
2018年12月8 日至9日,由南京大学牵头的国家重点研发计划"量子调控与量子信息 " 重点专项 "人工微结构中的量子、类量子效应及功能集成光子芯片" 2018 年度总结交流会在南京召开。科技部高技术研究发展中心"量子调控与量子信息" 重点专项主管于笑潇博士、王灿博士,项目责任专家贾锁堂教授、许京军教授,项目咨询专家组成员邢定钰院士、朱诗尧院士、徐红星院士等,南京大学科技处花铭副处长、谢彤副主任、施萱主管,项目负责人陆延青教授、项目课题负责人彭茹雯教授、肖敏教授、马小松教授,以及项目骨干成员等出席了此次总结交流会,参会人数将近 160人。

会议合影
12月9日上午,首先由陆延青教授向专家组报告了项目整体一年来取得的研究进展和下一步工作安排,随后四个课题的负责人针对课题进展分别进行了详细的汇报。与会专家对项目取得的成果给予了肯定,并对项目和课题的进展、研究重点、各课题之间的协调和成果形式等方面提出了宝贵的意见和建议,要求项目组成员本着踏实、认真、负责的态度完成项目指标,做出国际领先的科研成果。
9日下午,项目各个课题在分会场进行了内部总结交流,针对专家的意见和建议、课题实施进展等问题进行了讨论。最后,四个课题的负责人和项目骨干成员结合专家意见,针对项目整体进展和下一步工作计划进行了集中讨论。会议圆满结束。

陆延青教授作项目整体汇报

许京军教授主持专家点评环节

专家点评

12月9日下午分课题总结交流
"人工微结构中的量子、类量子效应及功能集成光子芯片"项目2018年度重点研究成果介绍
目录
1、世界上首个轨道角动量(OAM)波导光子芯片
2、首个基于光子集成芯片的物理系统可扩展的专用光量子计算原型机
3、全球首款专用光量子计算软件
4、宽带消色差超构透镜实现全彩色成像
5、基于数字化自组装手性超结构的宽带多路并行OAM处理器
6、基于自组织3D软光子晶体的光学图案化结晶取向
7、利用单个深亚波长Meta粒子实现微波等离激元涡旋的有效激发
8、利用自由空间中构建的强电磁场实现分子探测
9、利用衍射抑制的二次谐波像直接观测无规铁电畴结构
10、实现光频等离激元的安德森局域化
11、具有赝自旋-谷耦合马鞍型表面态的三维拓扑声学晶体
12、全固态声子体系中的拓扑传输特性和集成器件
13、拓扑声学定向天线
14、可编程声拓扑绝缘体
15、基于全介质材料实现二维高阶拓扑光子绝缘体
16、光子晶体中的连续区束缚态研究
17、基于损耗型声超材料实现声波精细操控
18、利用声学角动量实现高效并行声学信息传输
19、激光"雕刻"3D非线性光子晶体
20、CdSe/CdS纳米晶团簇的单光子发射
21、单个钙钛矿纳米晶的精细能级结构
22、热运动诱导的非互易量子光学系统
23、光学腔与波导量子系统对光子传输的控制
24、高消光比的热光开关:工艺偏差的影响
25、首次基于光纤光学技术实现光纤传送的量子安全直接通信
1、世界上首个轨道角动量(OAM)波导光子芯片
12月7日,国际物理学权威期刊《物理评论快报 》以"Mapping Twisted Light into and out of a Photonic Chip"为题发表了上海交通大学金贤敏团队最新研究成果,报道了世界上首个轨道角动量( OAM)波导光子芯片。并且同时作为Editors’ Suggestion 和Featured in Physics 亮点文章( highlighted article )在PRL网站首页重点推荐,美国物理学会的《物理》期刊也做了同步发表亮点文章。这是首次在光芯片内制备出可携带光子轨道角动量自由度的光波导,并实现在波导内高效和高保真地传输。这项研究进展使得未来在光子集成芯片内高效利用光子轨道角动量这一新兴的的自由度成为可能,为基于光子轨道角动量自由度的光信息以及量子信息技术芯片化集成化打开了大门。研究组发表文章前已经为该波导芯片申请了发明专利。

图1.1:带有螺旋形波阵面的轨道角动量光子通过芯片内的波导

图1.2:显微镜下所观察到的 "甜甜圈" 型波导的横截面,波导直径约为 10微米
近年来,由于扭曲光(twisted light)独特的特性,具有"甜甜圈 "分布的强度结构,螺旋型波阵面的位相结构,携带轨道角动量的动态特性,使其被广泛地应用于光束缚、光操纵以及光钳等领域。不同于光的自旋角动量,轨道角动量拥有无限的拓扑荷和内在的正交性,可以为模式多路分发提供巨大的资源,用于解决通信系统上信道容量紧缩的问题。而在量子光学与量子信息领域,光子轨道角动量,作为内秉的无限维的自由度,可将其用于分发高维的量子态以及构建高维希尔伯特空间的量子计算机。
大规模地应用轨道角动量超越原理性的验证迫切地要求发展集成器件将轨道角动量传输、产生以及操纵于一体化。之前的工作,不论是利用可控的位相阵列,还是微环共振腔产生轨道角动量,均是将轨道角动量辐射到自由空间中,无法存在于芯片内部。金贤敏团队通过飞秒激光直写技术制备了首个波导横截面为"甜甜圈 "型的三维集成的轨道角动量波导光子芯片,使得轨道角动量这一新兴自由度在芯片内操控得以在实验中首次实现。这也将促进未来光子集成芯片上高维量子信息与高维量子计算的实现。
传统的波导,由于其有效折射率过小而不能分开几乎简并的轨道角动量模式。研究组通过三维飞秒激光直写技术得到的"甜甜圈"波导可以有效地将简并的轨道角动量模式分开。此 "甜甜圈"型波导是由12根相互之间有轻微重叠的波导和高折射率芯所组成的。通过测量从芯片出来的扭曲光与参考光的干涉以及对芯片前后的态作投影测量,实验验证了此波导可以高效高保真地传输低阶轨道角动量模式,特别是传输总效率高达 60%。对于高阶模式,目前加工出来的波导,会让其转化为低阶模式。同时实验发现,此波导也可以高保真地传输三比特的"qutrit"态,超越了传统的两比特的 "qubit" 态。这暗示着此波导将很有潜力可以用于高维量子态的传输与操控。

审稿人对该项成果给予了高度评价:"the first demonstration of OAM transmission through a waveguide on chip"(首个在芯片的波导上演示了轨道角动量的传输实验), "the first OAM carrying waveguide chip"(首个可携带轨道角动量的波导芯片), 以及 "first promising steps towards integrated structures for OAM-carrying light and also might be considered an important step for the twisted light and optics community" (首个迈向轨道角动量集成结构的有前景的一步,同时对于整个光学领域和扭曲光来说是重要的一步)。
由于此项研究的重大意义,国际物理学权威期刊《物理评论快报》不仅将金贤敏团队的这篇文章遴选为编辑推荐,同时还邀请了过去20年来一直在国际顶级期刊《Nature》做编辑的Philip Ball撰写了 Twisted Light in a Photonic Chip [Physics 11, 125(2018)] 进行深入报道。
研究团队感谢上海市科委重大项目和国家自然科学基金重点项目的雪中送炭,感谢中组部青年千人计划、国家重点研发计划、上海市教委和上海交大致远学院的大力支持。
https://physics.aps.org/articles/v11/125
2、首个基于光子集成芯片的物理系统可扩展的专用光量子计算原型机
10月29 日,最新一期国际权威学术期刊《自然•光子学》 (影响因子:37.85)以"Experimental quantum fast hitting on hexagonal graphs" 为题发表了上海交通大学金贤敏研究团队最新研究成果,报道了首个基于光子集成芯片的物理系统可扩展的专用光量子计算原型机,首次在实验上实现了"快速到达 " 问题的量子加速算法。该研究团队在飞秒激光直写制备的三维光量子集成芯片中成功构建了大规模六方粘合树并演示了量子快速到达算法内核,相比经典情形展示了平方级加速,而且最优效率提高一个数量级。该项研究开启利用量子系统的维度和尺度作为全新资源研发专用光量子计算机的路线图。

近年来,关于通用量子计算机的新闻屡见于报端,IBM、谷歌、英特尔等公司争相宣告实现了更高的量子比特数纪录。但是业界共识是,即使做出几十个甚至更多量子比特数,如果没有做到全互连、精度不够并且无法进行纠错,通用量子计算仍然无法实现。即使以现在各种量子比特载体可以实现的极限操控精度,进行量子纠错,通用量子计算机需要高达上百万个量子比特才能真正超越经典计算机。
专用量子计算,由于可以直接构建量子系统,不需要依赖复杂的量子纠错,因而相对于通用量子计算具有更灵活的实现方式和更高的可行度。一旦能够制备和控制的量子系统达到全新尺度,将可以直接用于探索新物理和在特定问题上推进远超经典计算机的绝对计算能力。量子行走作为专用量子计算的重要内核,已经在许多优化算法中被理论预测具有明显量子加速效果。其中,对于粘合树结构上的快速到达 (Fast Hitting)问题,量子行走的优势尤为突出。量子行走具有天然的叠加态特性,在面对分叉选择的时候,不是选择左或者右,而是可以选择左和右的叠加态,使得量子行走在粘合树结构上可以轻松"快速到达 ",对优化、搜索等实际问题都有潜在的广泛应用前景。只是,常规的二叉粘合树的节点数目随着层数增加呈指数级增加,会迅速耗尽几何上的制备空间,因此是不可扩展的。
今年5月,金贤敏团队在美国《科学》杂志子刊 Science Advances上发表了世界最大规模的光量子计算集成芯片,并演示了首个真正空间上的二维量子行走[Science Advances 4, eaat3174(2018)] 。这项工作通过增加量子演化维度和系统尺度的方式来提升量子态空间的尺度,提供了一种可行的非常有前景的量子计算和处理资源。在此基础上,金贤敏团队提出了一种具有充分可扩展性的六方粘合树结构,并通过飞秒激光直写技术成功映射到三维光量子集成芯片中。这种六方粘合二叉树结构,即使层数很大,都可以在芯片中很好地用三维波导来实现。

图2.1:粘合树结构示意图
实验中首先根据理论预测的量子动态演化过程中最大的到达概率以及对应的最优演化长度,通过飞秒激光直写技术制备最优演化长度附近的若干组芯片样品。然后通过激光注入、CCD 成像观测芯片输出的光强概率分布,确定不同层数结构的最优演化长度。注入单光子量子光源,用高精度单光子成像观测在最优"快速到达 " 情形下的演化图形。图2.2展示了量子算法可实现约90% 的最优到达效率,最优演化长度约为 25mm。而经典算法只能缓慢地达到最优演化情形,且最优到达效率只有6.25%,比量子行走小了一个多数量级。这是经典随机行走的扩散传输本质导致的,出口节点达到的最优到达效率相当于 1除以所有节点的数目。量子行走在复杂分叉结构时可以选择左和右的叠加态,从而在最优到达效率和最优演化长度都实现明显的优势。

图2.2:2 层六方粘合树"快速到达" 的量子算法和经典算法结果对比
研究人员将六方粘合树的层数逐步增大到8层,结构复杂度不断提升。如图2.3所示,在几种不同层数结构中的最优到达情形中,出口波导都会聚了比大部分其他波导更高的光强,而经典情形是当出口节点达到最优时,所有节点的光强实现平均分配,因而最优到达效率非常低。
研究人员进一步分析了量子行走和经典随机行走在六方粘合树结构上的"快速到达"表现随着结构层数的量化关系。量子最优到达效率始终比经典最优到达效率高一个多数量级。而且对于最优到达效率所对应的最优演化长度,量子算法和经典算法分别需要与粘合树层数呈线性及平方关系的演化长度。也就是说,量子算法对于 "快速到达"问题在更大的任务尺寸上具有更大的优势。

