

导读
近日,上海理工大学庄松林院士领导的未来光学国际实验室纳米光子学团队利用强聚焦系统光子轨道角动量与自旋角动量相互耦合的特性,通过光场调控手段,开发了在圆偏振光入射下产生高度局域化超手性光场的方法。相对于圆偏振光,该研究表明在聚焦透镜焦点可以将光场手性增强11.9倍,而增强区域的横向尺寸仅为λ/25(光波长的25分之一)。使用这一高度局域的超手性光场对手性样品进行扫描,能够获得远远超过光学系统空间分辨率的分子手性及其在空间上分布的信息。更为重要的是本文提出的方法与传统圆偏二色测量方法兼容,该技术将为无标记分子成像技术提供新的技术路线,在生物、医药等领域具有广阔的应用前景。该工作以“Generation of non-diffracting superchiral optical needle for circular dichroism imaging of sparse sub-diffraction objects”为题在线发表在《Physical Review Letters》 (Phys. Rev. Lett. 122, 223901 (2019))。
手性是物体的三维特征,具有手性的物体其镜像与本身无法重合。从宏观的宇宙星系到微观的基本粒子的自旋属性,手性特征广泛存在。识别手性、测量手性、并对手性的产生进行溯源,对人类深化对自然界的认识具有重大意义。如果两个手性分子化学结构相同且互为镜像,但是两者又不能重合,就可以称它们互为手性异构体。组成生命体的许多重要分子,如核酸、氨基酸和酶等都是手性分子,同时,许多药物的有效成分也均为手性分子。手性相反的同分异构体可能具有完全不同的生物活性:一种手性分子具有治疗效果,而具有相反手性的分子却可能会对人体产生毒性,因此,对手性药物分子必须进行严格的识别和分离。
由于圆偏光也具有手性,所以基于光学手段可以对手性异构体进行分析。其中,圆偏二色测量被广泛用于分子手性的分析。该技术利用手性样品对左旋圆偏振光和右旋圆偏振光的吸收(A1和A2)存在差别,利用非对称因子g=2(A1-A2)/(A1+A2)来表征样品的手性。但是由于分子结构尺寸在纳米量级,而光波长为百纳米量级,两者空间尺度上的失配导致A1和A2之间的差别很小,从而导致非对称因子g的数值也很小。正是由于这些微弱信号的测量难度,传统的圆偏二色测量技术通常需要足够量的样品才能进行整体的手性分析,很难区分单个分子的手性。
2010年,哈佛大学A. E. Cohen教授课题组将圆偏二色测量条件由圆偏振光激发推广到了任意光场激发的情况,并提出了用于表征光场手性的表达式,同时证明圆偏二色测量信号与该入射光场的手性成正比,因此,采用手性大于圆偏振光的光场(即超手性光场)可以显著提升测量性能。近年来,光场手性的调控引起了人们的广泛关注。大量理论和实验工作表明,经过优化设计的纳米光学结构可以产生较强的局域超手性光场,但是,结构周期在光波长量级,且加工难度高,很难进行超手性光场位置的动态调节。另一方面,利用复杂光场调控的方法也可以产生超手性光场。如果能实现高度局域的超手性光场,就可能实现单分子区域的手性识别,这将是具有突破意义的新型手性检测手段。
本文利用高数值孔径光学系统聚焦具有轨道角动量的镜像偏振光束,并调控光瞳平面的光场分布,可以产生高度局域的超手性“光针” (如概念图所示):即在针形区域范围内圆偏二色信号g比圆偏振光入射的情况显著提高。该光场可以对稀疏分布的手性分子样品进行扫描,从而获得测量范围内的分子手性和分子尺寸的信息。在传统圆偏二色测量方法中,光场的手性来源于入射光的自旋特性(即圆偏振态),而本文聚焦光场的手性来源于入射光的轨道角动量特性。

