

今天我们继续为大家带来近期的超材料前沿研究精选,内容涉及基于非线性光激活函数的全光学神经网络、拓扑绝缘体量子点中频率降变的THz辐射、实验验证通过发送或不发送双场量子密钥分布、有效抑制超导量子处理器上普遍存在的误差、3D拓扑绝缘体纳米板制成的单电子晶体管、多功能双层超表面、等离子体超表面Luneburg透镜、ALD生长的PbTe-PbSe热电薄膜的热导率和声子散射过程等敬请期待!
索引
1. 基于非线性光激活函数的全光学神经网络
2. 拓扑绝缘体量子点中频率降变的THz辐射
3. 实验验证通过发送或不发送双场量子密钥分布
4. 有效抑制超导量子处理器上普遍存在的误差
5. 3D拓扑绝缘体纳米板制成的单电子晶体管
6. 多功能双层超表面
7. 等离子体超表面Luneburg透镜
8. ALD生长的PbTe-PbSe热电薄膜的热导率和声子散射过程
01
基于非线性光激活函数
的全光学神经网络
机器学习,特别是人工神经网络(ANNs)在过去的十年里有了长足的进展。现已经在图像识别、医学诊断和机器翻译等各个领域显示出了强大的甚至超越人类智能的能力。人工神经网络在科学研究中也显示出巨大的潜力,特别是在发现新材料、划分物质相、表示变分波函数、加速蒙特卡罗模拟等方面。它们可以用来解决传统方法难以解决的问题。神经网络的力量来自于它在大量神经元之间的广泛互连,当它们以电子方式实现时,需要巨大的计算资源(时间和能量)。
与数字计算机中的电子不同,光子作为非相互作用的玻色子,可以以光速进行多重互连和并行计算。人工神经元是神经网络的关键组成部分,它对输入信号进行线性和非线性变换。在大多数混合型光学神经网络(ONNs)中,光学主要用于线性运算,而非线性函数通常以电子方式实现。近年来,基于纳米光子电路和光波线性衍射和干涉的ONNs已经被证明是一种有效的机器学习方法。但是在深层网络中还没有非线性光激活函数。尽管有人提出了实现非线性光激活函数的建议,但它们的实验实现已经成为ONNs在实际应用中进一步扩展的瓶颈。
最近来自香港科技大学的研究人员向我们展示了一个全光神经网络(AONN),它同时具有可调的线性运算和非线性光激活函数。使用空间光调制器和傅里叶透镜来实现线性运算;基于电磁诱导透明(electromagnetically induced transparency, EIT)效应 - 即原子跃迁间的光诱导量子干涉效应 - 实现了非线性光激活函数。为了验证AONN方案的能力和可行性,实现了一个稠密(完全连接)的两层AONN,并用它成功地对Ising模型的不同阶段进行了分类。论文以All-optical neural network with nonlinear activation functions为题发表在Optica上。

全功能双层AONN:(a)两层AONN的实验结构。输入层是在SLM1上编码的模式,其区域被划分为多个子区域。第一层由SLM1线性运算和在MOT处的非线性光激活函数组成。第二层包含SLM2,它在相机c3将四个光束转换为两个输出光束。准直耦合激光束通过透镜l1(=10 cm)入射到SLM1上,SLM1在l3的焦平面(=75 cm)处产生四束光。fm和照相机c1用于监视该线性操作。四束光束通过由l4(=75 cm)和l5(=5 cm)组成的4f系统在MOT上成像。准直探头激光束沿耦合光束的相反方向传播,耦合光束在摄像机C2上通过l5和l6(=45 cm)成像。通过L7(=7.5 cm)和L8(=45 cm)的进一步放大,四个光束入射到SLM2上并产生两个光束,然后聚焦到相机C3上。
文章链接:https://www.osapublishing.org/optica/fulltext.cfm?uri=optica-6-9-1132&id=417261
DOI:10.1364/OPTICA.6.001132
02
拓扑绝缘体量子点中
频率降变的THz辐射
拓扑绝缘体(TIs)是一种新型量子状态的物质,其特征是边界处有绝缘的体积间隙和导电的无间隙边缘状态。自从发现二维TI——HgTe量子阱以来,一直在对其独特的物理特性进行深入研究。介观拓扑设备已经吸引了很多的兴趣,无论是在有限的拓扑模式的基础研究,并在自旋电子学和量子信息的应用,都很有应用前景,然而,这些拓扑装置在其他领域的可能应用基本上尚未探索。近年来,频率在0.3至10太赫兹(THz)的辐射已广泛应用,如天体物理学和大气科学、生物和医学科学、通信和超快光谱学。然而,由于THz波位于无线电频率和光频率之间,光学和微波技术都不能直接用于产生THz波。寻找产生高强度THz辐射的有效方法,是现代应用物理学中最令人兴奋但最具挑战性的领域之一。
从 0.3 到 10 THz 的太赫兹 (THz) 辐射源是光谱的最后边界,因为相对缺乏能够在此机制中运行的物理系统,即众所周知的"THz 间隙"。。来自Beijing Computational Science Research Center的Wen Yang研究小组提出了一种频率降变机制,利用拓扑绝缘体量子点中近似等距的螺旋边缘状态,产生覆盖大部分THz间隙的THz辐射。如果选择声子间隙内的边缘状态级分离来抑制声子引起的非辐射衰减,则谐振腔中的拓扑绝缘体量子点阵列可以形成在室温下运行的连续波THz激光,输出3THz时功率达到28mW,能量转换效率为 14%。这项工作可能为拓扑绝缘体量子点用于THz辐射的应用前景铺平道路。相关研究发表在杂志《Physical Review Applied》上。