图2.3:结构复杂度不断增大的量子 "快速到达" 实验结果
金贤敏研究团队通过理论创新、高精度的芯片制备、单光子级的注入和成像等一系列努力,最终首次在复杂六方粘合树结构"快速到达" 问题中成功实现量子加速优势。光量子集成芯片中的实验结果与理论结果在最优到达效率及最优演化长度两方面都吻合的很好,这与研究团队过去三年所发展的飞秒激光直写制备三维光量子集成芯片的精准工艺是分不开的。
金贤敏研究团队所发展的基于三维光子集成芯片的大规模量子演化系统,使得研发各种物理系统可扩展的专用光量子计算原型机成为可能。同时,这种粘合树结构很容易让人联想到计算机科学中的二元树或决策树,若能将量子算法运用到计算机科学中的优化、管理、及信息搜寻等各种实际问题中去,有望极大地推动量子计算机的实际应用。还有望用来解决许多跨学科交叉的科学问题并衍生新兴研究领域,比如与实验室天文学模拟、量子人工智能 [Physical Review Letters 120,240501 (2018)]、量子拓扑光子学[arXiv:1810.01435(2018)]、生物医药及成像等学科相互关联的综合性研究。今年10月初,金贤敏团队刚刚发布了首款专用光量子计算软件Feynman PAQS [arXiv: 1810.02289(2018)],也是旨在让量子计算面向更加广泛的科研学者、工程师和热心科普的群体,力图促进更多专用光量子计算算法的发现、基础科研领域交叉、量子计算的工程化应用对接。
期待不久的将来,专用光量子计算机能够真正为各行业带来更多令人欣喜的应用。
3、全球首款专用光量子计算软件
近期,上海交通大学金贤敏教授带领的光子集成与量子信息实验室发布了全球首款专用光量子计算软件。这款名为 FeynmanPAQS 的量子计算软件专注于一系列专用光量子计算算法的实现、图形化界面和实用化开发,其命名旨在向提出量子计算和量子模拟的著名物理学家费曼 (Richard P.Feynman)致敬,PAQS 则是基于光学的专用模拟量子计算( Photonic Analog Quantum Simulation)的首字母缩写。
1981 年,著名物理学家、1965 年诺贝尔物理学奖得主费曼在麻省理工学院的发表题为「 Simulating Physics with Computers」的演讲 [后成文发表于 International Journal of Theorectical Physics 21, 467-488 (1982)],首次提出量子计算的思想。费曼设想可以直接利用量子特性来模拟物质世界中的实际问题,让量子计算机的运算过程对应于物理世界的过程,从而实现并行高效地计算求解。因此,专用量子计算(量子模拟)作为实现量子系统与实际计算问题的直接有效对应思想的源头,一直是量子计算研究和发展的核心路线之一。
近年来,关于通用量子计算机的新闻屡见于报端,IBM、谷歌、英特尔等公司争相宣告实现了更高的量子比特数纪录。但是业界共识是即使做出几十个甚至更多量子比特数,如果没有做到全互连、精度不够并且无法进行纠错,通用量子计算仍然无法实现。与之相比,专用量子计算可以直接构建量子系统,不需要像通用量子计算那样依赖复杂量子纠错。一旦能够制备和控制的量子物理系统达到全新尺度,将可直接用于探索新物理和在特定问题上推进远超经典计算机的绝对计算能力。
今年5月,金贤敏研究团队利用飞秒激光直写技术制备出世界最大规模的光量子计算芯片,使得基于真正空间二维量子行走在国际上首次得以实现 [Science Advances 4, eaat3174 (2018)]。作为专用量子计算的一个强有力的工具,二维空间中的量子行走,能够将特定计算任务对应到量子演化空间中的相互耦合系数矩阵中,当量子演化体系满足两点:一、规模足够大;二、可以灵活设计结构时,量子行走可用来实现工程、金融、生物医药等各领域中的各种搜索、优化问题,展现出远优于经典计算机的表现,具有广泛的应用前景。该团队通过飞秒激光直写技术已经可以构建 49×49个光波导的三维集成光子芯片,并且可以实现像 3D 打印一样自由设计结构布局。端面形成的超大演化空间在即使单光子注入情形下就能实现数以千记的量子行走路径。
实验的进展也促进了 FeynmanPAQS 专用光量子计算软件的推出,成为首款可以对应光量子芯片中光波导特性调控、结构设计、实现特定量子计算和量子模拟问题的专用量子计算软件。用户在软件的可交互界面上设计想要的芯片,解决对应研究问题,比如拓扑光子学、能量传输、缺陷和无序、搜索和优化等基础科研或实际工程问题。在软件给出理论参考结果时,现有实验条件也可以在实验中进一步实现。 FeynmanPAQS专用光量子计算软件使量子计算面向更加广泛的科研学者、工程师和热心科普的群体,力图促进更多专用光量子计算算法的发现、基础科研领域交叉、量子计算的工程化应用对接。
该团队计划持续对 FeynmanPAQ 进行扩展和升级,特别是将会不断更新专用光量子计算新发展出的应用方案和实例。目前软件包括四大主要模块:( 1)可自由设计的量子行走 (QW);( 2 )面向开放系统的量子随机行走 (QSW);(3 )多粒子量子行走(MultiParticle);(4)玻色采样 (BosonSampling)。接下来对每一模块的物理原理和使用方法逐一解读:
可自由设计的量子行走 (QW)
可自由设计的量子行走 (QW) 模块可以实现单个光量子的时间连续型量子行走(Continuous-time quantum walk)。单光子从一根波导中注入,初始状态为 ,通过倏逝波耦合传播到邻近的波导中,在大型二维阵列中演化,满足:
且
。H 就是包含波导结构信息的哈密顿量矩阵,它的对角线上是 βi,即沿自身波导 i 的传输系数,非对角线上是 Cij,即波导 i 与 j之间的耦合系数,与波导间距呈指数衰减关系,因此波导分布确定时 Cij 就可相应地确定。波导传输长度 z代表演化时间,而光子在波导截面的分布则体现了实时的量子行走演化图形。通过波导的设计就可以构建指定的哈密顿量,实现特定的专用量子计算和量子模拟方案。
在可自由设计的量子行走模块中,用户可以设定常规的方形阵列结构,自由设定水平竖直方向的波导数目、水平竖直波导间距,以及指定入射的波导和演化长度。
更有意思的是,软件提供了一个可天马行空、自由设计任意波导阵列结构的画板,只需要在画板上轻点鼠标,就可以将一根波导确定在这个坐标上。可以画爱心,也可以画五角星(庆祝祖国生日),任何结构只要呈现出来,软件就生成了对应的哈密顿矩阵,用户就可以看到从结构中某一根波导注入、演化指定长度时的实时量子行走演化图形。
图3.1:光子在手动画出的任意结构中的演化分布图像
如果将不同演化长度的图像合成动图,就可以看到量子行走随时间演化的过程,看到概率分布强度如星星般闪烁的动态变化。
软件也允许用户精确导入自己定义的波导坐标文件,或者对画板上波导坐标进行微调。这样就可以保证哈密顿量矩阵精准满足用户的设计。用户可以根据研究问题对于哈密顿矩阵的具体要求,设计相应的波导阵列结构,方便开展科研和工程化研究。
面向开放系统的量子随机行走 (QSW)
面向开放系统的量子随机行走模块(QSW)基本沿用了量子行走模块(QW )的可交互界面和功能,在此基础上形成量子随机行走的模拟平台。
量子随机行走 (Quantum Stochastic Walks),就是量子行走和经典随机行走的混合,是分析量子开放系统的重要工具。在真实物理世界中,比如凝聚态、生物系统等,常用量子开放系统来描述,这里既不是完全的量子行走,也不是完全的经典随机行走,往往是二者的混合状态,即量子系统受到来自环境的经典噪声退相干。量子、随机和退相干在其中扮演角色一直是科学家探索未知的物态本质和生物体的研究焦点。
量子随机走常用 Lindblad 方程来描述,用一个参数调控量子随机行走中量子行走的比例。不过由于 Lindblad方程的参数比较难在具体的物理体系中一一对应,在光量子芯片的量子随机行走采用一个可以直接对应光波导物理参数的模型:Δβ 模型
。β 是沿波导方向的传输系数,与波导制备参数有精准的对应关系。通过调控波导参数来不断引入 β的随机改变值 Δβ,可以在哈密顿矩阵的对角线上引入随机扰动,随机波动的幅度越大引入的经典随机行走因素越多。运用这个可以直接指导光量子芯片实验的模型,可以实现很多量子开放系统的直接模拟。

图3.2:Δβ 模型在波导系统中引入噪声,实现开放量子系统
软件界面中,相比量子行走模块(QW),增加了对 Δβ设置,可以对指定的波导设定 Δβ 的随机变化幅度,以及选择看随机变化多次的统计平均结果。同时可以看到指定波导上概率分布随时间的演化结果。

图3.3: QSW 模块 GUI 中设定 Δβ 模型参数的选项
多粒子量子行走(MultiParticle)
不同于单粒子注入的量子行走,当考虑注入多于一个粒子时,多个粒子之间会发生量子干涉(即Hong–Ou–Mandel 效应),从而给出非经典的量子关联。同时,多个粒子占据不同(或相同)的波导时,会等效为一个 Hilbert态空间的高维图,能实现基于量子行走的搜索算法的加速效应。
多光子量子行走模块中,和前两个模块一致,用户可以自定义导入或者画出需要的波导结构。在多光子注入的情形,需要注明每个光子分别从哪根波导注入,显示的数据图表也更加多元化:可以展示多光子在所有波导中的演化概率分布柱状图:

可以在确定其余 n-2 个光子出现的波导编号后,观察剩下两个光子的双光子符合 :

还可以观察单个光子在特定演化度下的概率分布图:

所有这些图形和对应数据都可以导出,在 GUI 有清晰的说明,操作方便。
虽然光子是一种玻色子,在光量子芯片中,通过一定的相位调控方法,也可以模拟费米子等其他粒子,将量子模拟应用于更广泛的物理问题中。因此,在多光子量子行走模块中,用户可以选择这些多粒子是可区分的经典粒子(Distinguishable) 、不可区分的玻色子 (Bosonic) 和不可区分的费米子 (Fermionic) 。

图3.4:GUI 上选择 Distinguishable、 Bosonic 、Fermionic 的下拉菜单
这些不同粒子具有聚束、反聚束等各不相同的现象,可以借助软件中的概率分布随时间的演化图来帮助分析。
玻色采样(BosonSampling)
2011 年,麻省理工学院(MIT)的计算机科学家 Scott Aaronson和 Alex Arkhipov 提出了玻色子采样问题,问题的核心为对一个 M个模式输入与输出的线性光学网络(对应一个特定的幺正变换矩阵),注入 N 个不发生相互作用的光子(一般N<<m< span="">),计算出射光子的分布几率。从数学和计算科学意义上讲,计算出射光子的几率分布需要计算幺正矩阵子矩阵的积和式—— 在计算复杂性理论中,这个问题是属于 #P完全类——即无法在多项式时间内有效解决,因此对于经典计算机而言,大规模玻色子采样问题就成为了一个不可解问题,在更深层意义上,玻色子采样问题的实验会是对广义邱奇 —图灵命题(Extended Church Turing Thesis, ECT)的一个检验,关系到是否存在只是尚未被发现的经典算法可以解决我们目前认为只有量子计算机能有效处理的问题;从实验物理学的角度来说,玻色子采样问题在技术上实现已经相对成熟:实验需要制备单光子态作为输入态,可以用多种方式实现的被动线性光学网络和光子符合测量,对于数十个光子在数百个模式光学网络中的玻色子采样问题,即便是目前运算速度最快的超级计算机也束手无策,从而实现量子霸权( Quantum Supremacy)。玻色采样最早的实验实现由英国、澳大利亚、奥地利和意大利的四个小组同时完成,金贤敏作为主要完成人之一参与了英国牛津大学小组的研究工作 [Science 339, 798 (2013)] 。
玻色采样目前常用两种构型,是分别由奥地利因斯布鲁克大学提出的 Reck 构型和英国牛津大学提出的 Clements构型。


上图和下图分别为 Reck 构型和 Clements 构型
用户可以指定一个用户构型,设定模式数,并在可交互界面上指定光子在哪些模式中注入,以及定义每个分束器单元 (Beam Splitter) 的参数。

图3.5:玻色采样参数设置的可交互界面。左击 Node 左边红色星号则在指定 Node 注入光子,每个直线交叉处代表一个分束器,点击交叉处,可以输入分束器参数。
同时需要导入一个初始的幺正矩阵,如果导入矩阵不满足幺正矩阵软件则会提示操作不能继续;用户可以选择让软件自动随机生成一个任意的幺正矩阵。玻色采样结果就是光子在各个模式出口的符合概率分布,可以导出图片和数据两种形式的计算结果。
在多光子量子行走和玻色采样两个模块中,计算多光子干涉都需要涉及大量的矩阵计算,尤其是积和式 permanent 的计算,比如,玻色采样已被证明是难解问题。金贤敏与国防科技大学吴俊杰团队合作,用天河二号超级计算机标定了人类最强经典计算机求解玻色采样问题的能力上限 [National Science Review, nwy079 (2018)]。该工作测试了最快的经典 Ryser 算法和容错率更高的 BB/FG算法。值得提到的是,经典算法仍然可以进一步改进,在 FeynmanPAQS 中我们采用组合优化算法,可以大大降低计算复杂度,节约计算内存和计算时间,使得相当规模的计算可以在笔记本上就可以完成。本软件是目前可在自有笔记本电脑上单机运行的现有玻色采样软件中可运算光子数及运算效率最高的,为实验研究专用光量子玻色采样机提供支撑。

我们采用「Ryser+Gray & Glynn+Gray」组合算法,保证积和式计算的高效率
FeynmanPAQS 1.0 软件和云将于近期上线。FeynmanPAQS专用光量子计算软件的开发团队希望通过这个用户友好的界面让更多科研学者、其他研究方向的专家、工程师和量子信息科学爱好者参与到光量子计算的尝试中,集思广益,进一步推动量子信息技术的发展。
开发团队也将持续更新模块和实例,目前正在升级加入量子快速到达算法[arXiv:1807.06625 (2018)]、网页排序算法,也会考虑加入量子人工智能 [Physical Review Letters 120, 240501 (2018)]的芯片上可运行的算法,会尽快推出FeynmanPAQS 2.0 版本。通过展示利用专用光量子计算软件实现专用量子计算和专用量子模拟的实验实例,帮助和启发用户更好的使用这个专用光量子计算软件平台,与用户共同推动光量子计算的研究和应用边界。
4、宽带消色差超构透镜实现全彩色成像
南京大学物理学院祝世宁院士课题组与台湾中央研究院蔡定平教授课题组组成的联合团队,在宽带消色差超构表面器件的设计和制作方面取得了丰硕的成果。近期,他们使用消色差超构透镜,在可见光频段首次实现了消色差的全彩成像。
所有光学材料都或多或少存在着折射率的色散现象,这就导致由这些材料组成的光学元件在宽带工作时存在着色差。以透镜为例,色差会使透镜的成像效果变差和分辨率降低。如何消除色差,特别是实现连续宽带消色差,是光学设计中的一项难点。近期,该联合团队使用不同尺寸的GaN纳米柱和纳米槽结构,得到了工作效率较高,且相位曲线与频率成正比的超构单元。使用这些集成共振单元,可以组成覆盖可见光波段(400nm-660nm,带宽为中心波长的1/2)的宽带连续消色差超构透镜(如图4.1 所示)。

图4.1:a. 消色差超构透镜光学照片; b-c. 超构透镜的 SEM 照片; d. 使用消色差超构透镜实现的宽带消色差聚焦。
使用制备完成的超构透镜,可以很好的实现在整个可见光频段的消色差聚焦效果(如图4.1d所示)。在此基础上,他们又研究了超构透镜的分辨率。他们对白光照明的分辨率板进行成像,可以得到很好的白光成像的效果(如图 4.2a所示)。作者同时也制作了单纯使用几何相位实现的非消色差超构透镜,并将其对分辨率板的成像效果与前者做了对比(如图4.2b所示)。可以看到,没有消色差设计的超构透镜的色差非常明显,成像图案中出现了各种颜色的色差现象。但是经过宽带消色差设计的超构透镜成像图案始终是白色的。使用此消色差超构透镜,可以看分辨率板第 7阶最精细的条纹,对应的线条宽度为2.19微米,这个分辨率已经接近了透镜成像分辨率的理论极限(如图4.2c 所示)。

