量、p 为动量、A 为电磁场矢势、σ为自旋符号、V 为相互作用势、v 为电荷流动速度、E 为自旋分辨的本征值。
在常规电荷输运过程中,电磁场矢势A 与自旋无关,因此有A↑ =A↓和v↑ = v↓。加上电荷流没有自旋极化,也就不存在自旋流。不过,如果存在某种自旋依赖的电磁场矢势A,使得A↑ ≠ A↓,即有v↑ ≠v↓,就可以定义自旋流 js≠ 0。极端条件下,如果v↑= - v↓,就可以得到纯自旋流而不再有电荷流。
问题是如何能够获得自旋依赖的电磁场矢势A(σ)?
有一种方案是利用磁场或有效磁场来引入Zeeman 能,使得v↑≠v↓。直接利用电流产生磁场的方法显然与自旋电子学降低能耗的宗旨相悖。最好的方案之一是利用电场(不是电流)来激发v↑≠v↓,甚至是v↑ = - v↓。物理上最方便的就是自旋-轨道耦合SOC 了。
所谓SOC,看起来是很高大上的物理,而且因为做量子凝聚态和拓扑物理的人流口常谈,不在这个领域的人会觉得陌生而远离。其实,SOC 无处不在,比如磁各向异性的起源之一即SOC,比如界面和表面处就有很强的SOC,比如重金属系统也有很强的SOC。理解SOC 只需要半量子的经典电动力学即可有很好的图像嵌入脑海。

图5. 自旋-轨道耦合的半经典图像,其中考虑了相对论性修正。p 为电子电荷动量、σ为自旋算符、V 为静电势。
http://slideplayer.com/1653704/7/images/20/2+2+Spin-orbit+coupling+nucleus+rest+frame+electron+rest+frame.jpg
经典电磁学中,电子围绕原子核运动,原子核带正电。如果坐标系换作以电子为原点,则原子核围绕电子运动,从而产生一个等效磁场B垂直于运动平面,施加在电子自旋上,产生等效Zeeman能,即SOC 能量项HSO,数学推导与表达式如图5 所示。对于原子轨道,因为2mc2 很大(~1.0 MeV),HSO 通常是很小的。不过,对晶体,电子感受到周期势,因此在动量空间中某些点处,HSO 可以很大。特别是如果晶体空间反转对称破缺时,界面局域内电场E (= dV/dr) 可以很大,导致SOC 很强。最典型的例子就是固体表面或异质结界面处Γ 点处,那里Rashba 型SOC 会达到HSO ~ eV 量级,完全可以参与到能带结构的重构之中,起到不仅仅是四两拨千斤的效果。图5 所示,此时电磁矢势Aσ 与自旋算符σ密切相关,自旋流的出现变得自然而然。
自旋-轨道耦合导致的自旋流在物理上就具有得天独厚的优势,令人赞叹不已。至少如下几点值得炫耀,虽然自旋流本身依然有很多不清不楚之处有待商榷。
(1) 对称性保护了自旋流是几乎无耗散的。考虑时间反演对称操作:时间反演(t → -t ) 导致速度矢量反演,但电荷保持不变,因此电荷流会反演 (je → -je)。毫无疑问,磁杂质或磁矩会散射电荷流,出现耗散。与此不同,自旋流时间反演却保持不变js→js,因此磁杂质或磁矩不会引起自旋流散射与耗散。
(2) 自旋霍尔效应中自旋流无耗散,但电荷流则有耗散。
(3) 自旋流与晶格声子耦合极其微弱,但电荷流与声子耦合较强,这决定了声子对自旋流散射很小。
5. 电荷-自旋流转换
行文至此,我们已经很明确,产生、探测和调控自旋流极其重要,它成为自旋电子学的前沿与发展趋势之一[1]。现在,我们可以用自旋电子学的语言再强调这一问题的重要性。类比于电流,自旋流就是电子自旋或者角动量的定向流动。不同于电流,自旋流并不需要电荷的宏观移动。自旋流,一旦用于信息传递,其天生的优势就凸显出来——不需要电压(更低能耗)、更快数据读写速度、更高的集成密度。
如何高效地获取纯净的自旋流呢?一方面,由于自旋流随着自旋弛豫而减弱,发现自旋寿命更长的材料是首要任务之一。另一方面,需要寻找高效地产生自旋流的机制或材料。基于前面的立论,产生自旋流的主要机制可以归于两种:自旋霍尔效应(Spin Hall Effect) 和Edelstein 效应,虽然目前拓扑绝缘体表面产生纯自旋流也很让人期待,如图6 所示。

