
两江科技评论是一个优秀的科研交流平台,旨在发布与传递最新最优质的科研动态与资讯,如果喜欢请点击上方关注我们.
原文作者:
王旭1 ;孙昌璞1,2
(1 中国工程物理研究院研究生院)
(2 北京计算科学研究中心)
本文来源公众号:中国物理学会期刊网
摘要 基础研究前沿领域大多来自人们对自然规律的自由探索,然而国家需求、特别是战时的特殊需求往往也会导致基础研究特色新生的领域,其中的科学思想和技术方法更容易催生颠覆性科技创新。2018年诺贝尔物理学奖颁发给了雷达启发的“啁啾脉冲技术”正是这方面的典型案例。雷达是“二战”时期最重要的军事需求之一。一方面,雷达发射源的新技术探索,导致从微波激射器到激光一系列的原创性的基础研究和技术突破,如原子的激光冷却技术;基于激光的光纤通信技术更是改变了现代人类的生活方式。另一方面,雷达系统的啁啾脉冲技术被应用于光学领域,突破了产生强激光的技术瓶颈;而强激光的出现又催生了一些全新的基础研究领域,如惯性约束核聚变。文章将通过从雷达到激光及啁啾脉冲技术历史发展中的关键技术介绍,展示战略需求对基础研究诞生的牵引性作用。
关键词 雷达,啁啾脉冲技术,强激光
基础研究的很多方向和领域通常来自于人们理解世界的好奇心和对自然规律的自由探索。从牛顿力学兴起到相对论和量子力学的诞生,莫不如此。然而,国家战略需求、特别是战时军事领域的特殊要求也会导致基础研究全新领域出人意料地出现和发生。这方面的许多典型例子集中体现在两次世界大战,尤其是“二战”中。比如,核武器研究催生加速器和对撞机技术,激发了20世纪50 年代后粒子物理学的蓬勃发展;为了有效地部署战争资源、优化军事作业规划产生了运筹学;为计算弹道轨迹和破译密码催生了现代计算机科学;为减少士兵感染死亡而开展了抗生素研究。军事需求牵引重大基础研究的例子不胜枚举,这些研究领域的诞生对人类生活产生了深远影响,远远超出了军事需求范畴。
雷达发展及其引发的技术创新是通过军事需求催生基础研究和原始技术创新的典型例子。通过发射和接收反射回来的无线电波,雷达可以探测和追踪飞机、炸弹、潜艇等目标(图1),无论是在军事防御还是进攻中都起着不可替代的作用,是“二战”期间最重要的军事需求之一。不同频率的无线电波则有着不同的侧重用途。如何产生足够强的不同频率(尤其是更高频率至微米波段)的电磁波是军事需求中必须解决的关键科学问题。这方面的成功探索,在“二战”后促使了微波激射器深入而系统的科学研究,导致了激光科学与技术的蓬勃发展[1]。