文章链接:
https://doi.org/10.1103/PhysRevApplied.12.034003
03
实验验证通过发送或
不发送双场量子密钥分布
量子密钥分发(QKD),是利用量子力学特性来保证通信安全性。它使通信的双方能够产生并分享一个随机的、安全的密钥,来加密和解密消息。量子密钥分发的安全性基于量子力学的基本原理,而传统密码学是基于某些数学算法的计算复杂度。传统密码学无法察觉窃听,也就无法保证密钥的安全性。虽然量子密钥分发原则上可以提供安全的私人通信,但在长距离通信时仍存在一些技术限制,考虑到量子信号无法放大,因此也许其中最严重的就是信道损耗问题。目前科学家在长距离QKD上已经做了很多努力。双场量子密钥分发的思想可以从线性尺度上提高密率。然而,这对技术要求相当高,因为它们需要两个远距离独立激光的单光子发生干涉。
近日,中国科学技术大学潘建伟等人采用了在频率和时间传输方面开发的技术锁定两个独立的激光波长,并利用额外的相位参考光来估算和补偿光纤波动。此外,用一个高检出率的单光子探测器,通过向300 km外的光纤发送或者不发送协议证明了双光子场量子密钥分布。同时在有限尺寸效应下计算了安全密钥率。结果是在300 km时的安全密钥速率为1.96×10−6 ,高于无重复密钥容量(8.64×10−7)。实验结果也表明SNSTFQKD协议即使在相位不匹配时也具有较强的相位鲁棒性,这对于实际应用非常重要。相关研究结果发表在《Physical Review Letters》上。

文章链接:Yang Liu et al, Experimental Twin-Field Quantum Key Distribution through Sending or Not Sending, PRL,100505 (2019).
DOI: 10.1103/PhysRevLett.123.100505.
04
有效抑制超导量子处理器
普遍存在的误差
量子计算机是一种量子力学设备,能够解决经典计算机难以解决的问题。在量子计算的实际应用中,最重要的问题是如何处理器件存在的缺陷并能对其引起的计算误差进行有效的控制。量子误差校正可以将误差的概率抑制到任意低的水平,但这超出了近期技术的范围。对于在近未来量子器件上使用的浅层算法,为了获得最小误差的计算结果,最近提出了量子误差缓解方法。这种方法是实用的,因为不需要完整的逻辑编码。在不久的将来,将有可能开发出集成数百个物理量子比特的中型量子装置。但是,这些器件将缺乏实现量子容错的资源。因此,探索量子计算优势的主要挑战是在没有完整的逻辑编码的情况下,将器件的影响降到最低,并控制偏差。量子误差抑制是一种满足这一要求的解决方案。
近日,浙江大学Chao Song等人提出了一种基于层析成像和准概率分解的误差缓解方案。并首次通过实验在超导器件上测试了单量子比特电路和双量子比特电路,成功地抑制了计算误差。该器件是由10个频率可调的量子比特组成的超导电路,其中4个量子比特在实验中得到了积极的响应。同时发现随着误差的减小,计算精度有了很大的提高。由于该方案是通用的数字量子计算机和由算法计算的期望值,因此该研究结果表明,有效抑制误差或许能够成为未来量子计算的一个重要组成部分。相关研究工作发表在《Science Advances》上。