图4.2:消色差超构透镜成像效果。a 和c. 使用消色差超构透镜对美军标1951 分辨率板成像; b. 使用费消色差超构透镜对美军标 1951 分辨率板成像; d-f. 使用消色差超构透镜对彩色图片成像。
在白光照明成像的基础上,作者使用宽带消色差超构透镜对彩色图片进行成像。得到了无色差,且色彩保持很好的成像效果(如图4.2d-f所示)。这是首次报道的超构表面透镜的全彩成像结果。这种宽带连续消色差超构透镜可以宽泛应用于可见光成像相关的各个领域。此工作发表在 Nature Nanotechnology [13, 227-232 (2018)]上。南京大学物理学院王漱明副教授是本文的并列第一作者,南京大学为此工作的第一完成单位。
5、基于数字化自组装手性超结构的宽带多路并行OAM处理器
南京大学现代工程与应用科学学院液晶与光子技术研究中心陆延青教授、胡伟教授利用光控胆甾相液晶自组装螺旋超结构开发出宽带多路并行的OAM处理器。该成果以Digitalizing self-assembled chiral superstructures for optical vortex processing 为题,于2018年1月 15 日发表在《先进材料》上(Adv. Mater.2018,30,1705865)。
相位型涡旋光场的螺旋形波前可用Ψ1 =exp(imθ) 来进行描述。对于这类光束,其坡印廷矢量虽然整体向前,但是有了横向分量,其指向在空间内不停地打转,因此带来了轨道角动量( orbital angular momentum,OAM)。OAM 赋予了光子调控一个全新的维度,打开了一条光信息复用的新通道。拓扑荷m 的无限性意味着OAM态也是无限的,因此,通过OAM复用可极大地增加无线及光纤通信的带宽。将基于 OAM的模分复用技术与现行的波分复用技术相结合一直是光学界热切期盼解决的一项关键难题。现有的涡旋光束产生与检测技术,如:模式转换、螺旋位相板、Q-plate、叉形光栅等,都对波长非常敏感,其效率随波长会发生显著的变化,这严重制约了 OAM复用技术的发展与应用。
针对这一挑战,该研究团队在前期光取向液晶制备叉形光栅(涡旋光与平面波倾斜相干的干涉图样)Adv. Mater. 2014, 26(10),1590-1595 和达曼叉形光栅(进一步引入二值化处理使得目标衍射级次等能量分布)Phys. Rev. Appl. 2016, 5, 044009 的基础上,创造性地引入胆甾相液晶 (cholesteric liquid crystal, CLC),利用CLC对特定波段内(nop–nep ,即,布拉格反射带内)与CLC螺旋具有相同旋性的圆偏振光分量具有相等的反射率这一特性,来打破传统液晶光学元件的波长依赖性。进一步的,他们利用液晶光配向技术来诱导 CLC螺旋超结构的自组装行为,实现了两种周期性交替排列的螺旋柱,并首次提出了数字化螺旋超结构的概念。该独特设计将达曼叉形光栅的二值化相位赋予CLC螺旋超结构,实现了对反射光几何相位的局部调制,而透射部分的具有相反旋性的圆偏振光则保持波前不发生相对变化。基于此,他们开发出一种全新的涡旋光 "处理器",验证了116 nm 波段范围内 25个OAM模式的等效产生,并进一步实现了OAM混合态涡旋光束的模式解复用与在线无损检测。

该研究提供了一种简单实用的宽波、高效、大容量、在线式OAM并行处理的途径,并能够有效避免模式损坏和模间串扰,可望从根本上解决限制OAM 模式复用与波分复用结合的关键技术难题。该研究成果吸引了华为和光迅等公司的强烈兴趣。其实,宽带多路并行OAM处理器只是该数字化螺旋超结构的一个应用例证。新结构的提出与实现也为软物质超结构的精确受控生长提供了全新的思路,并有望为先进光子元件的设计开发开辟出一条崭新的道路。
论文第一、二作者分别是中心陈鹏同学和马玲玲同学,胡伟教授和陆延青教授为本文的共同通讯作者,南京大学李涛教授、哈理工朱智涵教授和高玮教授对本文亦有重要贡献。该研究由国家重点研发计划、自然科学基金项目资助完成,同时得到人工微结构科学与技术协同创新中心、南京大学十百千工程、中央高校基本科研业务费、双一流建设经费等平台与项目的大力支持。
6、基于自组织3D软光子晶体的光学图案化结晶取向
南京大学现代工程与应用科学学院液晶与光子技术研究中心与国内外研究机构合作,将液晶光配向技术用于诱导软物质有序生长,实现了蓝相软晶格指向的有序性、微域化和图案化。相关研究成果于2017年11 月8日发表在《先进材料》上( Adv. Mater. 2017, 29, 17031 65.),并被选作封面论文。
物质结构的有序性诠释了自然界的神奇与和谐,蝴蝶翅膀绚丽的结构色、DNA双螺旋等呈现给我们一个五彩斑斓的世界,同时也激发了科学家们的好奇心和探索欲望。晶体是这种微观秩序的典型代表,其展现出对量子(电子、光子等)传输、自旋和布居等行为的操控,被广泛地应用于电子学和光子学领域。有序性会直接影响晶体材料对量子的操控,因而实现晶格的有序排列至关重要。常规的晶体生长技术包括熔体生长法、溶液生长法、气相生长法和外延法。随着微纳科学的发展,控制实现晶面指向的微域化以及形成有序 -无序交替的周期或准周期微图案化晶格排列因其蕴含着丰富的物理内涵和应用潜力而引起人们的关注。
液晶是一类典型的具有自组装行为的软物质材料,其分子排列长程有序,呈现多元化(力、热、光、电、磁等)的外场响应特性。当引入强手性作用时,在特定温度下,液晶分子呈现奇异的双螺旋排列,并自组装形成立方晶格而生成蓝相。蓝相晶格尺度与光波长可比拟,呈现出针对特定频率范围的光子局域特性,是一种自组装软光子晶体。与其它晶体类似,蓝相液晶由熵变主导其晶格生长,晶格指向通常无序,因而降低了其光学效率。如果能够控制该软晶格指向,并实现晶格排列的有序性、微域化、图案化,将带来巨大的科学研究价值和工程应用意义。

图6: 光控软物质畴工程,蓝相软晶格指向的有序性、微域化和图案化
团队采用原创的动态掩膜光配向技术控制锚定条件实现晶格指向的有序,并据此实现了周期方格、同心圆环、叉形光栅以及数字图形等任意微晶图案的制备。利用Kӧssel衍射对比了取向与非取向区域的晶格指向有序性差异:在取向区域衍射图案呈现规则的圆环;非取向区域则呈现模糊的多曲线叠加,直观的证明了取向控制对晶格排列有序性的影响。蓝相的有序取向区与无序区域对特定频率光的反射率差异显著,可用于振幅调制的衍射元件制备。与其它晶体相比,该软晶格呈现出弱电调控的特性。电场作用将导致晶格结构畸变,反射波长红移,电场撤去后,反射波长回归初始位置。另一方面,得益于光取向材料的可擦写性,蓝相微晶图形可反复擦写,在可实时重构光子学领域具有重要意义。
华东理工大学郑致刚教授、袁从龙同学和南京大学胡伟教授为本文并列一作,南京大学陆延青教授、俄亥俄州立大学李国强教授和肯特州立大学李全教授为共同通讯联系人。南京大学唐明劼同学、华东理工大学沈冬教授、中科院物理所叶方富研究员对本文亦有重要贡献。该研究由国家重点研发计划、自然科学基金、上海市青年科技启明星等项目资助,同时得到人工微结构科学与技术协同创新中心、南京大学十百千工程、中央高校基本科研业务费等平台与项目的大力支持。
7、利用单个深亚波长Meta粒子实现微波等离激元涡旋的有效激发
南京大学王振林教授团队提出了一种在长波段有效激发类似于光波段等离激元涡旋的方法。这项工作打破了等离激元旋涡的频率限制,对于工作在远红外、太赫兹、乃至微波段的功能性集成器件的研究具有重要意义。改成果以Efficient Generation of Microwave Plasmonic Vortices via a Single Deep-Subwavelength Meta-Particle 为题,于2018年6月 13 日发表在《Laser & Photonics Reviews》上(Laser Photonics Rev.2018, 1800010) ,并被选作封面论文。南京大学苏海同学和中国矿业大学沈小鹏教授为本文并列一作,南京大学王振林教授,詹鹏副教授和美国东北大学刘咏民教授为共同通讯联系人。
涡旋光场具有轨道角动量, 因而为光与物质相互作用提供了新的可操纵维度。近些年来,涡旋光场在包括微操纵、显微成像、数据存储、数据传输等诸多领域展现丰富的运用价值。由于衍射极限的存在,通常来讲涡旋光场的有效半径和其波长相比拟,这很大程度上限制了功能器件的进一步微型化和集成化。为解决这一问题,在光频段研究人员已经提出采用表面等离激元来构建突破衍射极限的涡旋光场。
然而在中红外、太赫兹、甚至是微波段,传统的贵金属材料(例如金、银)已经表现为近乎完美电导体,无法激发类似于光波段的等离激元,更不用说构建等离激元的涡旋场。因此,如何在长波段 (远红外,太赫兹,微波)有效激发表面等离激元涡旋光场这一科学问题始终困扰着研究人员,也阻碍着长波段等离激元涡旋的运用探索。
想要在长波段有效地构建类似于光波段的等离激元旋涡,需解决两个关键问题:1.如何有效获取类似于光波段等离激元的表面波;2. 如何在亚波长尺度范围内构建这种表面波的涡旋性质。对于问题1,研究人员已经采用各种新奇的结构化金属来支持新的电磁模式。这些电磁模式的等效色散关系与光波段等离激元类似,且同样具有束缚表面的特殊性质,因而被称为人工表面等离激元。然而,问题 2 始终没有得到妥善解决。

图7: 人工表面等离激元波导激发超构颗粒所支持的涡旋响应
在文章中,首先研究了由6条金属螺旋臂连接而成的单个超构颗粒,这种超构超构颗粒可以支持两股拓扑荷相反的涡旋模式。由于其简并的特性,两股涡旋态通常是同时激发,因而整体表现出没有轨道角动量的偶极响应。为打破简并去获取单个的涡旋模式,文章接下来精心设计了一种梳子状的金属波导。将之前研究的超构颗粒放置于波导一定距离,由于波导在设计所关心的频率范围内能够很好地束缚住人工表面等离激元,利用其空间场的非对称性,可以非常高效率地激发超构颗粒所支持的单个涡旋模式。文章后面建立了相应的等效物理模型,在模型中考虑了波导与超构颗粒的各项耦合参数以及超构颗粒本身的辐射损耗,与电磁仿真计算以及矢网实验测试的结果完美吻合。值得注意的是,该文章中所激发的等离激元旋涡的有效半径约等于相应自由空间波长的十六分之一。这项工作打破了等离激元旋涡的频率限制,对于工作在远红外、太赫兹、乃至微波段的功能性集成器件的研究具有重要意义。
8、利用自由空间中构建的强电磁场实现分子探测
南京大学物理学院王振林教授团队利用自由空间中构建的强场实现分子探测。该成果以Sculpting Extreme Electromagnetic Field Enhancement in Free Space for Molecule Sensing 为题,于 2018年7月12日发表在《 Small》上(Small 2018, 14, 1801146),并被选作封面论文。浙江工业大学刘凡新教授、南加利福尼亚大学宋博详同学和南京大学苏光旭同学为本文并列一作,南京大学王振林教授、詹鹏副教授和南加利福尼亚大学吴崴教授为共同通讯联系人。
基于小间隙等离激元共振效应提供的强局域电磁场增强,可以实现超灵敏的分子探测。但是通常情况下,电磁场增强最强的部分处于介质间隙处,而外部物质不能到达这个空间位置,则对于实现单分子检测来说,一直以来都是一个巨大挑战。这里我们设计了一个新的等离激元结构:在纳米压印技术的基础上加上一些特殊工艺,可以在精确的控制小间隙等离激元结构在自由空间中溢出强电磁场。我们制备的结构是一组完全接触靠拢在一起的被四面体非晶碳膜包裹的银纳米手指对阵列。因为四面体非晶碳膜的电子亲和势很低,那么该体系具有很高的隧穿势垒,这就意味着金属间隙很小的时候也能不用考虑量子隧穿带来的副作用,可以产生一个极强的热点。另外,四面体非晶碳膜具有很高的介电常数,物理上它可以实现场的再分布,本来金属表面的强场会转移到空气和碳膜界面。通过计算,我们得到间隙上方溢出的强局域电场可以达到 1000倍增强效果。接着,我们在实验上通过双分子表面增强拉曼光谱方法,证实了我们设计的这个等离激元体系的探测灵敏度确实达到了单分子水平。

图8.1:基于四面体非晶碳膜包裹的银纳米手指的表面增强拉曼散射示意图

图8.2:样品结构图及基于双分子法的单分子拉曼检测图
9、利用衍射抑制的二次谐波像直接观测无规铁电畴结构
南京大学的朱永元、秦亦强、张超团队在非线性光学成像领域取得了进展,提出了一种利用衍射抑制的二次谐波像直接观测无规铁电畴结构的新型方法,并在理论和实验上得到了验证,相关工作在Phys.Rev.Lett. 120, 067601 (2018)发表。
铁电材料由于其压电、热电和光电方面的特殊性质而在许多研究领域中有着广泛的应用,对铁电畴结构的表征技术近年来逐渐成为一个热点课题。经过几十年的发展,包括电子显微镜、线性光学成像和非线性光学成像等方法,已经广泛地运用于观测畴结构。然而这些方法在实际研究和应用中仍存在一定局限性,比如说线性光学方法由于正负畴的折射率相同,需要先对样品腐蚀来改变畴壁周围的相关特性,这就对会样品造成损伤;再比如基于 Talbot和Cherenkov效应的一些非线性光学方法, 只适用于周期结构或者是需要配合焦点扫描的手段才能成像,无法直接对一般的无规畴结构进行观测。
利用铁电畴畴壁在非线性成像过程中的特殊衍射性质,我们提出了一种简单的非线性成像方法,能够直接并实时地观测二维无规铁电畴结构。该工作主要分为理论和实验两部分。理论上主要从衍射方程出发,对铁电畴畴壁的二次谐波衍射特性进行了理论分析,给出了一对正负畴的倍频传输场强分布的解析解,发现畴壁处的倍频像始终呈暗场。随后我们通过进一步的理论分析,发现畴壁的倍频像线宽在一定区域内与传播距离的平方根成正比,与正常的远场衍射过程(一次方)相比畴壁像的展宽得到了极大的抑制,为直接成像提供了可能性。在此基础上,将单一畴结构推广到复杂的无规则畴结构,进一步通过数值仿真模拟二次谐波成像证实了传输过程中畴界的近似无衍射性质。该工作的实验部分主要以钽酸锂为例,用 900nm的飞秒激光打到样品上,在CCD中可以直接收集到450nm 的倍频畴结构像,其中畴界显示为暗场。结果表明,可以在百微米范围内连续观测到畴结构的清晰倍频像,其中衍射效应确实得到了很好的抑制。

这种基于二次谐波的观测方法不需要大型的显微镜设备,也不需要焦点扫描,可以用来无损地实时观测不规则畴结构,其成像质量还可以通过计算机后期数据处理进一步提升,为实现铁电畴的高分辨率成像提供了可能。
10、实现光频等离激元的安德森局域化
南京大学物理学院史文博等将无序结构进行工程化设计,成功实现了光频等离激元的安德森局域化,其题为“Strong Localization of Surface Plasmon Polaritons with Engineered Disorder”的论文发表于Nano Letters (2018) 第18卷, 第1896-1902页。