图1 雷达通过产生、发射和接收反射回来的无线电波探测和追踪物体
激光的出现又进一步催生了一系列全新基础研究领域,如非线性光学、量子光学、超冷原子分子物理等。在实际应用方面,基于激光的光纤通信技术的发明,引发了互联网的诞生,改变了现代人类的生活方式。激光诞生之后,如何产生更强的激光成为前沿科学技术的研究重点。通过Q开关[2]和锁模[3]等方法可以让激光以脉冲的形式输出,得到比连续波输出更高的峰值强度。但是直接在谐振腔内通过增益介质受激辐射放大激光脉冲强度具有上限:当谐振腔内光强达到约109W/cm2左右,显著的非线性效应(如自聚焦效应)可以损坏增益介质,阻止脉冲强度被进一步放大。最终突破这个持续了约20 年的产生强激光技术瓶颈的思想方法仍然来自于雷达。莫罗(G. Mourou)和斯特里克兰(D. Strickland)将雷达系统的啁啾脉冲放大(Chirped Pulse Amplification,CPA)技术直接应用于光学领域,为产生超强超短的激光脉冲铺平了道路[4]。世界上现有的绝大多数超强激光系统均基于该技术,因它而获得2018 年诺贝尔物理学奖,当之无愧。
超强激光的出现又催生了一系列全新的基础研究领域,比如强场原子分子物理、激光等离子体物理、极端物质状态物理、高能量密度物理、实验室天体物理等。尤其是基于超强激光的惯性约束核聚变是实现可控核聚变的两种主要途径之一(另一种为磁约束核聚变)。
从雷达这个例子可以看到,国家需求、特别是战时的特殊需求可以导致基础研究新领域的出现。而且这些新领域的出现往往是事先完全没有预料到的。其实,在雷达和微波激射器发明之前,很难想象人们为什么要、又怎么会发明激光。下面我们将更详细地介绍雷达是如何催生出这些对科学发展和人类生活产生巨大影响的全新基础研究领域的。
雷达通过主动发射和接收反射回来的无线电波来探测和追踪物体,首先需要产生足够强的特定波段的无线电波。不同波长(频率)的无线电波有不同的应用场景。波长较长的无线电波具有更强的穿透性,在空气中的衰减更慢;波长较短的无线电波则具有更好的定位精度。常用的无线电发送器包括速调管和多腔磁控管等(均为通过调控电子束速度和振荡来产生无线电波的电子管)。各类雷达的无线电波频率通常从兆赫兹到吉赫兹范围,对应波长在100米到毫米范围。
雷达系统的发送器能产生的电磁波波长最短大约在微米量级。雷达的重要军事作用和技术积累推动了二战后电磁波源的研究:如何产生足够强的、波长在微米量级甚至更短的电磁波,使得人们拥有新一代探索原子分子微观世界的有效工具?当时,人们逐渐认识到,产生和放大更短波长的电磁波也许需要与雷达发送器(利用电子振荡器和放大器)完全不同的全新的物理机制。
基于爱因斯坦提出的受激辐射原理[5],汤斯(C. H. Townes)等人在1953 年搭建了第一台微波激射器(maser,microwave amplification by stimulated emission of radiation)[6]。汤斯于1939 年在加州理工学院获得博士学位后进入贝尔实验室,“二战”期间主要从事雷达工作。美国空军为了提高雷达的工作频率以改善测量精度,要求贝尔实验室研制频率为24 GHz 的雷达,实验室把任务交给了汤斯。虽然汤斯认为这样高频率的电磁波由于极易被大气中的水蒸气吸收,并不适宜做雷达,但是在美国空军当局的坚持下,他还是利用受激辐射原理和微波谐振腔(提供关键的正向反馈)建造出了第一台微波激射器,利用氨分子做增益介质。虽然微波激射器像汤斯最初判断的那样在军事上没有价值,却为研究微波与分子的相互作用提供了前所未有的高频率和高分辨率。
微波激射器的原理如图2(a)所示。原子或分子源产生部分激发的气体原子或分子,通过态选择器(比如类似于斯特恩—盖拉赫实验中的磁铁)将处于激发态的原子或分子导入储存泡(原子或分子可以在其内壁多次反射而不改变量子态)。储存泡本身则置于微波谐振腔内。通过受激辐射过程,激发态的原子分子跃迁至基态,放大相应频率的微波;微波谐振腔则对这个过程正向反馈,不断放大微波信号。汤斯和肖洛(A. L. Schawlow)随后提出了激光(laser, light amplification by stimulated emission of radiation)的原理,将微波激射器产生和放大微波的机制应用到可见光频率范围[7]。和封闭的微波谐振腔不同,激光谐振腔是开放的一维谐振腔,如图2(b)所示。1960 年梅曼(T. H. Maiman)制造了第一台激光[8],以红宝石晶体作为增益介质。随后基于不同增益介质、具有不同特性的激光相继出现。汤斯、巴索夫(N. G. Basov)和普罗霍罗夫(A. M. Prokhorov)因为在微波激射器和激光方面的贡献获得1964年诺贝尔物理学奖。

