
2023年8月17日,Nature(《自然》)发表了华盛顿大学关于分数量子反常霍尔效应的最新研究成果。论文题目为“Observation of Fractionally Quantized Anomalous Hall Effect”( 分数量子反常霍尔效应的观测)。
拓扑材料是体电子能带结构展现出非平庸拓扑性质的量子物相。经典的例子是整数量子霍尔效应。当无相互作用的二维电子气处在强磁场中时,会形成朗道能级,导致系统的拓扑性质发生变化。Thouless等人指出的,拓扑性质由一个不变量表征,即陈数C,它决定了受拓扑保护的手性边界通道的数量。当强电子-电子相互作用出现时,将可能出现分数量子霍尔态。这些分数态作为遵循分数统计的新奇激发而备受关注。
整数和分数量子霍尔态都需要外部磁场破坏时间反演对称性。而Haldane预言了零磁场下也存在整数量子霍尔效应,即量子反常霍尔效应。不同于传统量子霍尔态,这些态不依赖于朗道能级的形成。整数量子反常霍尔效应是由薛其坤老师团队在磁性掺杂的拓扑绝缘体薄膜的在2013首次观测到。近来,还在本征磁性拓扑绝缘体和摩尔量子材料中观测到。在强关联电子系统中,整数量子反常霍尔效应对应的分数量子反常霍尔效应的发现,将开启凝聚态物理的新篇章。

图1. 器件结构示意图及量子反常霍尔态的相图。

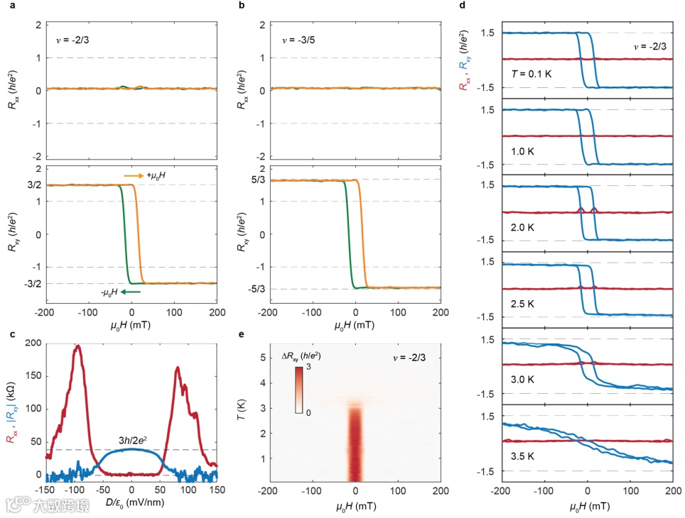
图2. 分数量子反常霍尔效应。
和
的位置。这些分数态很稳定,在1-2K之间还呈现出量子化。所有的霍尔电阻Rₓᵧ平台特征随外加磁场线性的移动,对应的斜率与陈数为-1,-2/3和-3/5的态相对应。这些量子反常霍尔效应态都可以被电场调控,体现出从拓扑态到非拓扑绝缘态的连续量子相变。此外,在零磁场下,当系统处于半填充时(ν=-1/2),霍尔电阻Rₓᵧ处在~2h/e²处。随着ν的调节,霍尔电阻Rₓᵧ出现线性变化。这表面-1/2态是可压缩的,有别于不可压缩的-2/3和-3/5态。这类似于高磁场下二维电子气处于最低朗道能级半填充时的复合费米液体的行为。接下来还需要进一步证明半填充时体是否是真的为零磁场费米复合流体。例如,当ν在-1/2附近变化时,费米复合流体态将展现出本征的共度振荡。特别的是震荡周期可以通过调节摩尔周期来调节,一个属于摩尔系统的特别现象。分数量子反常霍尔效应在转角MoTe₂中的直接观测和相关效应为研究零磁场下的电荷分数化和任意子统计铺平了道路。
作者:Zeyu Li (USTC)