文章链接:Chao Song et al, Quantum computation with universal error mitigation on a superconducting quantum processor. Sci.Adv.2019.
http://advances.sciencemag.org/cgi/content/full/5/9/eaaw5686/DC1.
05
3D拓扑绝缘体纳米板
制成的单电子晶体管
拓扑绝缘体(TIs)是一种新型量子状态的物质,它表现出时间、反转对称保护和自旋动量互锁的无间隙 Dirac 表面状态。量子约束式TI器件被提为具有前景和重要的研究,对有限拓扑状态的基本物理机制以及低能量耗散自旋电子学和量子信息的应用具有十分重要的意义。然而,由于狄拉克表面状态没有能量间隙,以及相关的克莱因(Klein)隧道现象,因此不可能以静电方式限制电子,并且无法通过门控闭塞控制单电子水平上的传输。近年来已有报告通过角度控制光辐射光谱技术,提出并证明表面态可以通过磁掺杂或表面间状态耦合来产生间隙。但是,在实验中利用这些效应来创建量子受限的TI器件是非常困难的。
三维拓扑绝缘体的量子约束器件是很有应用前景的,对于受限拓扑状态的研究以及低能耗自旋电子学和量子信息处理中的应用具有重要意义。拓扑绝缘体表面上没有能隙限制了3D拓扑绝缘体中量子约束系统的实验实现。近日来自Peking University的Hongqi Xu研究小组报道了使用最先进的纳米加工技术在
纳米板中成功实现单电子晶体管器件,每个装置包括一个限制的中央岛,两个固定的收缩部分,连接中央岛到源极和漏极以及周围的门。低温传输测量表明,两个固定是收缩部分起到隧道结的作用,器件显示出明确的库仑电流振荡和库仑-菱形电荷稳定性图。这项工作为在三维拓扑绝缘体中形成量子约束系统提供了一种可控且可重复的方法,这将极大地促进对受限拓扑状态,低能耗装置和量子信息处理的研究。相关研究发表在杂志《Advanced Materials》上。

文章链接:
https://doi.org/10. 1002/adma.201903686
06
光学超表面是一种平面纳米结构器件,为亚波长分辨率的光波前调控提供了一个多功能平台。过去的研究中已经证明了超表面能够成功的用于控制光的振幅、相位和偏振。由于超表面超薄的体积和与传统微纳加工技术的兼容性,使得超表面在透镜、分束器和波片等方面有希望成为传统光学元件的替代品。尽管与传统折射元件相比,超表面在厚度减小方面已经取得了成功,但由于在使用单层超表面时可调自由度有限,设计具有对相位、幅度和偏振独立控制的超表面仍然是一个挑战。例如,由于空间填充限制,多波长表面性能往往较差。当同时可以实现对相位和幅度的控制时,其调控往往又仅针对单个偏振。
近日,来自美国范德比尔特大学机械工程系的研究人员探索了双层电介质表面,以扩大超表面的设计空间。独立控制每层的几何形状和功能的能力使得这种双层结构能够开发多功能超表面器件,包含独立设计的两种或更多种光学性质。作为演示范例,研究人员展示了基于相位和幅度调控的多波长全息图、多波长波片和偏振不敏感3D全息图。这种双层超表面结构为设计具有多功能的复杂平面光学器件开辟了一条新途径。