图10.1:无序光栅结构的扫描电镜图像、远场光学测量系统示意图、部分测量结果。
自然界大部分物质具有无序结构,波在无序系统中的传播问题是凝聚态物理学的重要课题。1958年安德森(P. W. Anderson) 提出电子在无序系统中会出现局域化现象,并且会导致导体转变为绝缘体,这一现象后来被称为安德森局域化, 可以推广到其它的各类波,比如电磁波、声波、物质波等。南京大学该研究组自1998年以来对人工微结构系统中光子和声子的安德森局域化现象进行了持续深入的研究,实现了广义准周期系统中光子和声子的安德森局域化,发现了人工微结构系统中电子、光子和声子的局域与退局域转变,探讨了该效应的光电应用等等。这一系列工作先后发表在 Physical Review B 和 Applied Physics Letters 等杂志上 (PRB (1998) 57, 1544; PRB (2003) 67, 205209;PRB(2005) 72, 214301;APL (2006) 89, 153114;PRB (2007) 75, 165117;APL (2008) 93,011908;PRB (2015) 91, 045111等)。
另一方面,表面等离激元作为一种局域在金属与介质界面上的电子集体振荡,受到了人们的广泛关注。由于光频等离激元在传播过程中损耗相当大,因而很难在实验上实现并观测到光频等离激元的安德森局域化现象。最近,该研究组在金属薄膜上进行无序光栅结构的工程化控制,设计和制备了几百个无序结构样品,首次在实验上利用两类远场测量手段,对那几百个无序结构样品进行了精细测量和统计分析,实现并直接观测到了光频等离激元的安德森局域化现象(参见图一和图二)。同时通过建立模型解析分析了表面等离激元在无序系统中的多重散射的行为,进一步从理论上证实光频等离激元在该类无序系统中发生安德森局域化。该工作一方面丰富了安德森局域化的物理体系;同时在光子芯片、纳米激光以及光与物质强相互作用等方面具有重要的应用前景,得到了《Nano Letters》评审人的一致好评。例如,评审人认为这是“一个很重要并且有趣的结果”(“A very important and interesting result”);“这个工作不仅将吸引等离激元研究群体的关注,同时也会引起工作在光子芯片器件、纳米尺度下量子现象、或许太阳能电池等研究领域的人们的重视(“The work will attract the attention not only from the plasmon community but also there searchers working in the on-chip photonic devices, quantum phenomena at nanoscale, and maybe solar cell.”)。
此项工作主要由南京大学史文博在其研究生期间完成, 他是该论文的第一作者,彭茹雯等是该论文通讯作者。该项研究受到科技部“国家重点研发计划”以及国家自然科学基金委重点项目等资助。

图10.2:随着光栅无序程度逐渐增大,最终实现光频等离激元的强局域。
11、具有赝自旋-谷耦合马鞍型表面态的三维拓扑声学晶体
南京大学固体微结构物理国家重点实验室、现代工程与应用科学学院/材料科学与工程系、物理学院、人工微结构科学与技术协同创新中心的何程、卢明辉和陈延峰研究团队与张海军课题组合作,在理论上设计和研制了三维拓扑声子晶体。相关工作以"Three-dimensional topological acoustic crystals with pseudospin-valley coupled saddle surface states"为题发表在《 Nature Communications 》(《自然-通讯》)杂志上。

图11.1:(a )双层六角晶格堆砌结构示意图;(b)" 声原子"由声学共振腔构成,近邻原子之间由管道连接;(c )布里渊区示意图;(d-f)体能带随频率的演化图。
拓扑态是近年来凝聚态物理研究的热点问题,其能带结构的拓扑性质使其边界态具有"背散射抑制"的传输特性。该边界态因为受到拓扑对称性保护而具有鲁棒特性,可以免疫各种不同的缺陷(及转角)和杂质,保证了传输具有新的空间传播自由度和近乎为零的散射损耗。在前期二维声 /光学拓扑态的研究基础上[Nat. Phys. 12, 1124 (2016);PNAS 113, 4924 (2016);Nat. Commun. 9 , 3072 (2018)] ,本研究将声学拓扑态从二维推广到三维体系。研究组利用声学微腔构造了由双层六角晶格堆砌而成的三维声子晶体,通过引入滑移对称性,破缺了z和x 方向镜面对称性,形成全方向带隙;而原来四重简并点也破缺成两个两重简并,该两重简并受滑移对称性保护,在特定方向上满足赝时间反演对称性,从而可用于实现空气纵声波的赝自旋以及赝自旋 -能谷耦合表面态(图11.1)。

图11.2:(a )kxz方向投影的边界布里渊区示意图;( b )锯齿形界面示意图;(c)界面投影能带;( d )具有马鞍面形状的表面态;(e)声赝自旋态由对称( S )和反对称态(Ax 和 Az )构成。(f)声赝自旋布洛赫球表示。
在两个具有相反有效质量声子晶体的锯齿形二维界面处,可实现具有马鞍面形状(两相反马鞍面嵌套)的赝自旋-能谷耦合表面态(图11.2 )。一般而言,能带的拓扑性质往往在边界(更低维度)处表现出来,因此,二维的拓扑声子晶体只具有一维拓扑边界波导或零维角态,而三维拓扑声子晶体则可具有二维拓扑表面,这更利于调控,也更接近实际应用。更为重要的是,基于这种三维拓扑声子晶体,可为空气纵声波构造全矢量的声赝自旋。所有布洛赫球上的声赝自旋态均可由该模型实现,这也是二维情况下无法实现的。
通过精确选择结构参数并通过3D打印技术制备了三维拓扑声子晶体。实验测量表明:三维拓扑声子晶体具有强背散射抑制的界面传输特性,弯折缺陷对透射率的影响很小。这种拓扑传输在整个二维界面内均可实现(图11.3-4 )。需要特别指出的是:在鞍点处,二次型的能带色散会抑制声波传输,出现一个较为尖锐的表面态能谷,可用于表面态滤波,也可用于实现表面慢声传输以及高品质因子的表面声学微腔。

图11.3:(a )沿- 方向传播的声拓扑表面态透射谱;(b)对应的声场分布;( c )沿- 方向传播的声拓扑表面态透射谱;d)对应的声场分布。鞍点处对应透射极小值。

图11.4:(a )增加z向晶格常数情况;(b )投影能带;(c)具有开孔形状的表面态;( d-e )沿- 方向和- 方向传播的声拓扑表面态透射谱,其中声表面态带隙处对应开孔大小。
这个工作的重要意义在于:1)首次提出并在实验上实现了三维拓扑声子晶体中的赝自旋-能谷耦合表面态,有望应用于声传播调控和降噪隔声等领域; 2)实现了多方向且各向异性可控的声拓扑表面传输特性,它更接近实际应用;3)提出了一种利用纵声波构造全矢量声赝自旋的方案,未来有望开发并应用于声赝自旋器件。
这一工作是理论模型—材料制备—精密测量三个方面结合的结果,其中理论模型与物理学院王怀强副研究员和张海军教授合作完成。现工院 /材料系的何程、余思远及博士生葛浩为论文的共同第一作者;何程、卢明辉及陈延峰是论文的共同通讯作者。课题得到了科技部国家重点研发计划、国家自然科学基金等项目的支持。
12、全固态声子体系中的拓扑传输特性和集成器件
近期,南京大学固体微结构物理国家重点实验室、材料科学与工程系及人工微结构科学与技术协同创新中心的卢明辉教授、刘晓平教授与陈延峰教授的研究团队,与南方科技大学卢海舟教授合作,在全固态声学体系中,首次实验探测到了声学赝自旋的存在,并首次实现了固体声波(弹性波)中的类量子自旋霍尔效应及具有"背散射抑制"及"自旋-动量锁定 "特性的固体声波边界态传输,进而开发出了一种面向全频段可集成的固体声学传输线。相关工作以"Elastic Pseudospin Transport for Integratable Topological Phononic Circuits" 为标题于 2018年X月X日在线发表于《 Nature Communication》(《自然·通讯》)杂志。

图12.1:利用弹性波量子自旋霍尔效应实现的具有拓扑保护的固体声学传输线:( a)其具有极低的传输损耗,并完全兼容于各工作频段及各类材料。利用该传输线可以构建片上集成声学的基础元件,例如:具有任意路径及形状的(b )固体声声波导、( c)固体声分路器及(d )具有高品质因子的固体声谐振腔等。
声在现代工业文明中发挥着广泛作用。作为信息与能量的重要载体,声可以被应用于对时间、空间、频率、相位等诸多物理参量的精密测量、信号处理及后续运算。声的这一应用优势,在固体声波(弹性波)领域显现地尤为突出——与流体(如空气与水)中的声波相比,固体声波具有几个重要优势 ,例如:具有很强的抗干扰能力、极低的传输损耗和极高的能量容量,等等。同时,固体声波器件易于集成,从而使其被广泛应用于当今无线通讯、无源传感、无损检测、地球地质勘探乃至正在迅速发展的(声学)量子计算等诸多领域。

图12.2:固体声波(弹性波)的赝自旋态的构建: a实验样品由两块固体声绝缘体拼接构成,左侧和右侧的声绝缘体禁带范围一致,但顶带和底带中的模式互为反转;它们的能带具有不同的拓扑不变量;b 由四种简并态构建的赝自旋基矢( S与A );c 拓扑边界的投影能带:在禁带中存在两条无能隙且具有"自旋 - 动量锁定"特征的边界模式。
进一步全面释放出固体声波的应用优势,人们迫切地需要一种能够对其进行精确引导的技术手段,即:固体声波的声波导(传输线)。对于光波或是空气中的声波而言,波导的设计及应用已经非常成熟,例如:人们可以利用不同材料间的折射率差异,实现光学波导(如光纤或是片上集成的脊形光波导等);或是利用不同介质间较大的声阻抗失配,构建空气声的波导(如声波导管等)。然而,在实现一个固体声波的波导却一直面临着很大困难。主要原因有下:(一)对于不同的固体材料而言,无论是密度或是弹性模量都较难有很大差异,那么通过不同材料间的折射率失配,构建一个具有类似 "刚性壁"的声波导就变得几乎无法实现;(二)固体声波(弹性波)中由于剪切作用的存在,声的传播对传播介质中的各类缺陷(或转角)极度敏感,这些缺陷很容易导致传输的声波发生较强的散射,从而使得波导的传输能量的快速耗散。以上这两点主要困难,使得固体声波导自其概念提出以来一直未有重要突破。

图12.3:实验探测到的具有" 自旋-动量锁定" 特征的边界态传输:a 由下向上传输的边界态,其固体声波的振动场呈现出 "" 的时域特征,对应于一种赝自旋态(S+iA); b 由上向下传输的边界态,其固体声波的振动场呈现出""的时域特征,对应于另一种赝自旋态( S-iA );弹性波的能量集中两块绝缘体的边界,并延着传输方向的两侧逐渐衰减。
幸运的是,随着电子能带拓扑理论和实验在过去二十年的发展,其核心原理已逐渐被类比并应于玻色子系统,并直接带动了近年来拓扑光子学和拓扑声子学的迅速发展。人们探索、研究些拓扑系统的一个重要原因是它们所具有的"无能隙的边界模式 "。利用这些受到拓扑保护的边界模式,即可以实现具有"被散射抑制" 特性的光或声的传输态。这类传输态在系统不被破坏时间反演对称性的情况下,可以免疫各类缺陷(及转角),从而使得传输具有了极高的空间自由度及近乎为零的散射损耗。在光学领域中,利用这些拓扑边界模式的优异特性,一系列前所未有的面向实际应用的集成器件已经被提出并开发了出来。

图12.4:对缺陷及各类转角均免疫的固体声波传输线(波导): a波导中未放置任何缺陷;b 波导中放置一个由15个孔洞缺失构成的" 空位 "缺陷;c 波导中放置一个由 15个孔洞随意排布构成的" 位错 "缺陷;d 具有 120°转角的波导;e 上述四种情况波导中固体声波的透过率。数值和实验的结果均表:固体声波在拓扑边界上的传输未发生任何背散射,实验了一个传输自由度极高、缺陷免疫、损耗极低且具有较宽工作频段的理想的固体声波导。
固体声波中的拓扑态[尤其是量子(自旋)霍尔效应],虽然在理论层面已有所预言,如 2015年提出的在弹性波体系中利用介质的旋转以打破时间反演对称性,或是同年提出的利用具有深亚波长尺度的超构材料构建等效赝自旋。但是,由于这些理论设计都要求极为苛刻(甚至无法达到)工程技术难度,至今无一得到实现。另一方面,迄今所有被实现的拓扑声学系统,都是在仅具有单一振动自由度的(纵波)空气声中完成的。因此,实现固体声波的拓扑态不仅是一个物理层面的挑战,亦具有非常高的实际应用价值。

图12.5:由该固体声波导构建的环形谐振器:a 实验样品由(左侧)一根直波导和(右侧)一根闭合六边形波导(环形谐振腔)构成;b 固体声波在左侧直波导下端被激发并向上传输,整个系统中仅存在对应于一种 " 赝自旋"态的传输模式;c 实验测量的环形谐振腔中能量频谱,观测到两个的谐振峰(103<品质因子 <104 ),谐振频率关于边界态的狄拉克点对称;d和 e 在这两个谐振频率下,样品中的固体声场分布及能流情况。
基于南京大学在人工微结构物理与材料领域的长期研究积累,该研究团队首次提出并成功实现了面向固体声波的(类)量子自旋霍尔效应。实验成功地利用了一种最为简单的结构材料——平板上大小一致的孔洞阵列;经过巧妙设计,这一材料的固体声波能带具有双重简并的狄拉克点,其可被利用于构建两个弹性波的赝自旋态,并最终成功模拟出电子系统中的量子自旋霍尔效应。研究团队利用这一固体材料,首次实现了一个高度理想的固体声波导,并进一步演化、构建出了一系列前所未有的针对固体声波的原型器件,例如:具有极低损耗并可被设计成任意形状的固体声波传输线、固体声波分路器、固体声波谐振腔,等等。这一系列具有优异性能特性的固体声波原型器件,为未来片上集成声路的实现提供了重要基础。