图2 (a)微波激射器示意图;(b)激光谐振腔示意图
值得强调的是,激光的出现并不只是因为对未知自然规律的自由探索,而是在很大程度上源于军事需求的推动。所以激光在1960 年代被制造出来之后,一度被评价为“一个寻求问题的解决方案”(“a solution looking for a problem”)[9],可见其应用前景初看并不明朗。不过随后激光在社会各个领域被极为广泛地应用,比如光纤通信、工业上材料切割和处理、医学手术、军事武器、交通测速、激光打印、电影光盘等等不胜枚举,改变了现代人类的生活方式。同时,激光的出现催生了一系列全新的基础研究领域,比如非线性光学、量子光学、超冷原子分子物理等。
激光出现后,如何产生更强的激光自然成为研究的重点。让激光以脉冲——而不是以连续波——的方式输出可以得到更大的峰值强度。下面简要介绍两种常用的产生脉冲激光的方法:Q开关[2]和锁模[3]方法。
Q开关方法通过调控光学谐振腔的品质因子(Quality factor,或Q因子)来产生短脉冲。有多种方法可以调控谐振腔的Q因子,比如在谐振腔内放一个机械光学快门,或者基于电光效应的振幅调制器等。首先利用Q开关使得光学谐振腔的损耗很大(即Q 因子很小),但同时泵浦增益介质。由于与原子能级共振的模式被腔消耗掉了,就不会有谐振腔反馈的电磁场作用到原子上,因而泵浦到上能级的原子不能通过受激辐射跃迁至下能级,增益介质会有很大的粒子数反转,如图3(a)所示。这个时候突然利用Q开关提高Q因子,降低损耗,谐振腔共振模式激发反转的粒子,堆积在上能级的粒子就会快速地通过受激辐射跃迁到下能级,释放一个峰值强度很高、脉冲持续时间很短的激光脉冲。这可以形象地类比于水坝的蓄水和突然开闸放水,Q开关即起着和闸门类似的作用。Q开关方法通常可以产生持续时间在纳秒量级的短脉冲。

图3 (a)Q开关方法示意图;(b)锁模方法示意图
锁模方法通过锁定谐振腔中不同纵向模式之间的相位来产生短脉冲。激光谐振腔一般会支持多个纵向模式,这些模式之间的相位关系一般情况下是随机的。这样,各种模式叠加的光场在谐振腔内比较平均地分布(同时在谐振腔内来回振荡)。如果在谐振腔内放一个非常灵敏的“快门”,这个快门可以只打开非常短的一小段时间(远小于光在谐振腔内的振荡周期),快门关闭后则不允许光通过。这样谐振腔内的光就被“切”出了一个很短的脉冲。如果快门的打开周期被设置与光在谐振腔内振荡的周期相等,谐振腔内就出现了一个来回振荡的、且每次通过增益介质都会被放大的超短脉冲。从频域来看,快门相当于是锁定了谐振腔内的多个纵向模式之间的相对相位,从而叠加出了一个持续时间很短的波包——脉冲,如图3(b)所示。在真实激光系统中充当该快门的可以是超快的电光效应调制器(利用外加超快电信号调控光的吸收率),或者是一个饱和吸收体(只允许高峰值光场通过,吸收掉低峰值光场)。事实上由于光在谐振腔内振荡次数很多,每个振荡周期只需要很小幅度的振幅调制即可,即快门关闭后并不需要完全阻止光场通过,只需要小幅度减弱其强度。锁模方法可以产生持续时间短至皮秒至飞秒的超短脉冲。
脉冲输出相当于将原本分散的激光能量集中于很短的时间范围内,从而提高峰值场强。通过不断泵浦增益介质和增加脉冲在谐振腔内的往返放大次数,可以产生更强的激光脉冲。但是在谐振腔内利用增益介质放大激光脉冲有上限。当峰值场强达到约109 W/cm2量级时,光在增益介质中传播的非线性效应会变得非常重要,例如自聚焦效应(介质折射率随着光场强度增大而增大的非线性光学效应。光束中心的光场更强,折射率变得更大,类似于形成一个凸透镜,聚焦光束)。增益介质会被激光脉冲破坏,脉冲形状也会变得复杂(由于折射率随场强变化,光脉冲相位会因此被调制, 即自相位调制,脉冲形状也因此会变化),阻止脉冲强度的进一步放大。
如何克服强场非线性效应等科学技术上的难题,产生更强的(超过吉瓦量级峰值功率的)激光脉冲,这个问题在强激光发展的过程中困扰了人类约20 年的时间。最终突破产生强激光技术瓶颈的思想方法仍然来自于雷达中关键技术的启发。
在实际应用中雷达有两个基本指标:探测范围和分辨率。雷达以功率Pt 发射无线电波,遇到距离为R 的物体后反射回来被雷达接收。很容易看出,雷达接收到的反射信号功率与R4 成反比。接收到的反射信号功率必须大于接收器(包括信号放大过程)的噪声功率,后者的理论极限是热噪声功率,即接收器内电子随机运动产生的噪声。热噪声正比于温度和频率带宽。当反射信号功率等于热噪声功率时,可以得到雷达的最大探测距离为[10]