文章链接: You Zhou, Ivan I. Kravchenko, Hao Wang, Hanyu Zheng, Gong Gu, and Jason Valentine, 'Multifunctional Metaoptics Based on Bilayer Metasurfaces', Light: Science & Applications, 8 (2019), 80.
https://www.nature.com/articles/s41377-019-0193-3
07
变换光学器件(TO)能够通过基于坐标变换的空间变化来进行电磁波调控。通过精确设计光学介质的局部介电常数和磁导率,能够设计出各种预设功能。梯度折射率(GRIN)透镜是一种常见的基于TO的光学器件,包括Maxwell鱼眼透镜,伊顿透镜和Luneburg透镜等。Lunebur透镜是一种没有球面像差的透镜,由球面折射率等表面构成。 Luneburg透镜具有散光特性,例如能够在单个焦点处会聚来自单点光源的所有入射光波。
GRIN光学器件的一个优点是它们具有二维可扩展性。在之前的工作中已经提出了几种Luneburg透镜设计,并证明它们可以用于不同类型的表面波,例如表面等离子体激元(SPPs)。在过去的十年中,等离子体透镜由于能够限制亚波长区域的强电磁场而受到越来越多的关注,从而有望应用于高分辨率成像、生物和化学传感、表面增强拉曼光谱(SERS)等。
近日,来自南丹麦大学和墨西哥CICESE光学研究中心的联合研究团队设计了一种新的等离子体Luneburg透镜,该透镜由梯度折射率超表面制成。其中,透镜薄膜由300nm尺寸的电介质纳米尺寸孔阵列构成。通过对方向和频率空间中的泄漏 - 辐射模式进行成像,研究人员成功获得了样品的点扩散函数和相位分布以及等离子体透镜内有效模式体积的定性测量。 其实验结果与数值计算预测的预期平均性能非常一致。

文章链接:C. E. Garcia-Ortiz, R. Cortes, J. E. Gómez-Correa, E. Pisano, J. Fiutowski, D. A. Garcia-Ortiz, V. Ruiz-Cortes, H.-G. Rubahn, and V. Coello, "Plasmonic metasurface Luneburg lens," Photon. Res. 7, 1112-1118 (2019)
https://www.osapublishing.org/prj/fulltext.cfm?uri=prj-7-10-1112&id=417379
08
ALD生长的PbTe-PbSe热电薄膜
的热导率和声子散射过程
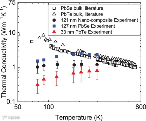
纳米结构半导体的热电应用潜力在于它们可以通过增强功率因数(S2σ),同时降低晶格热导率的贡献来增加热电品质因数ZT。硒化铅(PbSe)和碲化铅(PbTe)由于其固有的高品质因数(ZT)、低蒸气压和高熔点,是很有前途的半导体材料。在原子层沉积(ALD)生长的富含铅的n‐型PbTe-PbSe纳米结构中,塞贝克效应可得到很大改善,这是由于纳米结构和非化学计量的电子态密度变化所致。此外,第一性原理计算表明,在纯PbSe和PbTe中,纳米结构之间的间隔小于20nm就可以很好地散射声子。综上所述,纳米结构和化学修饰以PbSe‐和PbTe-为基础的薄膜,其缺陷和界面长度尺度达到几十纳米的数量级,这可能为增强热电性能提供了机会。
美国弗吉尼亚大学Patrick E. Hopkins教授研究组研究了一系列通过原子层沉积(ALD)生长的n型碲化铅-硒化铅(PbTe-PbSe)纳米结构薄膜的热导率和声子散射过程。在该工作中,PbTe-PbSe样品的ALD生长导致非外延薄膜直接生长在原生氧化物/硅衬底上,其中Volmer-Weber生长模式促进晶粒优选柱状取向。这些富含铅的PbTe、PbSe和PbTe - PbSe薄膜的ALD生长导致了二次氧化物相,随着薄膜厚度的增加,其微观结构质量也随之提高。PbTe-PbSe纳米结构中的成分变化以及产生的点和平面缺陷引起额外的声子散射,将其热导率降低至低于相应的ALD生长所对应的PbTe和PbSe薄膜的热导率。变温热导率测量表明,在这些ALD生长的PbTe - PbSe纳米结构材料中,声子散射是由外部缺陷散射过程驱动的,而不是PbTe或PbSe声子谱固有的声子-声子散射过程。这项工作的意义在于,热电PbTe-PbSe薄膜的多晶、纳米结构ALD复合材料可以有效降低声子的导热系数,并为进一步改善其品质因数(ZT),提高其热电应用潜力提供了一条途径。相关工作发表在《Advanced Founctional Materials》上。


文章链接:https://doi.org/10.1002/adfm.201904073
长按二维码
关注我们吧

免责声明:本文旨在传递更多科研信息及分享,如涉及侵权,请联系下方邮箱,我们将及时进行修改或删除。转载请注明出处,如原创内容转载需授权,请联系下方微信号。
邮箱:janechou@imeta-center.com
微信号:18305163023

