导读
ENTER TITLE
近日,来自以色列魏茨曼科学研究所的Moty Heiblum教授和美国布朗大学的研究人员通过合作研究,观测到了由第一朗道能级激发的几个量子霍尔态的半整数霍尔热导(half-integer thermal Hall conductance),并且发现5/2态的霍尔热导与2.5κ0的半整数值相匹配,证明了这个量子态的非阿贝尔属性(non-Abelian nature)。相关工作发表在近期的《Nature》杂志上。
在凝聚态物理领域,人们常常用“拓扑不变量”(topological invariant)来表征物质的拓扑态,主要是指其数值量子化(quantized)、不依赖于系统细节参数(如形状、尺寸和杂质等)的物理量。在这些拓扑不变量中,最容易探测的是霍尔电导(Hall conductance),其分数化的数值(以e2/h为单位,其中e为电子电荷,h为普朗克Planck常量)可以表明系统处于拓扑有序态(topologically ordered state),其携带了具有分数电荷并遵循非阿贝尔任意子统计(anyonic statistics)性质的准粒子。另一个拓扑不变量是霍尔热导(thermal Hall Conductance),从实验上来说非常难以测量。对于量子化的霍尔热导来说,以κ0为单位的分数化数值证明了物质态处于非阿贝尔(non-Abelian)态,其中κ0=π2κB2/(3h)。这样的非阿贝尔态导致系统的基态发生简并(ground-state degeneracy),并且相互纠缠时发生拓扑幺正变换(topological unitary transformations),这对于拓扑量子计算有着重要的应用意义。


(a)如图所示为能量-输运边界模式(energy-carrying edge modes)对应于粒子-空穴Pfaffian序(particle–hole Pfaffian order)的示例。橘黄色实线箭头表示顺流充电模式(downstream charge modes),每条携带κ0T的热流。橘黄色虚线箭头表示逆流Majorana模式(upstream Majorana mode),携带0.5κ0T的热流。S为源极,D为漏极,G为栅极。
(b)左纵轴为纵向电阻Rxx,右纵轴为横向霍尔电导σxx。实验采用单独的霍尔棒(长度200μm;宽度100μm,均用MBE方法生长的材料制备)在第一激发的朗道能级进行测量。

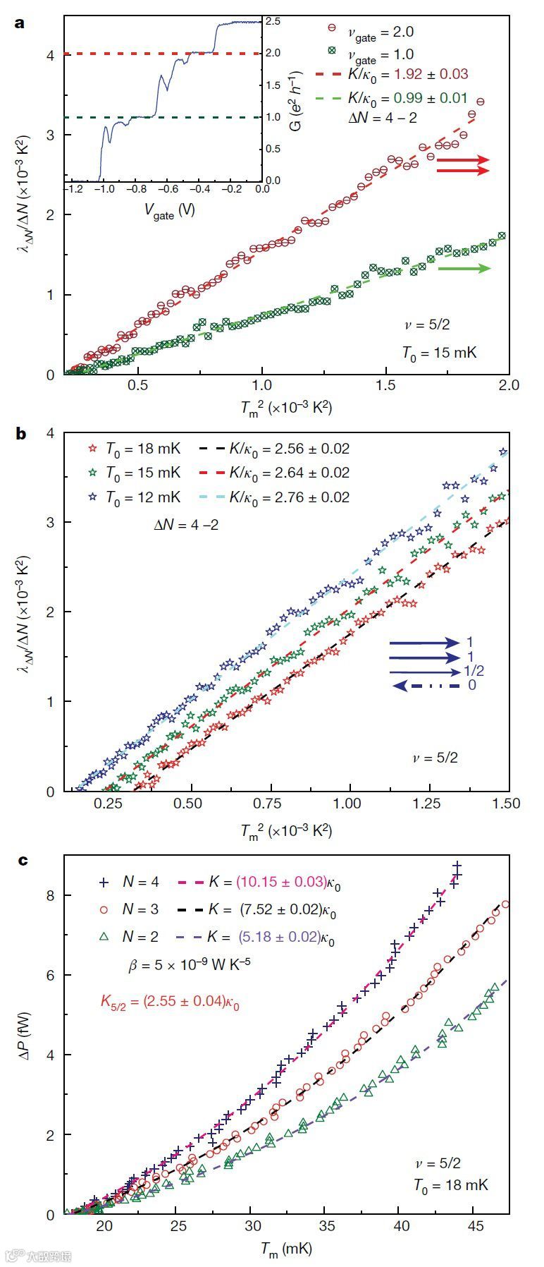
(a)归一化的热流λΔN/ΔN与Tm2的关系曲线。λΔN/ΔN=δPΔN/(κ0/2),其中δP为N=4(4个臂打开)与N=2(2个臂打开)之间的热耗散,ΔN=2。插图显示了典型的臂栅(arm gate)传输与栅电压的关系,其中的两个平台对应于臂中两种或一种边界模式的传播。
(b)4个和2个臂完全传输(零或微小的正向栅极电压)的相似测量。测量在三种不同基准电子温度(base electron temperatures)T0下进行,K/κ0随着温度降低而升高。箭头描述了图1a中粒子-空穴Pfaffian序的理想化边界模式结构。
(c)T0=18mK下,N=4, 3, 2时总功耗与Tm的关系。K平均为2.54κ0,所有的误差置信概率均在95%-99%之间。