其中Pt 是发射功率, τ 是脉冲持续时间(反比于频率带宽), G 是天线增益, λ 是波长, σ 是目标截面积, k 是玻尔兹曼常数, T 是温度, F 是接收器噪声放大因子, S/N是最小可探测信噪比。由(1)式可见,雷达的探测范围正比于发射脉冲的总能量Pt τ 的4次根。
另一方面,雷达的探测分辨率则由脉冲持续时间τ 决定。如果脉冲持续时间过长(脉冲波包太宽),则两个相近物体反射回来的两个脉冲会重叠在一起,雷达不能将它们分辨开来。理想状况是,脉冲的总能量Pt τ 尽可能大;要在脉冲持续时间τ 尽可能短的前提下,就要求雷达的发射功率Pt 更大。但是雷达系统的最大发射功率是有上限的,取决于雷达发送器电路系统的承受能力(大约为兆瓦量级)。这样就出现了探测范围(距离)和分辨率之间的矛盾。
在雷达技术发展的关键时刻,啁啾脉冲技术巧妙地解决了这个矛盾[11—13]。迪克(R. H. Dicke)[11]和达灵顿(S. Darlington)[12]各自独立地提出了雷达的啁啾脉冲技术,在1953 年和1954 年分别获得美国专利。如图4 所示,短脉冲在发射之前,首先经过频率调制,在时域被啁啾拉伸(在雷达领域这个过程被叫做pulse coding)至原脉冲的数十万倍(比如从纳秒量级被拉伸至毫秒量级),脉冲的峰值功率因而大大降低。然后对这个拉伸过的长脉冲进行放大,在发射功率一定的情况下脉冲的总能量大大增加,保证了雷达的探测范围。被接收到的反射回来的(啁啾)脉冲首先被放大,然后被反向啁啾压缩(pulse compression),得到与拉伸前持续时间相同的短脉冲。雷达系统的分辨率由压缩后的短脉冲的持续时间决定[13]。

图4 雷达的啁啾脉冲技术示意图。短脉冲被啁啾拉伸成长脉冲,然后被放大后由天线发射出去;反射脉冲被接收后先被放大,然后再被啁啾压缩成短脉冲
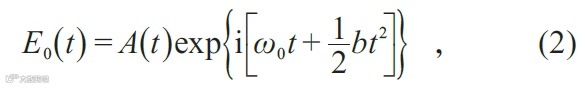
莫罗和斯特里克兰在1980 年代中期将雷达的啁啾脉冲技术直接且巧妙地引入到了光学领域[4],突破了产生强激光的技术瓶颈。如图5 所示,短脉冲(由另外一个超快激光系统产生)首先通过一个双光栅系统进行拉伸。光栅可以将不同频率成分的光折射向不同的角度。这个双光栅系统的设计使得低频率的光走过的路径比高频率光更短,从而低频率的光更早一些从双光栅系统中出来。原来的短脉冲在时域被拉伸成了一个长得多的脉冲,并且该脉冲的频率是随时间变化的,即我们得到了一个被(正)啁啾的脉冲。除了双光栅系统,光纤或者双棱镜系统也可以用来对脉冲进行啁啾拉伸;事实上,莫罗和斯特里克兰开始用的啁啾拉伸系统为光纤。经过拉伸后,在脉冲总能量不变的情况下,脉冲峰值场强则大大降低。经过啁啾拉伸过的激光脉冲可以写成如下形式

其中 A(t)是脉冲的振幅函数,ω0t 是无啁啾相位函数, (1/2)bt2 是线性啁啾的相位函数。频率ω(t) =ω0 + bt 随时间线性变化。

图5 啁啾脉冲技术产生超强超短激光脉冲示意图。短脉冲经过啁啾拉伸双光栅后,低频光(红光)由于光学路径较短比高频光(蓝光)先出来,形成一个被啁啾拉伸的长脉冲;长脉冲放大后,再被啁啾压缩成高峰值功率的短脉冲
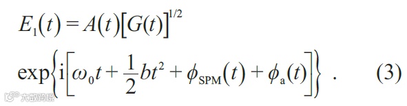
啁啾拉伸后的长脉冲随后被引入激光谐振腔内进行放大。如图5 所示,放大的结果是脉冲的总能量大大增加。要指出的是,光脉冲被拉伸后,在谐振腔中的峰值功率降低了,这时不易产生自聚焦等非线性效应。事实上,啁啾脉冲在增益介质内的放大过程是一个复杂的光与介质相互作用的过程;并且由于激光脉冲的频率随时间变化,而介质对光的响应对频率有直接依赖关系,脉冲在不同时刻被介质的调制(包括振幅调制和相位调制)程度是不同的。所以脉冲的放大并不是整体乘以一个放大系数、保持形状不变。脉冲经增益介质放大后变成如下形式[14]