图6. 自旋流产生的几种机制。(A) 电子电荷与自旋属性。(B) 电荷流与自旋流之间的转换媒介。(C) 借助Rashba 型SOC、拓扑绝缘体表面、Edelstein 效应来产生自旋流。
https://byjus.com/physics/wp-content/uploads/2016/06/5.png
http://www.spintec.fr/wp-content/uploads/2016/09/SpinToChargeScheme.png
https://journals.aps.org/prl/pdf/10.1103/PhysRevLett.116.096602
自旋霍尔效应是一种体效应,指的是在体材料中通入电流,在垂直电流方向上获得自旋流。Edelstein 效应则是一种界面效应,由于SOC,体系存在两种费米面,对应于顺逆时针的两种自旋动量锁定模式。两个费米面在电场作用下都会发生平移,分别产生自旋向上和自旋向下的自旋积累。但由于费米面大小不同,整体上由一个朝向的自旋主导,宏观上产生自旋流。这两种机制都可导致电流-自旋流转换。这不仅是经典信息技术载体与全新信息技术载体的交互,也是新的物理与现象的载体。笔者过去十多年来一直关注于电荷流与自旋流的交互转换,在这一领域稍有心得。笔者最近与国际知名学者、日本RIKEN 的S. Maekawa和Y. Otani 合作撰写综述文章,以“Quantum materials for spin and charge conversion”为题刊载于《npj Quantum Materials》上(https://www.nature.com/articles/s41535-018-0100-9)。此文归纳总结了新颖量子材料体系中奇特的自旋性质及其电流和自旋流的相互转换[2]。
5.1. Rashba界面
在Rashba 界面中,Edelstein 效应也被称为Rashba-Edelstein 效应。如上所述,Rashba 界面由于空间反演对称性被破坏,自旋不再是简并的自由度,这就为通过Edelstein 效应产生纯自旋流奠定了物理基础。为了反映电流-自旋流转换效率的高低,可以定义一个Rashba 系数,它正比于自旋流密度与外加通过界面的电流密度之比值。Edelstein效应还有一个 “孪生兄弟”——逆Edelstein 效应。Edelstein 效应是通过电流产生自旋流,而逆Edelstein 效应则是在同样的结构体系中,通过自旋流产生电流。借助这两种效应,就可以实现电流和自旋流的相互转换。
5.2. 拓扑绝缘体
在拓扑绝缘体中,电子运动和自旋亦有紧密联系。在二维拓扑绝缘体中,电荷和自旋可以通过边界态进行传输。而三维拓扑绝缘体则有着绝缘体态和导电表面态。在表面态中,由于电子自旋和动量方向锁定,原本杂乱的自旋会随着电荷的定向移动变得井然有序。这意味着,一旦确定了电子的运动方向,其自旋方向也可唯一确定下来。
从能带上来看“自旋动量锁定”,外加电场使费米面发生平移,一个方向的自旋就会占据主导,进而产生自旋流。这和Rashba 界面的Edelstein 效应十分相似。不过,对于各种三维拓扑绝缘体的电流-自旋流转换效率这个问题,目前仍是众说纷纭。相信未来能有更多的实验和理论计算“拨云见日”,给出信服可靠的答案。

图7. 几种实现电荷流-自旋流转换的量子材料体系与结构。
5.3. 二维材料
二维材料同样也是实现电流-自旋流转换的理想选择。石墨烯作为最负盛名的二维材料,有着很长的自旋寿命。但由于石墨烯中的自旋轨道耦合较弱,其电流-自旋流转换效率并不理想。但近邻效应的存在,使得石墨烯仍有“逆天改命”的机会。通过引入紧靠石墨烯的强自旋轨道耦合材料,两者的哈密顿量可以结合,石墨烯得以拥有更强的自旋轨道耦合。其中的一个典型代表,就是钇铁石榴石-石墨烯(YIG/Graphene)体系。
5.4. 超导体
另一类实现电流-自旋流转换的是超导体系。当温度降到超导温度,类电子和类空穴激发态的叠加形成的准粒子(Quasi-particle)取代了电子的“工作”,充当起自旋霍尔效应的媒介,如封面取图所示。从效率上看,超导态下的自旋流-电流转换效率要比非超导态大2000倍以上。这项研究为超导材料的自旋流应用,尤其是敏感探测器件提供了很好的思路。
5.5. 非共线反铁磁体
最后一类体系是非共线反铁磁材料。非共线反铁磁材料是近些年研究反常霍尔效应和自旋霍尔效应的全新体系。非共线反铁磁材料有着引人注目的奇妙性质:由于自旋的特殊排列结构,其净磁矩几乎为零,但实空间中存在的贝瑞曲率却会导致极为显著的反常霍尔效应。
6. 总结与展望
无需讳言,随着量子材料成为凝聚态领域的热点话题,量子材料中各种与自旋相关的新奇物理现象,为研究电流-自旋流相互转换提供了崭新的思路与可能。与之相关的实验进展更是极大地吸引了物理人的关注。也许在未来的人们看来,本文所能揭示的不过是冰山一角、或九牛一毛。然而。极目之处,更为庞大宏伟的复杂性世界已经在千呼万唤中缓缓浮现出来。
无论是晶体对称性,抑或是全新自由度诸如声子、磁子、自旋子、谷或原子层与自旋自由度的耦合,都是颇具潜力的电流-自旋流转换新机制,亟待更多实验求索与证明。这些不断涌现的新机制,于自旋电子学的意义在于它们开拓了知识的疆域、铺就了实验的通途、对未来测量非平庸磁涨落以及探索新的量子态都有着非凡的意义。而于信息科学而言,自旋流的概念与图像有着非凡的魅力与亲和力,为我们制造新一代基于自旋电子学的应用器件奠定更加坚实的基础。基于自旋电子学的磁随机辅助存储器、磁畴壁赛道存储器和斯格明子赛道存储器等全新计算器件,将在不远的将来成为现实,助力人类新一次的信息技术革新。退一万步,最保守的后果也让我们为此兴奋过、快乐过、彻夜难眠过。至于是不是革命了,又有多大的是非呢?!
参考文献:
1. S. A. Wolf et al, Spintronics: A spin-based electronics vision for the future, Science 294, 1488 (2001).
2. W. Han (韩伟), Y. Otani, and S. Maekawa, Quantum materials for spin and charge conversion. npj Quantum Materials 3, 27 (2018).
备注:
(1) 作者韩伟教授供职于北京大学物理学院与量子材料中心
(2) 题诗中“保罗”指保罗 狄拉克
(3) 封面来自 https://www.eurekalert.org/multimedia/pub/web/167579_web.jpg