图12.6:固体声波拓扑绝缘体边界上呈现出的纯自旋流( pure spin current):a 实验构架为在直波导(拓扑边界)中放置上下两个声源,各自分别向上、下两个方向同时激发具有 "自旋- 动量锁定" 的传输态;b 在两个声源的中间区域,即同时存在有两种 " 赝自旋"对应的、能流相反、振幅一致的固体声波。 c 实验测量到的该区域内的固体声场分布:可见这一区域中声场的总能流虽然为零,却存在一个在空间上延着边界呈螺旋性的赝自旋传输。
同时,研究团队利用激光干涉测量的方式对固体声的声场进行了精确测定,首次实验观测到了玻色光/声子系统赝自旋态的展现形式及其演化特征,并进一步证实了拓扑绝缘体所独具的具有" 自旋-动量锁定的"螺旋边界态( helical edge state ),及边界上的纯自旋流(pure spin current),为理解玻色及费米系统的拓扑性质及与自旋(或赝自旋)相关的传输行为提供了生动的物理图像。南京大学的余思远副研究员及何程副教授是该论文的共同第一作者;卢明辉教授、刘晓平教授、陈延峰教授为该论文的共同通讯作者。南京大学的王振、刘福康、孙晓晨博士、李政博士及南方科技大学的卢海舟教授共同参与了该课题的研究。研究得到了科技部国家重点研发计划、国家自然科学基金委、中组部青年千人计划等项目的支持。
13、拓扑声学定向天线
南京大学物理学院声学研究所刘晓峻教授、程营教授课题组在拓扑声子晶体研究方面取得重要进展,他们利用声学谷霍尔拓扑绝缘体成功构造了具有高指向性和抗干扰能力的声学天线,相关研究成果2018年9 月6日以《Directional Acoustic Antennas Based on Valley-Hall Topological Insulators 》为题发表在国际权威期刊Advanced Materials第30卷36 期上 [Adv.Mater. 2018,1803229]。南京大学物理学院博士研究生张志旺和田野为论文共同第一作者,程营教授、刘晓峻教授及西班牙马德里卡洛斯三世大学Johan Christensen教授为论文的共同通讯作者。
在自然界中,很多动物可以依靠自身的生物组织产生高指向性声束或者接收特定方位的声信号,以此构建出独特的通信系统,比如海豚可以产生宽度约为16°的高指向性声束,用于在复杂环境中以高分辨率检测和追踪猎物。而人类由于缺乏类似功能的器官组织,导致产生和接收的声信号指向性很差。在需要高指向性声波的实际应用场景下,人们一般采用基于相控阵技术的麦克风阵列主动控制系统,而这种技术需要大尺度的阵列以及复杂的算法支持。近些年也有一些研究表明可以利用声子晶体等频线理论和声学共振腔抑制辐射等被动方法产生指向性声束,但是较窄的工作频段以及较宽的声束宽度限制了其实际应用。
近些年来,拓扑学在声学系统中的研究成为领域研究热点,声学拓扑边界态的无损传输以及较好的鲁棒性等特点为新型声学功能器件的探索提供了新的思路。刘晓峻教授、程营教授课题组设计了一种基于声学谷霍尔拓扑绝缘体的高指向性声学天线,并通过实验验证了其在嘈杂声学环境中的高指向性辐射和接收声波的功能(图13.1 )。首先,通过对声学二维Kagome晶格初基元胞中三单元间距的收缩以及放大,在第一布里渊区顶点上产生了具有不同谷自由度的谷态,并且在一定频段产生完全禁带。如图13.2( a)-(b)所示,虽然收缩和放大单元之后声子晶体的色散图没有发生变化,但是第一布里渊区顶点处的谷自由度发生了反转,表现为谷态声强的方向发生了互换。这种反转可以用等效谷陈数( valley-Chernindices)理论来解释,不同的扰动会导致符号相反的谷陈数,而在不同谷陈数系统之间的边界上就会产生受拓扑保护的谷传输边界态,如图13.2( c)所示,根据不同谷陈数系统的位置变化可以将边界分为Positive边界和Negative 边界。图13.2(d)表示实验上测得的有弯曲缺陷边界和没有缺陷情况下的透射谱,表明这种谷传输边界态对弯曲缺陷具有较好的鲁棒性。
这种谷霍尔拓扑绝缘体的另一大特点在于,当声子晶体的终端边界为zigzag边界时,声波从拓扑波导出射后在与空气之间的界面上不会发生背向散射,并且满足广义斯涅尔定律,从而可以沿特定角度辐射高指向性声束。如图 13.3(a)所示,K谷激发的声波沿 Negative边界向右传输至终端边界时,可以通过斯涅尔定律得到声波出射的方向角θ。实验测得辐射声束能量半高宽小于 10° ,声束效率(Beam Efficiency)达到97.51%(图 13.3 (b))。如图13.3( c ),实验上也证明其工作频段与拓扑边界态所处频段一致,即实现了高指向性的宽频声学辐射天线。图13.3(d ) -(f)为K’ 谷激发的声波沿 Positive边界向右传输时天线辐射角的理论及实验验证,表明我们可以通过设计声子晶体的结构实现辐射角度从正到负的转变。这种拓扑声学天线不仅可以辐射指向性声波也可以用来接收特定方向的声信号,并且在复杂的声学背景环境中同样适用,这为我们从嘈杂环境中定向提取目标信号提供了可能。如图 13.4 所示,我们需要从背景噪声中提取目标正弦信号,在没有拓扑声学天线的位置实验测得的时域信号和变换后的频域信号(图13.4(b ) -(c))表明目标信号已经完全被背景噪声淹没。而经过拓扑声学天线的定向接收和特定频段信号提取之后,如图 13.4 (d)-( e )所示,背景噪声被隔离在天线之外,而目标信号被接收。
该工作将拓扑声学的理论与声学新功能器件相结合,为声学器件的研究提供了新的思路,并且对进一步推动声学通信系统以及水下通讯技术的发展提供了可能。
该项工作得到国家重大科学研究计划(2017YFA0303702)、人工微结构科学与技术协同创新中心、国家自然科学基金、江苏省杰出青年基金和南京大学博士研究生创新创意研究计划项目的支持。

图13.1:拓扑声学天线示意图。左图显示拓扑声学天线具有高指向性的声辐射能力且波束宽度窄,不会对其他范围听者产生干扰。右图显示在复杂声学背景环境中,拓扑声学天线仍然可以根据需求从中接收特定角度、频段的声信号而其他信号对此不产生干扰。

图13.2:(a )-(b )通过收缩和扩大Kagome晶格元胞中圆柱单元的间距在第一布里渊区顶点处产生具有不同谷自由度的谷态。( c )带状声子晶体色散图,表示具有不同谷霍尔相的结构之间产生拓扑边界态。(d)不同边界条件下实验测得的透射谱。

图13.3:(a )-(c )沿Negative边界向右传输的声波从端口出射后辐射方向的理论分析、仿真结果以及实验验证,出现负折射现象。( d )-(f )沿Positive边界向右传输的声波从端口出射后的辐射方向的理论分析、仿真结果以及实验验证,出现正折射现象。

图13.4:拓扑声学天线的抗干扰信号接收能力。( a)拓扑声学天线只接受特定角度、频段的声信号而其他信号对此不产生干扰,正弦信号为目标信号,噪声信号为背景干扰。(b ) -(c )在没有天线位置接收到的时域信号和频谱。( d)- (e )在天线中接收的时域信号和频谱,已将目标信号从背景噪声中成功提取。
14、可编程声拓扑绝缘体
江苏大学孙宏祥副教授课题组和南京大学刘晓峻教授课题组合作在声拓扑绝缘体的研究中取得突破,首次实现了可编程声学拓扑绝缘体,并基于可编程拓扑绝缘体实验验证了功能可反转的声逻辑器件。与传统的拓扑绝缘体相比,可编程拓扑绝缘体的可重构性有望促进其在集成电路、量子计算及智能材料等领域产生重要的应用。相关成果于2018 年10月8日以 "Programmable Coding Acoustic Topological Insulator" 为题在线发表在顶级期刊《Advanced Materials》上。孙宏祥副教授、袁寿其教授、刘晓峻教授为共同通讯作者,孙宏祥副教授课题组硕士生夏建平与贾鼎讲师为共同第一作者。
量子霍尔效应与量子自旋霍尔效应的发现为拓扑绝缘体研究揭开了序幕。拓扑绝缘体能带结构的拓扑性质使其具有独特的特性:如自旋相关的单向传输及背散射抑制的鲁棒性等,有望在自旋电子学、热电以及量子信息等领域获得应用。近年来,由于声拓扑绝缘体在消声降噪、单向传输及声通信等领域具有潜在的应用价值,拓扑绝缘体迅速成为声学领域的研究热点。通过引入环形流场、谷态及"赝自旋"等方式,可以在声学系统中构造出 "类自旋"自由度,从而实现多种具有拓扑保护的声拓扑绝缘体。在此基础上,设计不同形状结构的声拓扑绝缘体可以构建具有拓扑保护的不同声传播路径。然而,现有的拓扑绝缘体功能较为单一固化,无法满足其在实际应用中所需的智能化与可重构性。因此,设计具有可重构性的声拓扑绝缘体是当前亟需解决的难题。
在这项工作中,研究人员基于蜂窝状声子晶体首次提出了可编程声拓扑绝缘体概念,通过改变单元圆柱的直径实现了声子晶体的能带反转,并将拓扑平庸与非平庸声子晶体分别定义为数字单元"0"和"1" 。与传统的声拓扑绝缘体不同,通过变换可编程声拓扑绝缘体的编码,可以灵活地实时调控拓扑绝缘体中的声传播路径。在该工作中,他们首先通过变换编码,在相同的可编程声拓扑绝缘体中分别实现了单个直角通道、双直角通道、多通道及分叉型通道等多个复杂的声传播路径;进而基于单片机系统、气压系统(气缸及电磁阀)及3D 打印的结构单元在实验上实现了可编程声拓扑绝缘体;并通过所设计的软件系统控制声拓扑绝缘体的编码状态,分别在实验上实现了单刀单掷与双掷声开关。此外,他们基于可编程声拓扑绝缘体还在实验上实现同时具有"或 (OR)"和"异或(XOR)" 功能的声逻辑器件,并通过变换声拓扑绝缘体编码反转 "或(OR)"和" 异或(XOR)"逻辑功能。该工作所实现的可编程拓扑绝缘体具有可重构性与自动化控制等特性,得到了《Advanced Materials》评审的高度评价,认为该工作具有高度的原创性,有效地推动了声拓扑绝缘体这个迅猛发展的领域的实际应用,并且有望引起电子与光拓扑绝缘体领域更多的思考,呈现出极大的发展潜力。
该项工作得到国家重大科学研究计划(2017YFA0303702)的支持。

图14.1:可编程声拓扑绝缘体及其对应的声子晶体色散关系。 (a)可编程声拓扑绝缘体及其数字单元"0" 和"1";(b)(c) 拓扑平庸与非平庸声子晶体的色散关系。

图14.2:数字单元"0" 和"1"界面色散关系与边缘态。(a) 可编程声拓扑绝缘体及其数字单元" 0"和"1"; (b)(c) 拓扑平庸与非平庸声子晶体的色散关系。

图14.3:可编程声传播路径。(a) (b) 单直角与双直角通道对应的编码CS1和CS2 ; (c) (d)CS1和CS2对应的声强分布; (e) (f) 多通道与分叉型通道对应的编码CS3和CS4 ; (g) (h)CS3和CS4对应的声强分布。

图14.4:可编程声拓扑绝缘体的软硬件系统。 (a) 可编程拓扑绝缘体软件系统;(b)单片机自动控制系统;(c) 气缸控制的数字单元" 0"和"1"; (d) 可编程拓扑绝缘体表面。

图14.5:单刀双掷声开关。(a) 编码CS5对应的声强分布,O1 端为"开", O2端为"关";(b) 编码 CS6 对应的声强分布,O1端为"关",O2 端为"开"; (c) (d)编码CS5与 CS6 对应的O1与O2 端透射谱。

图14.6:声逻辑器件。(a) 编码CS7,I1/I2 为输入端, O1/O2为输出端;(b) (c)(d) 输入态分别为 {s1, s1}, {s1,s0} 及{s0, s1}对应的声强分布;(e) A1-A6 区域的声压分布; (f)不同输入态对应的输出声强级与真值表。

图14.7:声逻辑功能反转与实验验证。(a) 编码CS8;(b) 输入态 {s1, s1}对应的声强分布;(c) (d)(e) (f) 声逻辑器件实验测量结果。
15、基于全介质材料实现二维高阶拓扑光子绝缘体
南京大学现代工程与应用科学学院的研究人员首次理论提出利用全介质材料实现二维高阶拓扑光子绝缘体的方案。相关研究成果于2018年 11月26日发表在《Physical Review B. 》上( Phys. Rev. B, 98,205147 (2018).)。
从雨水到雪花,从铅笔芯到钻石,同样化学成分的物质具有不同的相和相变过程,诠释了自然万物的丰富多彩。起初,科学家们发现大部分相变过程都可以用一种连续的对称性破缺的过程去解释。近年来,一种超过这种解释范围的新型物质相,拓扑相被人们发现和研究。光子晶体由于其特殊的周期结构,可控的几何结构和介电参数,是理想的研究拓扑相的平台。同时光子晶体本身也可以用来调制电磁波的传播和分布。在光子集成芯片,光量子计算机,和光通信领域有着广泛且重要的应用。
高阶拓扑绝缘体相是最近被科学家研究发现的一种新型拓扑物质相,具有非传统的体-边界对应关系和新型低维拓扑边界态的材料。这些新型低维拓扑边界态,比如拐角态和铰链态具有一些特殊性质,比如亚波长,分数荷以及鲁棒性。之前,人们在光学系统中主要的实验方案需要在光子晶体格点之间引入负耦合。这一点大大复杂了光子晶体的结构和制备难度。
团队提出一种新型的实现二阶拓扑光子绝缘体的方案。该方案不需要引入负耦合性质,结构简单。通过理论分析和数值模拟,证实设计的方案中具有拓扑鲁棒性的零维拐角态,而且同时具有传统的一维拓扑边界态。如图13.1所示,在两种光子晶体的拼接结构的四个拐角中,分别具有局域的场分布。边界态具有亚波长的特征。这种亚波长的拓扑拐角态为将来点源拓扑激光器件的设计提供了可能。另外,共存的一维边界态和零维拐角态可以通过控制光子晶体的结构来控制其产生消失,从而为设计拓扑芯片开关提供可能。而四个拐角态所具有的相同强度光场分布,为设计和研究拓扑光等分器件提供理论支持。

图15.1:在一种拼接结构中,实现二维高阶拓扑光子绝缘体和拐角态。
南京大学解碧野博士后为本文第一作者,南京大学卢明辉教授、苏州大学蒋建华教授为共同通讯联系人。南京大学王洪飞同学、朱学艺同学、苏州大学王海啸同学对本文亦有重要贡献。该研究由自然科学基金等项目资助,同时得到人工微结构科学与技术协同创新中心等平台与项目的大力支持。
16、光子晶体中的连续区束缚态研究
南京大学现代工程与应用科学学院固体微结构国家实验室与江苏人工功能材料重点实验室,在将双层光子晶体结构用于光的连续区束缚态的理论研究上取得重要进展,实现了双层光子晶体体系中具有TE与TM 模式耦合的混合模式连续束缚态,大大扩展了连续区束缚态的产生条件。相关研究成果于12月8日发表在《 Physical Review B》上(Phys. Rev. B. 2018,98, 214101)。
光子晶体是1987年开始提出的一种新概念和新材料。这类材料的一个显著的特征是可以人为的控制光子的运动。由于其独特的性质,光子晶体可以制作全新原理的或以前不能实现的高性能光学器件。当微电子技术正在走向物理上和技术上的极限,以光子代替电子作为信息载体是长期以来人们的共识。利用光子晶体器件来代替传统的电子器件,实现更新奇与自由的光操控成为一种重要的可能途径。
而在亚波长尺寸实现光场的束缚是光电子领域一个广为关注的问题。它是实现众多关键器件的前提和基础,如光缓存器、光隔离器、光逻辑单元和光量子信息器件等。传统上,研究人员通过光学或表面等离子激元的微腔来实现光的禁止逃逸。然而这些结构在加工或引入金属方式上都会引入极大的损耗破环设想的局域环境。