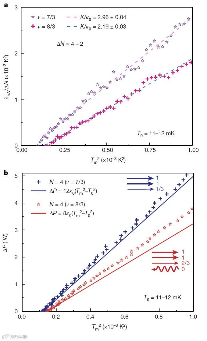
(a)与图2(a)类似,对与ν=5/2相邻的两个分数态进行测量;对于ν=7/3态,K7/3=(2.96±0.05) κ0,每一个边界模式的平均值K1=(0.99±0.03) κ0;在ν=8/3态中(误差的置信概率均高于95%)为逆流传播中性模式,无限传播长度中估计K=2κ0,观察到的热传导系数更大(与ν=2/3态相似)。
(b)图中的两种态的总功耗与Tm2的关系,箭头描述了每一个态的边界结构;ν=7/3处测得的总功耗与估计十分一致,在较高温度下稍有偏差(可能是由于声子的影响);ν=8/3态中的偏差更大,主要原因在于缺乏平衡以及有限Rxx的整体热传导。

图中所绘为在ν=5/2上三种不同填充的K/κ0的平均值与温度的关系;在更低温度下,热导率明显升高。这样的依赖关系主要是由于低温下(在顺流和逆流模式之间)增加的平衡长度。实验共进行了17次测量,大部分数据点取自K/κ0=(2.53±0.04) κ0、基准电子温度T0=18-25mK的范围。

分数量子霍尔ν=5/2液体多体态主要的边界模式候选:Pfaffian、反Pfaffian(A-Pfaffian)、粒子-空穴Pfaffian(PH-Pfaffian)拓扑序、SU(2)2、K=8331和113液体,它们的量子化热霍尔传导(KT)以κ0T为单位的估计值如图所示:
(1)向右的双线箭头表示电荷e*=e的费米子的顺流边界模式,霍尔电导GH=e2/h,K/κ0=1;
(2)向右和向左的实线箭头分别表示顺流和逆流分数电荷模式,其中0.5GH=e2/(2h),K/κ0=1;
(3)波浪线表示费米中性模式,其中电荷为零,K/κ0=1;
(4)虚线表示Majorana模式,其中电荷为零,K/κ0=1/2; K/κ0=1的中性模式物理上等于两个Majorana模式。
(5)图的左半(右半)部分展示了整数(半整数)K/κ0的阿贝尔(非阿贝尔)态;全平衡后最终的边界态模式在每一行的最右列展示,绿色的线划分了类粒子和类空穴态。
复合费米子和K矩阵形式(K-matrix formalism)为理解低朗道能级中的分数量子霍尔效应提供了有力的物理框架。低朗道能级中,几乎所有的量子霍尔态都是复合费米子(composite fermions)的整数量子霍尔液体(integer quantum Hall liquids),该报道在低朗道能级中的热输运测量结果有力地支持了这个物理图像。第一激发朗道能级一直面临着更大的挑战,ν=5/2和ν=5/12态的性质长久以来一直是学术界的疑惑;对于ν=7/3和ν=8/3态,人们提出的也是互相矛盾的观点。然而,过去一些工作和现在的结果证明,这两个态与复合费米子液体共存,在性质上与ν=1/3和ν=2/3态相似。
https://www.nature.com/articles/s41586-018-0184-1
作者:潘佳慧
责编:Jane Chou


免责声明:本文旨在传递更多科研信息及分享,提供志同道合者的交流平台。如涉及侵权,请联系下方邮箱,我们将及时进行修改或删除。转载请注明出处,如原创内容转载需授权,请联系下方微信号。
邮箱:zunzun@imeta-center.com
微信号:Jessica_2313

