
比翱起源于国际知名科学理论(Biot,多孔介质理论),是传承百年的多孔介质研究和材料物理特性设计领域的经典理论!比翱科技集团致力于成为科技创新和工业研发领域的世界级工程生态平台。比翱DNA以其人类价值为特征,这些价值体现在我们所有的行为和项目中。这些价值观是我们的特质,是我们内部和外部活动不可或缺的一部分。

比翱夏令营 · 前瞻丨声振功能材料与结构创新设计国际合作平台

此项研究将非线性阻尼的影响与局域谐振超材料的概念相结合,以实现超出传统带隙范围的振动衰减。所提出的设计结合了线性主悬臂梁和周期性分布的惯性放大器作为非线性局域谐振器。惯性放大器引起的几何非线性导致振幅相关的非线性阻尼效应。通过使用时频域交互法和数值连续技术实现模态叠加和数值谐波方法,对有限非线性超材料进行了精确建模。由此产生的非线性频率响应表明,带隙既与振幅相关又加宽。此外,还讨论了局域谐振器与主波束的振型之间的非线性相互作用,这带来了有效的模态频率耗散能力。实验验证了理论结果。通过将非线性阻尼效应嵌入局域谐振超材料中,实现了所提出的超材料的宽带和冲击波衰减,这为多功能超材料开辟了新的可能性,使其超越了线性材料的传统带隙范围。
此项研究基于团队之前提出的具有一般局域非线性的基于欧拉-伯努利(Euler–Bernoulli)梁的非线性超材料的建模方法,通过非线性局域谐振器的实际设计,研究了一种用于宽带振动衰减和模态耗散的新型非线性阻尼超材料。以设计和求解真实的非线性超材料系统为目标,建立了对实际实验参数的所有分析。利用频散分析和模态分析方法以及数值谐波平衡方法来求解这种非线性超材料的振幅相关响应。通过时频域交互法(AFT)和数值连续技术,可以处理更一般的非线性问题,在弱到强非线性情况下可能产生谐波。此外,还讨论了非线性模态耦合,以证明局域谐振器和主波束的模态形状之间的非线性相互作用,这导致了超出传统带隙研究的有效模态能量耗散能力。在理论分析的基础上,设计了一种非线性超材料,以结合惯性放大器引起的几何非线性阻尼效应。实验测量了单个非线性谐振器的非线性频率响应和非线性超材料的传输率。理论和实验结果不仅验证了解决所提出的非线性超材料振幅相关响应的方法,还深入了解了结合非线性带隙和模态频率耗散的宽带衰减机制,这为多功能超材料超越其线性带隙范围的极限开辟了新的可能性。

图文快览

上图:旋转惯性放大器的示意图和俯视图;下图:具有晶格常数的非线性超材料的半无限示意图


不同加速度振幅下的频率响应函数、等效阻尼和频散曲线。(a)和(b):局域谐振器的频率响应函数的振幅和相位。(a)中的放大视图示出了用红色主干曲线指示的谐振频率的偏移;(c)局域谐振器的等效阻尼;(d) 和(e):非线性超材料的实波数和虚波数


非线性超材料的尖端透射率和空间频率分析。(a)–(c):线性尖端透射率,𝑤̈𝑏=20g非线性,以及𝑤̈𝑏=40g非线性情况;(d)–(f):空间频率分析证明了线性,𝑤̈𝑏=20g非线性,以及𝑤̈𝑏=40g非线性情况

主梁自由端处的三次谐波的位移幅度与一阶谐波的位移振幅之间的三次谐波生成比Q31。灰色虚线对应于模态频率下的三次谐波生成

线性谐振频率下具有非线性力的局部谐振器的极限环𝜔𝑟

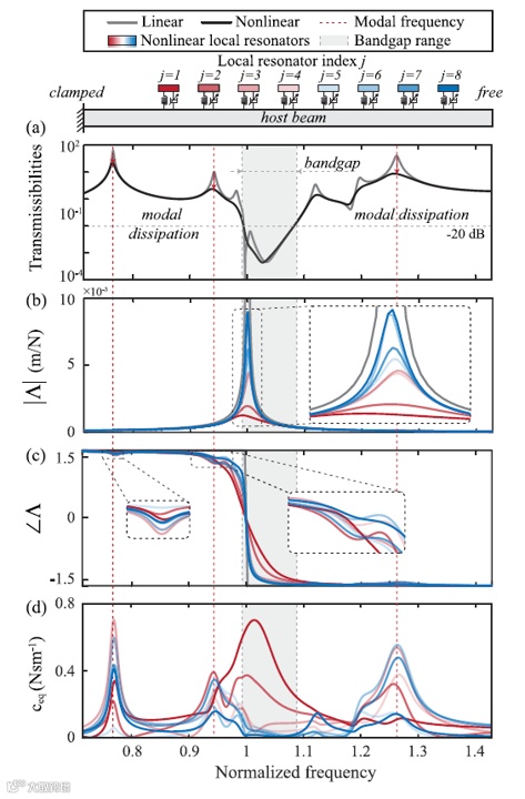
超材料中的非线性模态耗散。(a)模态频率下的振动衰减;(b)和(c):局域谐振器的频率响应函数的振幅和相位;(d)局域谐振器的等效阻尼

