

撰稿|由课题组供稿
近日,北京计算科学研究中心薛鹏教授团队及合作者在高维非厄米拓扑量子系统的研究中取得重要进展, 首次在实验上观测到了高维趋肤效应,及其与磁场的相互影响。研究成果以“Manipulating directional flow in a two-dimensional photonic quantum walk under a synthetic magnetic field”为题,于2023年10月7日在线发表于Nature Communications, 14, 6283 (2023)。
物质传输是自然界的基本过程,在当代器件设计中有着广泛的应用。最近的一项实验中,薛鹏团队在这一方面取得了重要的进展,成功地展示了光子在二维量子行走中的定向传输。该实验通过调节光传播过程中的耗散和人工合成磁场,基于非厄米趋肤效应和人工磁场的竞争,从而产生光的定向传输,其传输的方向可以通过量子行走的参数来连续地调整。这意味着我们可以在合成系统中精确地控制光的传播方向,由此为光学通信和信息处理领域提供了新的发展方向。另一方面,实验中通过巧妙设计的几何相位引入人工合成磁场,这一方法不仅可以用于光学,还可以应用于其他物理系统如超导电子学,进一步拓展了我们对材料和能量传输的控制。除此之外,薛鹏团队还研究了这种定向流动和合成磁场如何影响边界附近的拓扑边缘模式的动力学行为。这些结果为我们提供了关于如何在合成高维系统中利用趋肤效应和规范场相互作用的深刻理解,这对于开发新型量子材料和器件具有重要意义。

图1. 实验装置图
薛鹏团队及合作者通过时间域光量子实验平台,观测到了高维非厄米趋肤效应以及其与磁场的相互作用,实验装置如图1所示。

图2. 高维非厄米趋肤效应
在没有磁场的情况下,体系的高维趋肤效应导致了体态流的定向传播,并且可以通过实验的设计,连续地调整其传播方向。在实验上,薛鹏团队通过动力学的演化过程对这一现象进行了展示,如图2所示。

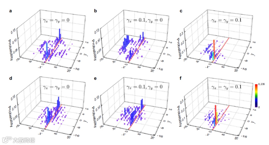
图3. 磁场对趋肤效应的抑制
在图3中,薛鹏团队展示了施加磁场后的演化末态的机率分布,从其与图2的对比可以看出,由于磁场的存在,定向流的大小在很大程度上被抑制。同样地,在图4中,薛鹏团队对拓扑边界态的性质进行了实验研究,在边界态存在的情况下,由其所支配的动力学行为依然能在趋肤效应和合成磁场存在的情况下展示出新奇的行为,即拓扑模式能够在磁场的作用上很大程度抵消趋肤效应的影响。

图4. 拓扑边界态的观测
总的来说,这项研究为工程定向光传输提供了一种创新的策略,并推动了在合成系统中探索光子传输的研究。薛鹏团队的实验成果不仅深化了人们对非厄米量子系统的理解,还为未来的光学和电子技术发展提供了新的方向。
这项研究是该团队继观测新型非厄米拓扑体边对应关系[Nat. Phys. 16,761–766 (2020)],非布洛赫宇称时间对称相变的观测[Phys. Rev. Lett. 126,230402 (2021);Phys. Rev. Lett. 126, 230402 (2021) ],非厄米半金属和金属的量子模拟[Phys. Rev. Lett. 127, 026404 (2021)],非厄米拓扑安德森绝缘体的观测[Nat. Commun. 13, 3229 (2022)],非厄米准晶中三重相变的观测[Phys. Rev. Lett. 129, 113601 (2022)],拓扑保护的高阶奇异点的实验模拟[Sci. Adv. 9, eadi0732 (2023)]之后,在非厄米系统新奇物性研究方面取得的又一重要成果。
该论文的理论合作者为中国科学技术大学易为教授,北京计算科学研究中心的博士生林泉为第一作者。该成果得到了国家自然科学基金的支持。

论文链接
https://www.nature.com/articles/s41467-023-42045-4


