

导读
近日,华中科技大学武汉光电国家研究中心陈林课题组,在超表面艾里光束发生器的研究中取得新进展。该工作利用双曲超材料波导构造超表面,发掘结构宽带控制透射光波前的优势,应用于宽带艾里光产生,实现了在宽带范围内高效地产生振幅与相位同时调制的艾里光束。研究成果以“Broadband Generation of Airy Beams with Hyperbolic Metamaterials”为题发表在期刊《Advanced Optical Materials》上。
艾里光束是一种无衍射光束,具有自弯曲、自愈合、无衍射等极具吸引力的特性,在光学显微操作、“光子弹”、曲线等离通道的产生等许多应用上具有广泛的前景。近年来,多种超表面艾里光束发生器被研究人员提出并证实,它们克服了利用空间光调制器和傅里叶透镜产生艾里光束的传统方法光路复杂、冗长的缺陷,具有结构紧凑、易于集成的优势。但是,这些超表面通常依赖于共振原理实现波前控制,因而器件工作带宽受到严重限制。
双曲超材料波导单元,其侧壁支持表面波的传输。通过设计其单元结构,可以为双曲超材料单元引入宽带高双折射,进而在宽带范围内提供强大的振幅、相位和偏振控制能力[1-3]。研究团队推导了双曲超材料单元在线偏光入射时,宽带范围内正交线偏振透射光的归一化透射振幅、相对透射相位与超材料单元方向角的关系,通过空间排列不同方向角的双曲超材料单元,构建了基于双曲超材料的艾里光束发生器,验证了空间艾里光束的宽带、高效产生,实现了在7.2-9.6 GHz范围内,艾里光束发生器透射效率>10%。这一项研究也为需要振幅、相位同时调制的复杂光场的产生提供了一种可行的宽带实现方案。

图1 基于双曲超材料的宽带艾里光束发生器。

图2 双曲超材料单元的侧壁支持表面波模式,控制单元截面几何参数可以获得宽带高双折射。

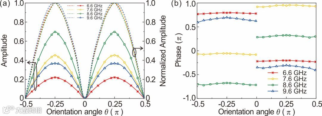
图3 控制双曲超材料单元的方向角,可以在宽带范围内调控透射光中与入射光偏振正交的分量的振幅与相位。
(a)透射振幅:方向角相同时,不同频率透射光的归一化透射振幅相同;
(b)透射相位:旋转角在(-π/2, 0]和(0, π/2]范围内时,相对透射相位总是相差π。

图4 验证基于双曲超材料的宽带艾里光束发生器。
(a)双曲超材料沿x方向的透射振幅、相位按理想艾里波包分布;
(b)器件局部照片;
(c)仿真得到的出射光场;
(d)实验测得的出射光场;
(e)在7.2-9.6 GHz范围内,艾里光束发生器透射效率>10%。
文章链接
https://onlinelibrary.wiley.com/doi/full/10.1002/adom.201900493
参考文献:
1. Laser & Photonics Rev. 13, 1800081 (2019).
2. Phys. Rev. Appl. 11, 044042 (2019).
3. Opt. Lett. 40, 4595-4598 (2015).
编辑推荐

长按二维码
关注我们吧

免责声明:本文旨在传递更多科研信息及分享,如涉及侵权,请联系下方邮箱,我们将及时进行修改或删除。转载请注明出处,如原创内容转载需授权,请联系下方微信号。
邮箱:janechou@imeta-center.com
微信号:18305163023