图16.1:双层光子晶体体系:空间对称性与TE-TM 混合局域束缚态模式
连续束缚态是一种具有连续的辐射谱、在允许光波逃逸的情况下仍然可以实现光束缚的态。团队通过引用双层光子晶体板之间的旋转对称性,首次提出一种多层光子晶体系统的局域束缚态,实现了具有TE-TM耦合的局域束缚态。工作加深并扩展了人们对束缚态产生机制的认识,为具有多种对称性以及混合偏振的束缚态产生和调控提供了新的方法和手段。工作澄清了多层板结构可调连续束缚的内在物理机制,为精确的光束缚的设计和操控奠定了基础,在光缓存器、光逻辑器以及光量子信息调控方向具有巨大应用潜力。
南京大学王洪飞同学为本文第一作者,南京大学卢明辉教授为通讯联系人。南京大学Samit Kumar Gupta同学和朱学艺同学对本文亦有贡献。该研究受国家重点研发计划、自然科学基金等项目资助,同时得到固体微结构国家重点实验室、人工微结构科学与技术协同创新中心、江苏省人工功能材料重点实验室等平台与项目的大力支持。
17、基于损耗型声超材料实现声波精细操控
最近,南京大学物理学院声学研究所、人工微结构科学与技术协同创新中心程建春教授和梁彬教授在声波操控研究方面取得重要突破,最新研究成果以"Fine manipulation of sound via lossy metamaterials with independent and arbitrary reflection amplitude and phase" 为题发表在2018年4月 24 日的<Nature Communications
1632(2018), doi:10.1038/s41467-018-04103-0]。论文的第一作者是南京大学博士生朱一凡,南京大学梁彬教授、程建春教授和华中科技大学祝雪丰教授为共同通讯作者。
该工作利用损耗型声超材料首次实现了声波振幅和相位的解耦操控,并通过实验展示高质量单平面二维和多平面三维声全息生成等现象,证明了此类超材料对三维声场的精细操控的能力。与传统的纯相位声全息相比,基于振幅和相位解耦操控的声全息方法具有设计简便、成像质量好和保真度高等重要优势。
三维声场的精细控制是声学领域中长期存在的关键科学问题,在超声成像与治疗、建筑声学及粒子操控等多个领域都具有重要的应用前景。然而,任意一个声信号包含幅值和相位信息,声波的完全控制要求能够对两个自由度进行独立调制,但这仍然是一个具有挑战性的难题。另一方面,能量损耗的存在通常被认为会破坏声波操控效果,因此现有的声超材料研究大都局限于无损耗的声学系统。程建春课题组提出了全新的研究思路,通过人为引入受控的能量损耗,开辟了新的声波操控自由度,发展了损耗型声超材料的设计理论,实现了对声波振幅和相位的解耦调制。所设计的损耗型声超材料具有简单的开孔结构,可利用 3D打印进行快速制备。通过在超材料背部设置吸收边界和调控结构参数,引入可控的泄漏损耗,严格证明了该体系中反射声波的振幅和相位可以分别在[0,1]和 [0,2π] 范围内进行独立操控,并通过产生高质量的Airy束、多焦点聚焦及声学全息投影,在理论和实验上展示了基于新机制的声波精细操控效果。
图17.1对比了幅度相位解耦调控与传统的纯相位调控方法在产生高复杂度声全息方面的能力,幅值相位法声全息具有简单的设计过程(图17.1a,b ),目标像为南京大学校徽图案(图17.1c)。数值模拟结果证明,通过利用损耗型超材料对幅度和相位进行独立操控,可产生高质量、高保真度的声全息(图17.1d ),不仅避免了繁复的计算机优化设计过程,其效果亦明显优于传统纯相位优化方法(图 17.1e)。
图17.2和17.3分别展示了二维及三维声全息的实验结果。利用损耗型超材料在单个平面上投射出树叶图案的二维声全息像(图 17.2a-c),实验结果(图17.2d)与模拟(图17.2e )结果吻合较好,优于传统纯相位方法(图 17.2f),并通过计算相关度来定量分析(图17.2g-i)。基于此,进一步在实验上实现了多平面的三维声全息(图17.3a-c )生成,数值(图17.3d)和实验(图17.3e)结果展示了损耗型超材料可在三个不同平面上分别投射字母 "N", "J", "U"。
该项工作得到国家重点研发计划、国家自然科学基金、南京大学登峰人才计划(B类)、江苏高校优势学科建设工程项目和南大博士研究生创新能力提升计划(A 类)等项目支持。

图17.1:(a )声全息重建示意图。(b)LAM 声全息示意图。(c)目标全息图像。(d )幅值相位全操控的数值模拟全息像。(e) 传统纯相位法数值模拟全息像。

图17.2:(a) 目标全息图像。(b)计算振幅相位分布。( c )LAM样品。(d )数值模拟的振幅相位全息图。(e)实验测量的振幅相位全息图。( f )纯相位数值模拟图。(g)相关度与频率的关系。( h )相关度与距离的关系。(i)相关度与背面阻抗的关系。

图17.3:(a )多平面三维全息示意图。(b)计算振幅相位分布。( c )LAM样品。(d )数值模拟的三个平面的全息像。(e)实验测量的三个平面的全息像。
全文链接:
https://www.nature.com/articles/s41467-018-04103-0
18、利用声学角动量实现高效并行声学信息传输
南京大学物理学院声学研究所程建春教授团队利用声学轨道角动量实现多路复用的实时信息传输。该成果以Twisted Acoustics: Metasurface-enabled Multiplexing and Demultiplexing为题,于 2018年3月20日在线发表在国际权威杂志《先进材料》上( Adv. Mater. 2018,1800257)。南京大学江雪博士为第一作者,梁彬教授、程建春教授及新加坡国立大学仇成伟教授为本文共同通讯作者。
以声信号为载体的信息传输在众多领域具有不可替代的重要性,例如深海探测、海底通讯等。由于海水对电磁波的强吸收和散射严重阻碍了电磁通讯在海洋领域的应用,使得声波成为海洋中信息传输的主要载体。高速、海量的数据传递对声信息传输系统提出了巨大挑战,多路复用成为解决这一难题的趋势。然而,现有的基于频率、幅值、相位等自由度的多路复用手段已不能满足日益增长的数据传输需求。与电磁波相比,作为标量波的声波并不具备偏振这一自由度,同时声波的低频率和低传播速度也制约了声信息传输的效率。如何进一步扩展声信息传输系统的带宽,成为亟需解决的关键技术难题。
针对这一挑战,研究团队引入声轨道角动量OAM (Orbital Angular Momentum)这一独立于现有多路复用维度(频率、幅值、相位)的新自由度,打开了声学多路复用的新通道,并首次利用亚波长的声学超表面进行信息解复用,真正实现了纯被动式、基于 OAM的动态、高效、大容量声信息传输(如图18.1所示:基于OAM 的声学信息传递技术的原理示意图以及与已有多路复用的对比图)。携带 OAM的声涡旋场的螺旋形波前可用来描述。由于不同拓扑电荷数m 的OAM构成的希尔伯特空间的正交性和无限性,作为信息载体的OAM态的数目也是无限且相互正交,这有效避免了传输过程中的模式损坏和模间串扰,为基于 OAM的声信息传输提供了广阔的可能性。通过引入基于声共振的声学超表面对拓扑电荷数的级联运算,能够仅凭单个麦克风就实现信息的直接读取,而不需要任何的算法分析或后处理过程,这将极大地简化现有声信息传输系统的复杂性。基于此,课题组在实验上成功将图片信息编码于不同OAM 态进行实时同步传输,在接收端完美重现出图片信息,并达到几乎100%的传输准确度(如图18.2所示:实时的图片传输实验结果,图 18.3:将基于声学轨道角动量的信息传输与多载波调制技术结合,进一步提高传输效率)。
该研究为使用多路复用技术进一步提高声信息传输系统的信道容量开辟了新的途径,也为声学超表面的设计和应用提供了新的方向。

图18.1:基于声学轨道角动量的并行信息传输原理示意图以及与已有技术的对比图。

图18.2:利用声学轨道角动量实现的实时图片信息传递。

图18.3:将基于声学轨道角动量的信息传输与多载波调制技术结合,进一步提高传输效率,在实验上成功完成实时图片传输。
19、激光"雕刻"3D非线性光子晶体
南京大学的张勇教授、肖敏教授、祝世宁院士领衔的科研团队,联合中国科学技术大学的吴东教授、李家文副教授等人,通过飞秒脉冲激光的选择性擦写(erase)技术,首次在铌酸锂(LiNbO3 )晶体中制备出三维非线性光子晶体(Nonlinear Photonic Crystal),其等效转换效率与典型的准相位匹配(quasi-phase-matching)过程相当,该成果为未来的非线性光子学研究提供了极具潜力的三维应用研究平台。相关工作以" Experimental demonstration of a three-dimensional lithium niobate nonlinear photonic crystal"为题发表在8月 20日的光学顶级期刊《Nature Photonics》上。
光学倍频效应是一种常见的光学非线性现象,它可以通过非线性晶体将某一特定频率的激光转换为原频率两倍的激光,例如能够将1064 nm的红外光转换为532 nm 的绿光。因此,该效应在激光、通信、传感、显示等方面有着巨大的应用前景。
为了得到较高的非线性转换效率,光波在非线性晶体中必须满足相位匹配条件(phase-matching condition)。相位匹配条件如下图所示:参与转换的三个光子之间不仅需要满足能量守恒(即频率ω),还必须满足转换前后的光子的动量(即波矢k)守恒。而对于大多数单晶材料,能量与动量之间的色散关系并不是线性关系,因而上述条件难以同时满足。在前期的研究和应用中,只能通过调节激光与晶体的某一特定角度来实现光学倍频,费时费力,也很难得到较高的非线性转换效率。

1962年,J. Armstrong等人提出了准相位匹配(Quasi-Phase-Matching,QPM)概念[Interactions between Light Waves in a Nonlinear Dielectric, J. A. Armstrong, N. Bloembergen, J. Ducuing, and P. S. Pershan,Phys. Rev. 127, 1918 – Published 15 September 1962] ,并由V. Berger 等人于1998年将它推广到二维结构,提出了非线性光子晶体( Nonlinear Photonic Crystal )的实现概念[Nonlinear Photonic Crystals, V.Berger, Phys. Rev. Lett. 81, 4136 – Published 9 November 1998]。这一研究思路主要基于在非线性晶体中构造周期性结构,通过超晶格、光子晶体在倒空间上的倒格矢来"补偿"光子动量,从而相对容易地满足了动量守恒条件。在该领域的研究中,中国科学家取得了突破性贡献: 1997年,来自南京大学的闵乃本院士团队[S. N. Zhu, Y. Y. Zhu, and N. B. Ming,"Quasi-phase-matched third-harmonic generation in a quasi-periodic optical superlattice," Science 278, 843–846 (1997).] 通过电极化反转的方法制作出准周期极化的光学超晶格准晶结构,在世界上首次利用单束激光、单块晶体实现了三倍频绿光的产生。在他们的研究中,只需一块准周期的介电体超晶格,就有可能将一种颜色的激光同时转换成三四种颜色的激光(如下图所示)。也就是说,一台激光器加一块晶体就"变出"了三四台激光器,充分展示了准相位匹配理论的神奇与魅力。从此,一维、二维非线性光子晶体的研究得到了蓬勃发展,涌现出准相位匹配增强的光弹性散射、拉曼散射、非线性切伦科夫辐射、非线性泰堡效应等新颖的光学效应,在无透镜量子鬼成像、非线性光束整形、光量子信息处理等方面有着许多新的应用。

然而,包括晶体生长、电场极化在内的传统制备技术都很难在晶体内部"雕刻"出三维周期性电畴结构,因而制备三维非线性光子晶体成为近二十年来科学家一直难以攻破的科学难题,限制了光学非线性在更高维度、更大自由度上的潜在应用。
在该研究中,科研人员采用峰值能量极高的飞秒脉冲聚焦激光,有选择性地改变了铌酸锂(LiNbO3)晶体内部的局域二阶非线性系数,从而定点地"构造"出一种周期性的三维非线性光子晶体,获得了与以往研究相同的非线性转换效率。与以往的制备技术相比,这里的制备方案不再是通过飞秒激光实现晶体内相邻电畴的极化反转,而是利用高能激光束"擦除"或改变晶体的非线性系数,实现了非线性特性的三维空间调制和图案化。

图19.1:相位匹配机制与制备技术示意图 a 二次谐波光场强度与相位匹配机制的依赖关系;b 基于飞秒脉冲激光加工技术的3D 非线性光子晶体结构示意图。
图19.1为利用飞秒脉冲激光加工三维非线性光子晶体的示意图。这里所采用的非线性晶体为5% MgO掺杂的 LiNbO3单晶,构造出一个简单的四方结构,xyz三个方向上的周期分别为3μm 、 3μm和11μm。为了表征所制备的3D 光子晶体结构,研究人员采用 Čerenkov型二次谐波共聚焦显微镜得到了三维图像(图19.2 a),绿色区域即为所加工出的结构,其二次谐波强度与基底材料有着明显的减弱(图 19.2 b & c ),从而证实了飞秒激光对非线性系数的"擦写"作用(二阶非线性系数越小,二次谐波信号越弱)。

图19.2:样品表征 a 基于Čerenkov型二次谐波共聚焦显微镜得到的三维非线性光子晶体的结构图像;b xy 平面上的二次谐波图像; c图b中黑线上的二次谐波光场强度。
为了验证三维光子晶体的二次谐波产生(Second-Harmonic Generation,SHG)现象,研究人员测量了激光照射下的二次谐波的出射图像。如图 19.3所示,根据相位匹配理论以及光子晶体的倒格矢,二倍频激光将沿着特定的空间角度出射,也就会在某一特定平面上(这里是xz平面)形成相应的二次谐波光斑。实验测量结果与理论计算完全一致,表明三维非线性光子晶体的确"参与"了二次谐波的产生,其倒格矢可以"补偿"入射光的波矢以满足动量守恒条件。