t=0初始冲击后非线性超材料的能量衰减率包络和小波变换


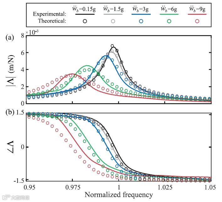
不同基础激励加速度𝑤̈𝑏下惯性放大器(𝜃=35°)的实验和理论频率响应函数𝛬

不同基础激励电压下非线性超材料的实验和理论透射率𝑉0和加速度𝑤̈𝑏

非线性超材料在不同冲击电压V0下的实验冲击波衰减。(a)具有激光扫描点和输入冲击信号轮廓的非线性超材料的实验装置;(b)非线性超材料在不同冲击强度下的实验能量衰减率;(c)速度的实验小波变换𝑤̇𝑟𝑗前两个非线性局部谐振器的两个不同的冲击情况
本文基于旋转惯性放大器引起的非线性阻尼效应,提出了一种实用的可调谐非线性谐振器。该谐振器用于创建用于宽带振动衰减的非线性超材料,将更宽的带隙和主体结构内的一般模态振动耗散相结合。重新审视非线性阻尼效应的机制,建立了半无限非线性超材料情况下的非线性频散关系。更重要的是,在实际应用中,针对非线性超材料中的一般非线性,采用模态分析和时频域交互(AFT)多重谐波平衡方法研究了有限结构的非线性频率响应。理论结果表明,随着激发能级的增加,带隙变宽。特别是,在所提出的超材料中,局域谐振器和主波束的模态形状之间的非线性相互作用带来了有效的模态频率耗散能力。最后,对单个非线性谐振腔能级和全超材料系统进行了实验。实验结果验证了非线性带隙和模态耗散是宽带和冲击波衰减的机制。通过将非线性效应与传统局域谐振超材料的概念相结合,此项发现为在传统线性带隙范围之外的振动衰减提供了新的可能性。
原文来源:Mechanical Systems and Signal Processing,Volume 208, 15 February 2024, 111079;A nonlinear damped metamaterial: Wideband attenuation with nonlinear bandgap and modal dissipation;https://doi.org/10.1016/j.ymssp.2023.111079
通过阅读原文了解此项研究成果。
比翱科技集团有限公司(ProBiot Group),是科技创新与工业研发领域的行业领先平台与现代工程技术服务商,致力于基础科学与科研成果的前沿技术研究、知识体系构建、工业转化、创新研制、标准化与产业推进,赋能国家智能制造与民生工程,构建高科技工程与产业生态平台。
比翱科技集团在理论研究、科技创新、正向设计、测量测试、高性能仿真、人工智能、新材料与新技术研究、工程开发与咨询、计量校准、虚拟试验及验证、软硬件及功能材料产业化研制等方面拥有国内外专家工程团队、自研技术、系统创新能力和广泛的国际合作资源,为全球用户提供工业研发专项领域的先进技术、产品、解决方案与工程服务。

比翱科技集团旗下比翱研究院、比翱工程实验室、比翱声学技术有限公司、智慥链等功能平台,基于国家在发展智能制造基础能力平台建设的政策指导,针对于“新材料、新声学、新技术”先行研究和全链路工程技术体系建设的实际需求,致力于成为多物理场建模-表征-验证、声振工程设计、虚拟试验与数智化、功能材料与结构创新研制等领域的现代技术服务商和世界级工程生态平台。
021-33600060丨0512-52802111
● 比翱研究院丨多孔声学与阻尼材料前沿与应用2023回顾(一)
● 比翱研究院丨多孔声学与阻尼材料前沿与应用2023回顾(二)
● 比翱研究院丨AI for Materials:功能材料前沿与应用2023回顾
免责声明:部分资料来源网络,转载目的在于传递信息及分享,并不意味赞同其观点或其真实性,也不构成其他建议。仅提供交流平台,不为其版权负责。如涉及侵权,请联系我们及时删除。