与(2)式相比,激光场的振幅和相位均被增益介质调制。其中G(t) 是功率增益,它实际上是频率的函数,通过随时间变化的频率对时间依赖。ϕSPM(t) 是自相位调制(SPM,self phase modulation),它与之前提到过的自聚焦效应均来源于随激光强度而变化的介质折射率。ϕa(t) 是介质响应引入的额外相位。由于篇幅限制,我们将不在这里给出这两个相位的具体表达式。注意引入这两个相位后,激光的频率也变得更为复杂,是 所 有相位的和对时间的导数,即 ω(t) =ω0 + bt + ϕ'SPM(t) + ϕ'a(t),而这个频率又实时反馈到功率增益G(t)中。在这里我们强调放大后的脉冲形状(振幅函数)为 A(t)[G(t)]1/2 ,与放大前的脉冲形状 A(t)相比发生了变化。
放大后的脉冲随后被啁啾压缩回短脉冲。这个过程相当于对(3)式的激光场做傅里叶变换,然后对每个频率成分进行线性啁啾补偿。ϕSPM(t)和ϕa(t)的线性啁啾成分(即t2 项)可以通过双光栅压缩补偿掉,更高阶的啁啾成分则无法补偿,会反映在压缩后的脉冲形状中。这有可能成为啁啾技术进一步发展的障碍。
啁啾脉冲放大技术对强激光领域产生了革命性的影响[15]。目前世界上几乎所有的超强激光(比如超过100 TW功率的激光系统)均基于该技术。一系列全新的基础研究领域因为强激光技术的进步应运而生。
啁啾脉冲技术被应用于光学领域后,激光的强度(聚焦功率密度)开始快速提升,如图6 所示。在这个过程中一系列全新的基础研究领域开始出现。

图6 激光强度(聚焦功率密度)随年份的进展。1985 年CPA技术出现后激光强度快速提升。欧洲极端光源设施(ELI)预计在未来数年达到1023—1024 W/cm2量级强度
当激光强度达到1015—1016 W/cm2量级时,激光的电场强度达到束缚电子所感受到的来自原子核的库仑电场强度。原子对强激光场的响应呈现非微扰和高阶非线性的特征:原子可以同时吸收多个光子的能量被电离(多光子电离);原子会向外辐射宽频相干的高次谐波;基于高次谐波辐射可以产生持续时间在阿秒(1 阿秒=10-18秒)量级的超短光脉冲。
当激光强度达到1018 W/cm2量级时,光场中的电子可以被加速至接近光速;原子被高价离化,形成等离子体。利用激光等离子体内部的电场梯度可以加速带电粒子。与传统的粒子加速器相比,基于强激光等离子体的新型粒子加速器[16]具有小得多的空间尺度和极大的成本优势,在医疗和一些工业领域具有广泛的应用前景。
基于强激光的惯性约束核聚变则是两种主要的实现可控核聚变的途径之一(另一种为磁约束核聚变)。惯性约束聚变是指利用强激光装置,直接或间接驱动含有氘氚燃料的靶丸,将燃料压缩到高能量密度状态,实现聚变放能的过程。之所以称之为惯性约束核聚变,是因为靶丸中反冲内压的飞层(由部分外壳和氘氚组成)依惯性向心高速运动;减速后,飞层部分动能转化为中心处的内能,形成高温点火热斑,实现热核聚变,放出高产额中子,可控地输出聚变能量。
图7 是一个惯性约束核聚变示意图。将多束强激光(直接驱动方法)或者强激光打在环空器(hohlraum)后的次级X射线辐射场(间接驱动方法)从各个方向打在氘氚混合的球形核燃料靶丸上(靶丸直径在毫米量级)。靶丸的表面涂层被快速加热形成等离子体,并迅速向外爆裂;其反冲作用通过惯性机制向内压缩氘氚燃料核,形成高温高压的极端物质状态, 诱发氘氚核聚变反应[D+ T→He + n + 17.6MeV]。