图19.3:3D非线性光子晶体中的二次谐波产生 a三维倒格矢与波矢匹配;b 二次谐波平面映射的实验测量与理论计算结果。
研究人员还对比了三维非线性光子晶体与均一材料在二次谐波产生强度上的差异,测量结果如图19.4所示。可以明显地发现,三维光子晶体在829 nm 波长处存在明显的二次谐波峰值,而均一LiNbO3晶体几乎没有任何二次谐波输出,证明了该结构对二次谐波产生的增强作用。此外,当入射光功率为1.5 W 时,测量得到的共线倍频转换效率达到了 ~1.2 × 10−4 ,总体转换效率达到了2.3× 10−4,并且仍有优化的空间。

图19.4:二次谐波的输出功率 a 二次谐波功率与波长的依赖关系;b 829 nm波长下,二次谐波功率与输入光功率的函数关系。
这里的研究与同一期《Nature Photonics》上由澳大利亚国立大学与山东大学等研究组合作完成的研究工作有异曲同工之处,他们也采用飞秒激光加工的方法在BaCaTiO晶体中制备了高质量的三维非线性光子晶体。我们公众号在8月12号的"超材料前沿研究"一周精选栏目中就已经报道这一工作,并大胆预测该技术可以在 LiNbO3 等典型的非线性光电材料中有所应用。可以预见,这两篇论文的诞生将引领科研界对三维光子晶体更为广泛的关注。
LiNbO3晶体是目前应用最广的非线性光子晶体材料之一,该三维结构加工方案相对比较容易在现实中得以应用,并与现有的非线性光学调制技术兼容。如今,激光加工的技术相对比较成熟,该技术可以很容易地扩展到包括LiTaO3 和KTiOPO4晶体在内的多种非线性材料体系。此外,这种激光工程方法可以应用于制造更为复杂的非线性光子结构,用于非线性光波的精确三维操纵,在非线性光束整形、非线性成像、三维非线性全息等方面具有潜在的应用前景。此外,作者还注意到该技术有可能应用于最近比较热门的非线性光子超材料中去,有可能替代目前的三维非线性光子晶体研究体系。
南京大学为论文第一单位,南京大学魏敦钊博士、王慧君同学、胡小鹏副教授和中国科技大学汪超炜同学为共同第一作者,通讯作者为张勇教授,吴东教授,祝世宁教授和肖敏教授。该项研究工作得到了科技部国家重点研发计划、国家自然科学基金、固体微结构物理国家重点实验室和人工微结构科学与技术协同创新中心的支持。
20、CdSe/CdS纳米晶团簇的单光子发射
南京大学物理学院、固体微结构物理国家重点实验室、人工微结构科学与技术协同创新中心的王晓勇教授、肖敏教授课题组在纳米晶团簇的单光子发射研究方面取得重要进展,相关成果以"Photon Antibunching in a Cluser of Giant CdSe/CdS Nanocrystals"为题,以南京大学为第一单位发表在 2018年4月18日的《自然 -通讯》上(Nature Communications 2018, 9,1536;https://www.nature.com/articles/s41467-018-03971-w )。该论文的共同第一作者为南京大学物理学院2013级直博生吕碧沪和博士后张辉朝,第一通讯作者为王晓勇教授,共同通讯作者为肖敏教授和东南大学的张家雨教授。该项研究工作得到了科技部国家重点基础研究发展计划、国家自然科学基金、南京大学登峰人才计划和中央高校基本科研业务费的资助。
由于量子受限效应所导致的尺寸与形状依赖的光学特性,半导体胶体纳米晶长期以来无论在基础研究还是器件应用方面都得到学术界的广泛关注。在激光、发光二极管、光探测器和太阳电池等光电器件中,半导体胶体纳米晶通常被堆积成致密薄膜而存在着相互作用,对由此产生的关联光电行为进行系统的了解和调控将会大幅度地提高光学增益、光吸收/ 发射和载流子输运等参数指标。常见的相互作用主要包括共振能量转移和电子相干耦合,通常发生在具有纳米尺度距离的几个纳米晶之间,而如何从大密度薄膜中隔离开这样的一个作用体系,从而通过消除系综平均效应来凸显精细的作用机制,长期以来一直是纳米晶光学特性研究领域一个具有挑战性的学术难题。

图20.1:(a) 大量CdSe/CdS纳米晶团簇的TEM 图像。(b)、(c) 单个CdSe/CdS纳米晶团簇的高分辨TEM 图像。
在该项工作中,课题组首先合成了大尺寸的CdSe/CdS核-壳纳米晶结构,其中CdSe核的直径为4.2 nm,外面包裹的CdS 壳为 20个单层厚度(每个单层0.35 nm)。通过调节纳米晶外部的钝化配体并采用多次提纯处理,利用表面自由能的最小化和偶极吸引作用,课题组成功实现了纳米晶团簇结构的大批量合成(图 20.1a)。其中每个团簇中包含4-5个CdSe/CdS 核 -壳纳米晶(图18.1b, c),相邻纳米晶较大的中心距离(~20 nm )完全抑制了共振能量转移的发生,而较小的边缘距离(~1-2 nm)使得几个纳米晶电子波函数之间的相干耦合成为可能。采用单粒子光谱测量技术,课题组在室温下观察到单个纳米晶团簇的高效率荧光发射(图 20.2a ),而每个纳米晶团簇和单个独立纳米晶相比具有4倍以上增强的光子吸收截面。在4 K低温下,单个纳米晶团簇具有多峰的荧光发射光谱(图 20.2b),分别来自于其所包含的各个CdSe/CdS纳米晶,但同时仍然保持了高纯度的单光子发射特性(图 20.2c ),这与4-5个独立CdSe/CdS纳米晶的整体荧光发射几乎不具备单光子特性产生了强烈对比。课题组认为在团簇中纳米晶之间的相干耦合作用下,一个纳米晶中的光生激子可以通过非荧光发射俄歇复合过程将能量传递给相邻纳米晶中的光生激子,导致最后团簇中只有一个纳米晶保存有激子并在跃迁到基态后产生单光子发射。

图20.2:室温下多个CdSe/CdS 纳米晶团簇的荧光图像。4 K低温下单个CdSe/CdS 纳米晶团簇的 (b) 多峰荧光光谱和 (c) 高纯度单光子发射。
该项工作的重要科学意义在于以下三个方面。第一,纳米晶团簇的合成以及其具有的超大吸收截面,不仅实现了低能量注入下的高效率单光子发射,而且为研究单个纳米晶向纳米晶分子过渡中的光电特性演化提供了一个独特的材料平台。第二,将以往单个纳米晶之内激子之间的俄歇复合作用拓展到了多个纳米晶之间,从而为基于大密度纳米晶薄膜的光电器件应用凝练出一个需要重点审视的基本物理过程。第三,单个纳米晶团簇多峰发射所对应的多能级结构以及相互之间的相干耦合,为进一步采用电学或光学方法进行精细调控来实现量子逻辑运算单元提供了新的机遇与可行性。
21、单个钙钛矿纳米晶的精细能级结构
南京大学物理学院、固体微结构物理国家重点实验室、人工微结构科学与技术协同创新中心的肖敏教授、王晓勇教授课题组在单个钙钛矿纳米晶的精细能级结构研究方面取得重要进展,相关成果以"Bright-Exciton Fine-Structure Splittings in Single Perovskite Nanocrystals" 为题,以南京大学为第一单位发表在2017年7月的 << 物理评论快报>>上(Phys. Rev. Lett. 119, 026401 (2017) )。该论文的第一作者为南京大学物理学院 2016级博士生尹春阳,第一通讯作者为王晓勇教授,共同通讯作者为张宇教授(吉林大学)和肖敏教授。南京大学的张春峰教授以及陈礼阳、宋楠和吕焱同学也对本项工作做出了重要贡献。
单光子发射源在量子力学/光学的基本原理检测和量子信息处理等方面具有重要的基础和应用价值,从2000年至今大量的单光子发射源从人工合成的荧光材料中被发掘出来,其中包括外延生长自组织量子点、胶体纳米晶、金刚石氮 -空位色心、单壁碳纳米管、Pr3+掺杂YAG 晶体、 SiC薄膜以及两维WSe2半导体等。以能分辨出精细能级结构并测量其相干光学特性为标准,之前只有自组织量子点具有类原子的基本特征,而近红外波长发射和复杂的制造工艺使得探测与调控其相干光学特性存在着效率和成本等方面的问题。尽管学术界对可见光波段发射的胶体金属硫化物纳米晶(例如 CdSe)寄予了厚望,但是其荧光闪烁使得基于荧光强度测量的相干光学研究十分困难,其光谱漂移导致的谱线展宽缩短了退相干时间,而其暗激子发射干扰了对能级结构的精细标定。
半导体钙钛矿薄膜材料近年来在太阳电池等光电器件领域取得了飞速的发展,而相应的低维纳米晶结构也由胶体化学方法陆续得到合成。肖敏教授、王晓勇教授课题组于2015年底首次报道了钙钛矿纳米晶的单光子发射现象( ACS Nano, 2015, 9, 12410;目前被SCI他引近50 次),于 2016年进一步揭示了其暗激子发射、荧光闪烁和光谱漂移同时得到抑制的优异光学特性(Nano Lett., 2016, 16, 6425)。这些优异的光学特性,作为近 20 年来传统CdSe纳米晶研究工作中一直追求而无法接近的目标,表明了钙钛矿纳米晶已经完全可以将其超越而形成自身广阔的发展空间。在发表于Physical Review Letters 的本项工作中,课题组采用高精度单粒子光谱测量技术在单个钙钛矿纳米晶中观察到中性单激子的双峰劈裂发射光谱(图 21.1a),并分辨出来自于带电激子和多激子的复杂能级结构(图21.1b),从而揭示了在该新型半导体纳米结构中由于电子 - 空穴的非对称交换相互作用所产生的复杂激子复合动力学过程。

图21:(a )低功率下单个钙钛矿纳米晶的中性单激子双峰劈裂发射;(b)高功率下单个钙钛矿纳米晶的中性单激子 X 、单电单激子X-、双电单激子X2- 、中性双激子XX和单电双激子XX- 的荧光发射谱线。以上时间依赖荧光发射测量的实验温度为4 K。
钙钛矿纳米晶中所展现的类原子精细能级结构表明其同时拥有了自组织量子点和胶体纳米晶的杂化光电特性,从而弥补了这两种重要半导体纳米结构长期缺失的内在关联,Physical Review Letters审稿人高度评价了这项成果,称其为 "先驱性的工作(pioneering work)" 并必将成为钙钛矿纳米晶光特性研究这个新兴学科领域中 "必不可少的参考文献(a binding reference)" 。钙钛矿纳米晶中激子精细能级结构的发现不仅将胶体纳米晶的潜在应用拓展到量子信息处理领域,而且为理解载流子的复合过程从而优化钙钛矿薄膜材料在光电器件运行方面的指标提供了详实的信息。课题组目前在尝试从理论上理解钙钛矿纳米晶激子双峰劈裂发射的内在机制,并采用电、光和磁场等调控手段来消除该能级劈裂以实现可见光波段的纠缠光子对发射。
该项研究工作得到了科技部国家重点基础研究发展计划、国家自然科学基金、南京大学登峰人才计划和中央高校基础科研业务费的资助。
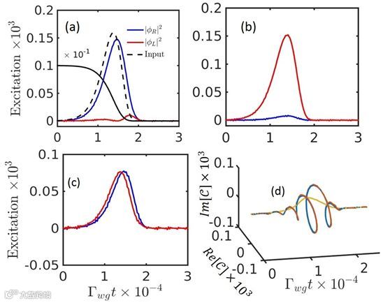
22、热运动诱导的非互易量子光学系统
最近,南京大学现代工程与应用科学学院夏可宇教授与上海华东理工大学龚尚庆教授、钮月萍教授团队合作,共同理论提出并指导实验利用环形光学腔中常温下原子随机热运动诱导的微观多普勒频移实现了常温下全光控制光非互易传输和光隔离。该成果以"Thermal-motion-induced non-reciprocal quantum optical system" 为题,于2018年10月 22 日在线发表在《自然µ光子学》上(Nature Photon. https://www.nature.com/articles/s41566-018-0269-2.pdf) 。
光非互易传输指光沿一个方向通过光学系统或者介质后的特性与其反方向通过后的特性不同。光非互易传输既有基础科学意义,又在光通信、光学系统稳定和光信息处理领域有重要应用,是光隔离器的物理基础。传统光隔离器主要利用法拉第旋光效应,通过在磁光介质中施加强磁场改变其中传输的光的偏振来实现。其尺寸大,需要强磁场而难以集成。探索无磁光隔离新原理和新技术是光非互易研究的前沿,可以用于集成光路。此外,已有很多方法需要低温,导致系统复杂。
夏可宇教授与华东理工大学合作者创造性地提出一种可以在常温下实现无磁场光非互易和光隔离的原理,并在华东理工大学量子光学实验室原理演示。该方案利用了通常认为有害的原子微观热运动,实现了常温下光隔离。在一个环形光学腔中嵌入常温铷原子气体,构建一个腔量子电动力学系统。从两个相反方向入射到光学腔的弱探测光激发两个相反方向传输的光学模式,这两个腔模都与原子有同样强相互作用。由于原子在常温下有强烈的随机热运动,两个光学腔模与原子耦合中存在微观多普勒效应。此时,系统对于该探测光是互易的。利用一个外加控制激光束照射原子团。结果与该光束同向传输的腔模相对于原子感受到同样的微观多普勒频移。原子对探测光的响应受多普勒效应的影响被极大地抵消。而反向传输的腔模的多普勒频移与控制光的相反,对原子响应的影响得到增强。这样,从系统相反方向入射的光具有不同的透过率,实现了无磁场全光光隔离。基于此原理设计的光隔离器将能够工作在常温,结构简单,易于集成。并且理论原理论证适用于单光子隔离。

