
FROM:纳米人
近年来,决定钙钛矿光伏技术商业化的主要因素已经从太阳能电池的性能转向其稳定性、可重复性、器件升级技术和防止器件使用寿命期间铅(Pb)的泄漏等领域。
2019年6月18日,Nature Energy同时刊登2篇钙钛矿电池研究文章,一篇是关于铅泄露的安全问题,另一篇是关于真实条件下的稳定性问题。下面,我们做一个简要介绍,希望对大家有所启发。

第一作者:Yan Jiang, Longbin Qiu
通讯作者:Yabing Qi
通讯单位:日本冲绳理工大学
防止钙钛矿光伏器件在使用过程中的铅(Pb)泄漏,是钙钛矿光伏器件商业化之路的重大关键问题之一。有鉴于此,日本冲绳理工大学戚亚冰团队报道了其利用自修复聚合物封装手段减少受损钙钛矿太阳能电池中的铅泄露的研究成果。

图1. 铅泄露管理方案
研究团队模拟了一个现实场景,在该场景中,具有不同封装方法的钙钛矿模组受到冰雹影响(改进的FM 44787标准)的力学损坏,然后定量测量各种天气条件下的Pb泄漏率。研究表明,与基于模块边缘处具有紫外线固化树脂的玻璃盖的封装方法相比,基于环氧树脂的封装方法将Pb泄漏率降低了375倍。

图2. 不同封装测试
环氧树脂封装具有最大铅泄漏减少量,这与其在操作条件下的最佳自愈特性和机械强度的增加有关。该研究表明,采用适当的封装手段能够最大限度地减少钙钛矿光伏器件的铅泄漏。

图3. 不同天气测试

第一作者:Wolfgang Tress
通讯作者:Wolfgang Tress
通讯单位:EPFL
自从钙钛矿太阳能电池的效率提升至20%以后,学术界对钙钛矿光伏器件的研究开始从追求效率转为追求稳定性。为了提高研究效率,人们制订了标准化的稳定性测试条件便于参考比较。不过,“稳定性”一词的含义十分广泛并且可以采用不同条件来进行评估,这意味着测试方法五花八门,因此研究人员并很难迅速得出可靠的稳定性结论。而对于实际应用来说,只有在现实世界的长期工作条件下实现的能量产量才是有价值的。
有鉴于此,瑞士洛桑联邦理工学院的Wolfgang Tress等根据中欧地区一年中多日的实际温度和辐照度数据对一种高效钙钛矿太阳电池(PSC)在模拟环境条件下的性能进行了表征和分析。

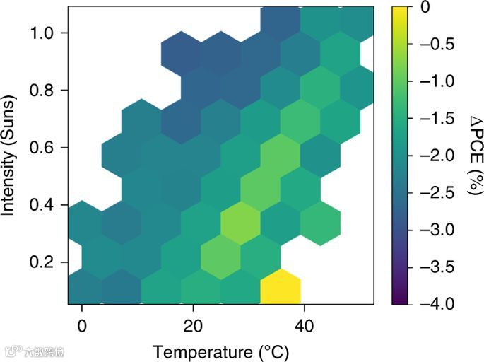
图4. 光强度和温度的影响

图5. 效率降低与温度和光强的函数关系
研究发现,在高温度和低光强度的条件下,PSC的效率下降幅度很小,保持了几乎最佳的环境条件值,。在这种环境条件下,大部分太阳能都被转化入到太阳能电池上。但是,受可逆降解(早上提供最高性能)和一年中可观察到的轻微永久降解的影响,总能量产生量与标准测试条件测量的预期值略有不同。关于串联同时,作者还将PSC与硅器件进行了串联电池的比较。

图6. 一年内随机选择24天的日均性能
总之,这两项研究将钙钛矿光伏器件的安全问题和实际环境的稳定性问题提上了研究议程,为钙钛矿光伏器件商业化之路提供了新的动力。
参考文献:
1. Yan Jiang, Longbin Qiu, Yabing Qi et al. Reduction of lead leakage from damagedlead halide perovskite solar modules using self-healing polymer-basedencapsulation. Nature Energy 2019.
https://www.nature.com/articles/s41560-019-0406-2
https://www.nature.com/articles/s41560-019-0414-2
2. Wolfgang Tress et al. Performance of perovskite solar cells under simulatedtemperature-illumination real-world operating conditions. Nature Energy 2019.
https://www.nature.com/articles/s41560-019-0400-8
https://www.nature.com/articles/s41560-019-0422-2

长按二维码
关注我们吧


免责声明:本文旨在传递更多科研信息及分享,提供志同道合者的交流平台。如涉及侵权,请联系下方邮箱,我们将及时进行修改或删除。转载请注明出处,如原创内容转载需授权,请联系下方微信号。
邮箱:janechou@imeta-center.com
微信号:18305163023