概念图:深亚波长尺度的局域超手性光场应用
本文利用矢量衍射理论对强聚焦光场进行计算,证明在聚焦透镜焦点位置可以实现11.9倍于圆偏振光的光场手性增强效应,超手性光针的直径为λ/25。由于在光瞳平面对入射光进行了环形空间滤波,极大地压缩了聚焦光束的角谱分布,使得产生的超手性光束具有近似于无衍射贝塞尔光束的特性。这种光场特性有利于实现样品手性特征的二维高空间分辨率扫描成像。利用强聚焦系统光子轨道角动量与自旋角动量相互耦合的特性,经过适当的光学偏振调制结构,可以利用圆偏振光入射激发系统中超手性光场。更重要的是,本文提出的方法与传统圆偏二色测量方法兼容,实现传统技术的性能升级。
本文进一步对高度局域的超手性光场的物理机制进行了分析,将手性分子对超手性光场的吸收分为纯电偶极吸收和电偶极-磁偶极混合吸收两部分。其中纯电偶极吸收与入射光手性无关,主要与电场Ez分量相关;电偶极-磁偶极混合吸收贡献依赖于入射光手性,与电场和磁场的切向分量E||和H||相关。由于电场Ez分量在光束中心存在相位奇点,抑制了光束中心的非手性吸收,最终形成了深亚波长超手性光场。该技术将为无标记分子成像技术提供新的技术路线,在生物、医药等领域具有广阔的应用前景。


图1 (a) 通过螺旋相位的径向偏振光束产生超手性光场的强聚焦系统。(b) 焦点附近电磁场理论计算模型,其中f是透镜焦距,h为入射光线中心偏移量。

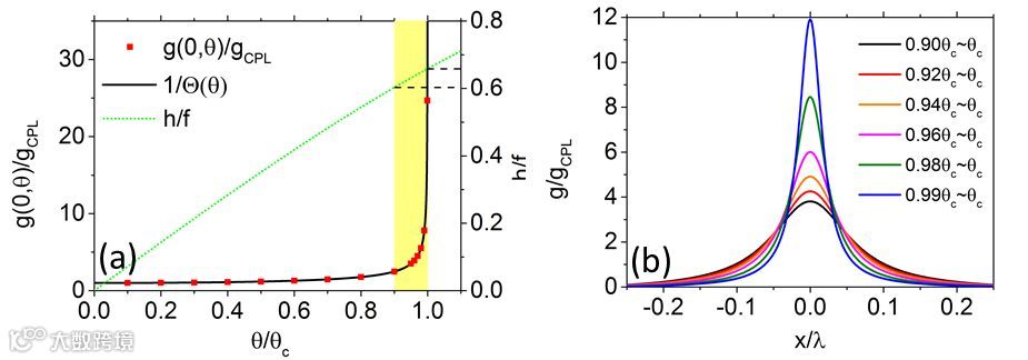
图2 (a) 在焦点处,圆偏二色信号因子增强倍数与聚焦光线入射角之间的关系(如黑色实线所示),绿色虚线表示正弦条件h=fsinθ,利用该条件可以实现环形滤波器的结构设计。(b)通过环形滤波器实现不同入射角度范围的选择,利用矢量衍射理论计算得到不同入射角度范围条件下,圆偏二色信号因子增强倍数的分布。

图3 (a-d)焦平面上电磁场各个分量的振幅分布,以及手性信号增强因子的分布,超手性光场具有高度局域化的特性,直径约为波长的1/25,光场手性为圆偏振光的11.9倍。(e-h)X-Z平面上电磁场各个分量的振幅分布,以及手性信号增强因子的分布,可见聚焦光场具有近似于无衍射贝塞尔光束的特性。

图4 (a-c) 利用超手性光束对直径为600nm,200nm和50nm的手性圆盘结构进行扫描实现圆偏二色成像。其中,200nm圆盘结构手性与600nm和50nm的结构手性相反。(d) 手性圆盘结构直径与圆偏二色成像结果半高全宽之间的关系。
本文提出将具有螺旋相位结构的径向偏振光束聚焦在介质-空气界面处实现针状超手性光场。通过控制光束的入射角度,焦平面上超手性光场被局域在λ/25范围内,光场手性较圆偏振光提高11.9倍。利用这种光场调控方案,可以同时实现对单个深亚波长尺度的手性纳米颗粒/分子的手性识别与尺寸测量。该方法有助于将圆偏二色测量技术和超分辨成像技术有机结合,未来通过引入表面等离激元等其他光场增强机制,有望进一步提升单分子的手性测量信号。该项工作得到了上海理工大学光电学院、科技处和人事处的大力支持。
文章链接
https://journals.aps.org/prl/abstract/10.1103/PhysRevLett.122.223901
编辑推荐

长按二维码
关注我们吧

免责声明:本文旨在传递更多科研信息及分享,提供志同道合者的交流平台。如涉及侵权,请联系下方邮箱,我们将及时进行修改或删除。转载请注明出处,如原创内容转载需授权,请联系下方微信号。
邮箱:janechou@imeta-center.com
微信号:18305163023