夏可宇教授为论文共同通讯作者,与主要合作者一起完成了初始原理提出、实验方案设计和理论建模等。该研究由国家重点研发计划、国家自然科学基金、上海自然科学基金及青年千人计划资助完成。同时感谢上海华东理工大学物理学院和南京大学现代工程学院、固体微结构实验室及协同创新中心等单位和平台的支持。
23、光学腔与波导量子系统对光子传输的控制南京大学现代工程与应用科学学院夏可宇教授课题组与国内外开展广泛合作研究了腔与波导量子系统控制光子传输。实验演示了基于原子微观热运动诱导介质极化——动量相关和光隔离;理论揭示了手性非线性光学可以突破动态互易限制实现光隔离;理论提出手性波导量子系统中单原子长时间存储单光子方案;找到一种单个超导量子比特控制单光子传输的微波——光子混合量子接口技术。相关成果分别发表在《Nature Photonics》【1 】、《Physical Review Letters》【2】和《Physical Review A》【3 ,4 】上。
麦克斯韦方程描述光的互易传输。从其导出的洛伦兹互易定理决定了普通光学介质和系统中光的传播是可逆的。光非互易传输指光沿一个方向通过光学系统或者介质后的特性与其反方向通过后的特性不同。光非互易传输既有基础科学意义,又在光通信、光学系统稳定和光信息处理领域有重要应用,是光隔离器的物理基础。光隔离器一种只允许光单向通过的光器件,作用是将反射光与入射光通路隔离开。传统光隔离器主要利用法拉第旋光效应,通过在磁光介质中施加强磁场改变其中传输的光的偏振来实现,其尺寸大,需要强磁场而难以集成。探索无磁光隔离新原理和新技术是光非互易研究的前沿,可以用于集成光路。很多方案往往需要工作在极低温环境。光学非线性一度被作为可以用于实现可集成的光隔离,但是最近研究发现非线性光隔离存在动态互易限制,即不能给隔离弱信号。
光子存储是量子通信、量子计算和量子网络的基础。虽然已经有很多光存储方案,但是高可靠长时间存储单个光子一直是科学家们追求的目标。尤其是可集成光子存储方法的获得将能够极大促进量子信息技术的发展。
超导量子电路是实现量子计算的主流体系,其工作在微波频段,不能直接进行远距离量子通信。光是量子通信的理想载体,但是其能量比微波频段的超导量子比特高5-6个数量级。利用光子实现超导量子电路之间的可靠量子通信是未来构建量子网络的必要条件,需要微波——光子混合量子接口,但是其实现极具挑战。
工作一:
夏可宇教授与合作者创造性地提出一种可以在常温下实现无磁场光非互易和光隔离的原理,并实验演示原理。该方案利用了通常认为有害的原子微观热运动,实现了常温下光隔离。在一个环形光学腔中嵌入常温铷原子气体,构建一个腔量子电动力学系统。从两个相反方向入射到光学腔的弱探测光激发两个相反方向传输的光学模式,这两个腔模都与原子有同样强相互作用。由于原子在常温下有强烈的随机热运动,两个光学腔模与原子耦合中存在微观多普勒效应。此时,系统对于该探测光是互易的。利用一个外加控制激光束照射原子团。结果与该光束同向传输的腔模相对于原子感受到同样的微观多普勒频移。原子对探测光的响应受多普勒效应的影响被极大地抵消。而反向传输的腔模的多普勒频移与控制光的相反,对原子响应的影响得到增强。这样,从系统相反方向入射的光具有不同的透过率,实现了无磁场全光光隔离。基于此原理设计的光隔离器将能够工作在常温,结构简单,易于集成。并且理论原理论证适用于单光子隔离。工作正式发表在《Nature Photonics 》期刊上【Nature Photon., 12, 744-748 (2018)】。

图23.1 实验系统、理论和实验结果
(a)三个镜构成的环形腔与原子耦合腔量子电动力学系统;
(b)-(d) 理论和实验正向传输透过率;
(c)-(e) 理论和实验反向传输透过率。
工 作二:
夏可宇教授小组与合作者通过构建手性非线性光波导实现光非互易和光隔离,突破了非线性光隔离中动态互易限制。在一个空心光波导如空心光子晶体光纤中充入常温铷原子气体,利用一束控制激光诱导弱信号光手性克尔非线性。铷原子气体在一维光波导中存在随机热运动,当信号光与控制光同向传输时感受到相同多普勒效应,当它们反向时感受到相反的多普勒效应。结果,弱信号光在原子中传播时控制场对信号光的交叉非线性调制与其传播方向有关,即光学非线性是手性的。信号光沿两个相反方向通过光波导后的吸收和相位都可以相差很大。只用一根这样的非线性波导,光可以从左往右透过波导但是从右往左传播的光被几乎完全吸收,从而构成了一个光隔离器,透过率可在60MHz 范围相差1000倍。如果把这根非线性光波导与一根普通光波导组合成一个马赫——曾德干涉仪,就可以利用手性相位调制实现光环形器,理论预测保真度可达90%同时附加损耗低于1.6dB。基于此原理设计的光隔离器将能够工作在常温,结构简单,易于集成,不需要高品质光学微腔,并适用于单光子隔离器和环形器。工作正式发表在《Physical Review Letters》期刊上【PRL 121,203602 (2018)】。

图23.2 系统和模型
(a)光学隔离器和环形器结构示意图;
(b)用于诱导手性克尔非线性的N型原子能级图。

图23.3 光环形器的散射矩阵。光环形器保真度大于90%。
工作三:
课题组与合作者提出一种手性波导量子电动力学系统用于存储单光子量子态。用一个Lambda型原子与一个手性波导耦合。手性波导中相反方向传播的光子具有正交的偏振态,耦合到原子两个不同的跃迁。偏振编码的单光子通过一个偏振分束器分成两路入射到手性光波导。光子与原子共振耦合并交换量子态。这样就实现了单原子单光子存储。读出是,用第二个单光子与原子再进行一次交换,提取出第一个光子单量子态。量子存储保真度很高。由于光子量子态存储与原子基态,因此存储时间由基态消相干时间决定,实际中可以很长。工作发表在《Physical Review A》期刊上【PRA 97, 062318 (2018)】。

图23.4 Lambda-型原子耦合到一个手性光波导。光子与原子交换量子态而存储与原子中。
夏可宇教授与国际合作者提出一种超导量子电路控制单光子传输的微波——光子混合量子接口。纳米金刚石中单个硅色心缺陷与纳米光波导强耦合可以控制波导中传输的单光子。利用一束激光照射硅色心可以为波导中传输的单光子打开一个透明窗口,即电磁感应透明。这个透明窗口很窄,对硅色心缺陷能级间相对能量很敏感。硅色心缺陷的能级能量在超导量子比特产生的磁场作用下会由于塞曼效应发生偏移。超导量子比特的磁场极性与其量子态相关。比如超导量子比特处于基态时,其产生的磁场向下,而处于激发态时其磁场向上。这样,超导比特对硅色心能级的控制是量子方式。但是磁场与硅色心等人工原子相互作用通常很弱。本工作首次提出用具有强诱导磁场的mu- 金属增强塞曼效应一个量级,从而增强超导比特与硅色心之间的耦合。结合窄电磁感应透明窗口,理论分析演示了超导量子比特通过控制硅色心能级相对能量控制单光子传输路径即量子混合单光子路由。通过测量超导量子比特,还可以将其量子态转移到单光子偏振编码。该微波——光子混合量子接口技术将可用于未来基于超导量子计算的量子互联。工作正式发表在《Physical Review A》期刊上【PRA 97 ,052315 (2018) 】。

图23.5 超导量子比特控制光子传输
(a) 超导量子比特产生赖于其量子态的磁场控制耦合到纳米光波导的硅色心缺陷透明窗口;
(b) 强磁mu-金属增强超导量子比特磁场与硅色心缺陷耦合。

图23.6 依赖于超导量子比特量子态的单光子传输
(a) 超导量子比特处于基态时单光子向右传输;
(b) 超导量子比特处于激发态时单光子向左传输;
(c) 单光子传输路径与超导量子比特量子态纠缠;
(d) 向右和向左传输单光子的相干。
文章链接:
【1】https://www.nature.com/articles/s41566-018-0269-2
(doi:10.1038/s41566-018-0269-2)
【2】 https://journals.aps.org/prl/pdf/10.1103/
PhysRevLett.121.203602
(doi:10.1103/PhysRevLett.121.203602)
【3】(doi: 10.1103/PhysRevA.97.062318)
【4】 https://journals.aps.org/pra/abstract/
10.1103/PhysRevA.97.052315
(doi:10.1103/PhysRevA.97.052315)
24、高消光比的热光开关:工艺偏差的影响
硅基光子学近年来得到了快速发展,并在光通信与光互联得到了应用。光开关作为硅基光子器件中的一种重要类型,由于其在光互连、光通讯、集成量子光子学、信号处理等方面的应用,引起了人们的广泛关注。由于硅的热光系数较大(∼1.86 ×10−4 K−1),热光开光可以消耗比较小的功率就产生开关效应。马赫-曾德干涉仪 (Mach-Zehnder interferometer ,MZI)结构被广泛应用于2×2热光开关。很多研究致力于实现紧凑性、宽波段、快速、低功率器件的研究。马赫-曾德热光开关的很多性能达到了很高的水平。然而高消光比的研究相对较少。

图24.1:2×2 的MZI光开关示意图,(a) 平面图,(b)加热臂的截面图,(c) 器件光学在显微镜下的实际图。
目前,马赫-曾德尔型热光开关的消光比(ER)仍然处于一个比较一般的水平。通常情况下,对于所有端口,即使是在较好的 CMOS工厂(即硅光器件加工工厂)制造的器件,消光比也很难达到或接近30dB的较高水平。因而在量子光子学、信号处理等领域的一些关键应用中,很难满足要求。理想热光开关的消光比应该非常高,实验中观察到的低消光比应该是由加工工艺的偏差造成。但工艺偏差究竟如何影响消光比一直很少有深入研究。热光器件的结构相对于普通无源波导而言较复杂,其工艺偏差分析也较难找到突破口。
最近,南京大学现代工程与应用科学学院江伟教授团队对2×2型马赫-曾德型热光开关(器件结构见图24.1)进行了深入研究分析。 [文章链接:Rui Zhu; Xin Zhou; Nan Yang;Lemeng Leng; Wei Jiang. Towards High Extinction Ratio in Silicon Thermo-Optic Switches—Unravelling Complexity of Fabrication Variation"IEEE Photonics Journal10(4), 7905708 (2018)] 。实验发现热光开关的直通(bar)状态与交叉(cross)状态的消光比存在很大的差距,并且这种差距不是任意的,且两状态的消光比在某些波长处有近 20dB的差异,最大消光比对应的波长可发生非常大的偏移。为解释此现象,提出对工艺偏差导致的复杂问题采用分级分析的思路,把光开关的工艺偏差在器件级与结构级(指光开关包含的定向耦合器等子结构)两个层次上来考虑,从而在复杂问题中找到线索。结合器件物理的分析,在器件级,直通状态消光比大幅度降低而交叉态较稳定的现象可以用光开关中两个定向耦合器分光比的同步变化来解释这一现象。在结构级,对定向耦合器分光比的变化溯源发现,对于每个定向耦合器的两根平行波导,可能出现的三种变化方式,即宽度或高度同步变化( synchronous variation)、高度不变而宽度出现差分变化(differential variation)、高度和宽度都出现差分变化。结果表明,即使是非常小的差分变化也比相当大的同步变化对分光波长的影响大很多。需要指出的是,在更好的 CMOS加工工艺条件下(通常也意味着较高的成本),这些偏差预期会变小,但原则上仍然存在。该工作指出了热光开关等较复杂硅基光子器件在分析工艺偏差对其性能影响中的复杂性,并提出了分别从器件和结构两层面进行分析的方法来降低复杂度,为较复杂的有源硅光器件分析工艺偏差,提升器件性能稳定性开辟了新的思路。

图24.2:测量得到的光开关光强与加热功率的关系( Input1入射,(a)1550 , (b)1580nm), ( Input2入射,(c)1550 , (d)1580nm)

图24.3:模拟结果,两个定向耦合器分光比对两出口(两状态)消光比的影响

图24.4:实验结果,2×2 开关的四条路径的消光比随波长的变化关系

图24.5:消光比最优波长变化仿真结果
25、首次基于光纤光学技术实现光纤传送的量子安全直接通信
量子保密通信利用量子力学的基本原理实现信息的安全传送,是量子信息技术发展最为迅速的研究领域之一。当前的量子保密通信技术以量子密钥分配为核心,量子信息功能限于密钥的建立和分发,信息的传送依然通过经典方法实现。近年来,这一技术逐渐发展成熟,呈现出与工程技术结合向实用化发展的趋势。与此同时,人们不满足于将量子信息功能仅限于密钥的产生,一直在探索各种基于量子信息的新通信方式,量子安全直接通信( QSDC)是其中代表性的方向之一。最早的QSDC协议基于量子纠缠,它在2000 年由清华大学的龙桂鲁教授提出。尽管在理论上已经研究得比较充分,但是实现这一协议所需的量子纠缠贝尔态产生、检测以及量子存储等功能技术上不易实现,特别是考虑到未来在光纤通信网络中的应用,要求这些功能工作在在光通信波段,目前尚缺乏成熟的技术。因此,基于纠缠的 QSDC在实验上一直未能取得突破性进展。
最近,清华大学的张巍教授团队和南京邮电大学的盛宇波教授基于光纤光学技术首次实现了光纤传送的量子安全直接通信实验,光纤量子信道的长度达到500米。首先,基于清华大学团队在光纤量子光源方面的技术积累,他们针对基于纠缠的 QSDC的要求发展出了实现光通信波段偏振纠缠贝尔态产生的量子光源。由于处于偏振纠缠贝尔态的两光子不但偏振纠缠而且频率简并,因此如何将两个光子分离到两个不同光路成为这种量子光源的技术难点。他们巧妙的将光纤中的自发矢量四波混频效应双向的引入到光纤萨格奈特环路中,利用环路输出端的双光子量子干涉现象解决了两光子分离的难题,为实现光通信波段基于纠缠的 QSDC 创造的条件。进一步的,他们采用光纤光学器件构建了偏振纠缠贝尔态检测系统,并利用色散位移光纤作为光子的缓存器,由此构建了完全基于光纤光学技术的量子安全直接通信实验系统。在此基础上成功实现了量子安全直接通信中的两项关键功能—系统纠缠安全检测和纠缠贝尔态编解码,完整的论证了基于纠缠的 QSDC协议在光纤传输条件下实现的可行性。
这一工作是第一个完整论证QSDC功能的实验,它采用500米光纤作为量子通道,并且利用光纤光学技术系统的实现了纠缠贝尔态产生、检测以及量子存储等关键功能,表明基于与当代光纤通信兼容的成熟技术完全可以实现面向光纤网络应用的 QSDC系统。理论分析表明这种全光纤QSDC方案具有在光纤城域网,接入网以及局域网中应用的潜力。这一工作作为量子通信领域的新进展已获得了广泛关注,被认为是量子安全通信技术走向实际应用的重要一步。

图25:光纤量子安全直接通信实验系统(来自于Science Bulletin 2017 年第22期封面)

两江科技评论
两江科技评论编辑部
免责声明:本文旨在传递更多科研信息及分享,提供志同道合者的交流平台。如涉及侵权,请联系下方邮箱,我们将及时进行修改或删除。转载请注明出处,如原创内容转载需授权,请联系下方微信号。
邮箱:zunzun@imeta-center.com
微信号:18796017560