图7 惯性约束核聚变示意图
从惯性约束核聚变机理可以看出,惯性约束核聚变是多个基础研究领域聚集融合的平台,包括流体力学不稳定性、极端物质状态物理、等离子环境下的原子物理、高能量密度物理、核聚变物理等。利用强激光与物质相互作用产生的高温、高压、高密度、强磁场等性质与恒星中的物理条件非常相似,可以在实验室里模拟研究恒星中的等离子体辐射输运、流体不稳定性、核反应等过程,催生了实验室天体物理这个领域,为天体物理学家理解太阳或者恒星中的物理过程提供了新的手段。作为需求牵引的前沿技术,惯性约束核聚变推动着几个基础研究领域的快速进展。特别是,武器的动作过程很多都涉及到惯性约束核聚变中的高能量密度物理研究,因此它有着很强的军事需求背景。
欧洲极端光源设施ELI(extreme light infrastructure,发起人也是莫罗)计划在未来数年达到1023—1024 W/cm2量级激光场强。对应的激光电场强度相当于原子核库仑场在10 fm 左右的强度(原子核的大小在1 fm 量级)。这样的超强激光场可能对原子核性质和一些原子核过程产生直接的影响;超强激光可能成为有效的调控原子核性质和过程的工具,会引发激光核物理这样的前沿科学领域。
本文以雷达启发激光及其强场啁啾脉冲技术[17]的发展为实例,从科学技术问题的细节出发,阐述了国家需求如何牵引科学进步,催生基础研究的新领域。本文论点给出了来自关键技术发展角度的概览(图8)。
总之,基础研究大部分的方向和领域通常诞生于人们对自然规律的自由探索。但是国家需求、特别是战时的特殊需求也会导致基础研究全新领域出人意料地出现。并且这些领域中的思想和方法更容易催生颠覆性技术。文章借助雷达这个“二战”中最重要的军事需求之一来阐述以上观点。“二战”后雷达发射源的新技术探索导致了从微波激射器到激光一系列原始创新性基础研究,激光的出现又催生了很多新的基础研究领域。更值得指出的是,雷达系统的啁啾脉冲技术已被广泛地应用于光学领域,突破了强激光产生的技术瓶颈。强激光的出现也催生了一系列全新的基础研究领域,尤其是惯性约束核聚变,其本身就与国家的战略需求紧密相关。

图8 雷达催生前沿基础研究和关键技术示意图
致谢 感谢朱少平研究员的讨论,以及徐瑞华和祁金涛两位博士对部分插图的绘制。
参考文献
[1] Townes C H. Nobel Lecture,1964
[2] McClung F J,Hellwarth RW. J. App. Phys.,1962,33:828
[3] Hargrove L E,Fork R L,Pollack MA. Appl. Phys. Lett.,1964,5:4
[4] Strickland D,Mourou G. Opt. Commun.,1985,56:219
[5] Einstein A. Phys. Zeit.,1917,18:121
[6] Gordon J P,Zeiger H J,Townes C H. Phys. Rev.,1955,99:1264
[7] Schawlow A L,Townes C H. Phys. Rev.,1958,112:1940
[8] Maiman T. Nature,1960,187:4736
[9] Townes C H. The first laser. In:A Century of Nature:Twenty-One Discoveries that Changed Science and the World. University of Chicago Press,2003. pp. 107-12
[10] Skolnik M. Introduction to Radar Systems. New York,McGraw-Hill,3rd Edition,2001
[11] Dicke R H. Object Detection Systems. 1953,U.S. Patent No. 2,624,876
[12] Darlington S. Pulse Transmission. 1954,U.S. Patent No. 2,678,997
[13] Cook C E. Proceedings of the IRE,1960,48:310
[14] Chuang Y H et al. IEEE J. Quantum Electron.,1993,29:270
[15] 马金贵,王静,钱列加. 物理,2018,47:772
[16] 盛政明,陈民,翁苏明等. 物理,2018,47:753
[17] 魏志义,王兆华,滕浩等. 物理,2018,47:763
本文选自《物理》2019年第1期
长按二维码
关注我们吧
精彩回顾
2. 前沿技术摄像头、雷达、激光雷达——自动驾驶几大传感器系统大揭秘
两江科技评论编辑部

免责声明:本文旨在传递更多科研信息及分享,提供志同道合者的交流平台。如涉及侵权,请联系下方邮箱,我们将及时进行修改或删除。转载请注明出处,如原创内容转载需授权,请联系下方微信号。
邮箱:janechou@imeta-center.com
微信号:Jessica_2313 、18796017560

