

撰稿|由课题组供稿
提其表面波大家应该不会太陌生——扔一颗石子到水中,水的表面就会有一层层的波纹,这其实就可以视为表面波的一种。在简化的模型中,水作为水波传播的“背景板”,我们可以假定水的每一部分都在波的一个周期后回到原来的位置。在此基础之上,我们需要再加入两个约束条件:其一,假定水是不可压缩理想流体。这个约束条件意味着:不可压缩意味着每一个质量微元的体积都保持不变。从位移场的角度来说,我们可以用速度场的散度为零来表示介质的体积不可压缩:∇⋅v=0。此外,理想流体不能传递剪切力。这导致了其速度场的旋度为零,即∇×v=0。第二个约束条件则与表面波的“表面”相关:假设水的表面受力为零。据此,我们可以得出这种表面水波的速度场的具体形式,并且发现其两个方向的振动有九十度的相位差,其速度场是在旋转的,也就意味着表面水波拥有非零的场自旋密度,如下图:

(水浪波动,图片来源于网络)
不得不提的是,表面波之所以称之为“表面”波,是因为其振幅随深度是衰减的。如果表面波沿着x方向在z=0表面传播,并且随着深度z的增大而衰减,则表面波振幅∝ei k x-κ z。ei k x是波的基础表达形式,k代表着沿着x方向传播的波数。而e-κ z则代表着振幅随着深度z的增大指数级衰减,即波只在z=0的“表面”传播。实际上不仅是水波,其他介质中也可以找到这种表面波:表面电磁波(表面等离激元)中的电场,表面空气声波中的速度场,以及固体声表面波——瑞利波的位移场。而这些不同介质中的表面波也有着不同的约束条件:对于水波来说,其速度场v有∇⋅v=0且∇×v=0;由于电磁波是横波,其电场有∇⋅E=0;对于空气声波来说,虽然空气可压缩,但是空气的无剪切流体特征也要求其速度场∇×v=0。而弹性波,由于固体既有正应力也有切应力,弹性波同时存在无旋场和无散场,其位移场u=∇φ+∇×Ψ=ul +ut,其中∇×ul=0,∇⋅ut=0。由于表面波的场的形式皆有ei k x-κ z,所以它们应当拥有相似的性质。我们可以把以上几种系统中的,拥有ei k x-κ z形式的表面波对比一下,画出其自旋角动量密度和其对应矢量场在时间域的椭圆极化方向,如下:

上图中,图a-d分别对应着从左往右传播的表面水波,表面电磁波,表面空气声波和表面弹性波--瑞利波。颜色图的蓝色表示自旋角动量密度方向垂直纸面向内(负),红色代表方向垂直纸面向外(正),矢量场在时间域的椭圆极化方向在右侧画出。从上图中我们可以看出,前三者虽然其场的旋度散度(作为空间域上的几何性质)不尽相同,但是其自旋密度(作为时间域上的旋转性质)都是类似的,都是垂直纸面向内并且其大小随着深度的增加逐渐减小。但是瑞利波却是唯一的反常,不仅在弹性介质表面的自旋方向是垂直纸面向外,并且随着深度的增加自旋方向还会翻转。我们刚才说到,弹性波的位移场可视作无旋场(纵波场)和无散场(横波场)的加和,那么我们可以从数学上分别看一下它们的性质,把他们分别画出来。为了更好的观察位移场的全貌,我们同时也画出位移场对应的形变,如下:

可以看出,其“自旋”方向和表面水波,表面电磁波,表面空气声波是一样的。实际上,它们的表达形式都和水波,空气声的速度场v以及表面电磁波的E相同。
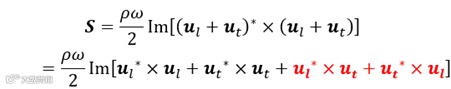
那为什么瑞利波表面的自旋方向却和其他系统相反呢?这实际上是一个非常简单的数学问题。弹性波的自旋角动量密度可以写为:

它不仅有无散场和无旋场各自独立的贡献,还包含了交叉项的贡献(上式标红的部分),我们将后者称为“杂化”自旋。在y方向的振动分量为零的情况下,杂化自旋的部分可以重新组合为两个虚拟位移场的贡献。我们可以绘制一下这瑞利波中两个虚拟的位移场的极化旋转(表示为带箭头的圆圈)和自旋角动量密度(表示为红颜色),如下:

所以实际上,瑞利波中反常弹性波自旋及其反常自旋动量锁定其实是由杂化部分带来的贡献。在接近z=0的表面,杂化部分的贡献最大,因此自旋方向为正;随着深度的增大,杂化部分的贡献衰减的更快,因此弹性波自旋由纯横波和纯纵波主导,自旋方向翻转为正常的负方向。虽然表面波的场的形式皆有ei k x-κ z,但是这种“杂化”的贡献在纯纵波,纯横波等系统中是没有的。这也意味着弹性波中存在着更为丰富的自旋角动量结构。
杂化声波自旋的存在意味着我们在调控表面弹性声波的时候可能会多一些选择。举一个具体的例子:对于在薄板/狭缝中传播的波来说,假设薄板/狭缝的中心线位于z=0的位置,则我们可以将波的模式分为两种:对称模式(symmetric mode)和反对称模式(anti symmetric mode),

上图是电磁波在两侧为负介电常数材料的真空狭缝中的最低阶的对称/反对称模式。

上图是空气声波在两侧为负质量密度材料的空气狭缝中的最低阶的对称/反对称模式。
可以看到,以上二者的对称模式和反对称模式在狭缝的上下表面是一样的:都是上负下正。而在条状弹性板中的兰姆波(上图c)却不是这样。由于杂化部分的贡献,它最低阶的对称模式和反对称模式(S0和A0)的自旋分布相反,如下:

考虑到兰姆波还具有自旋-动量锁定的性质,我们可以利用S和A模式自旋方向的区别来分别激励它们:

如上图,我们可以用两个压电片(PZT)组成的自旋源贴在薄板的下表面(贴在x=0处),并让其激励自旋为正的模式,那么我们在源的左侧(x<0)就可以观测到A0模式,在源的右侧x>0观测到S0模式。下图为实验测量结果:

图中理论上A0和S0的色散曲线分别由蓝色和橙色实线标出。当源的振荡频率为20kHz时,我们测到了上图的结果:在源右侧主要为A0模式,源左侧主要为S0模式。通常来说,我们向控制两个边界上振动的对称性,需要在每一条边界上都放置一个激励源。但是在兰姆波中,得益于其自旋角动量结构,我们可以通过A/S模式自旋分布性质的差异,仅在单独一条边界上激励特定的模式。
上述关于弹性表面波中的杂化自旋的工作以Hybrid Spin and Anomalous Spin-Momentum Locking in Surface Elastic Waves为题发表于Physical Review Letters,由同济大学声子学和声子自旋团队,包括物理科学与工程学院,航空航天力学学院以及日本理化研究所的联合团队合作发表。其中,博士生杨晨温,博士生张丹妹和赵金峰教授为共同第一作者,任捷教授,仲政教授和Konstantin Y. Bliokh教授为共同通讯作者。同时,博士生高文婷,袁伟桃,龙洋,潘永东教授,陈鸿教授和Franco Nori教授也参与了该工作并提供了重要的帮助和讨论。
该工作受科技部重点研发计划,基金委重点项目,上海市科委项目、原创探索、优秀学术带头人项目,以及上海市特殊人工微结构材料与技术重点实验室等支持。
同济大学任捷声子学课题组和合作伙伴在声波自旋、弹性波自旋和声子自旋相关系列工作还包括:弹性波自旋和轨道角动量的理论提出:[Proc. Natl. Acad. Sci. 115, 9951 (2018)];空气声的声自旋角动量和自旋力矩的实验验证[Natl. Sci. Rev. 6, 707 (2019)];利用超表面波导管的对称性破缺构造声自旋输运的理论和实验[Nat. Commun. 11, 4716 (2020)]以及近场对称性选择的手性耦合理论和实验[Natl. Sci. Rev. 7, 1024(2020)]。在弹性波系统中,课题组对弹性波自旋和声子自旋进行了较为系统地讨论[Chin. Phys. Lett. 39 126301 (2022)],并对均匀介质[Nat. Commun. 12, 6954 (2021)]以及拓扑声子晶体[Phys. Rev. Lett. 129, 275501(2022)]中的弹性波自旋-动量锁定效应进行了理论研究和实验验证。课题组长期招收声子学和弹性波相关的博士生,博士后,以及青年教师,尤其欢迎实验背景(请联系:任捷,Xonics@tongji.edu.cn)。声自旋的研究才刚刚开始,星辰大海是我们的征途,希望更多有志向的年轻人加入这个有趣的方向,一起书写新的篇章。
论文链接:
https://journals.aps.org/prl/abstract/10.1103/PhysRevLett.131.136102

