搜索
首页
大数快讯
大数活动
服务超市
文章专题
出海平台
流量密码
出海蓝图
产业赛道
物流仓储
跨境支付
选品策略
实操手册
报告
跨企查
百科
导航
知识体系
工具箱
更多
找货源
跨境招聘
DeepSeek
首页
>
Light | 量子剪裁、红外上转换和温度探测一体化
>
Light | 量子剪裁、红外上转换和温度探测一体化
两江科技评论
2024-02-02
1
导读:大连海事大学理学院陈宝玖教授团队
撰
稿 |
高端 沙雪竹
1. 导读
引入光转换材料是提高硅基光伏器件光电转换效率的有效途径之一,光转换材料包括量子剪裁材料和上转换材料。引入量子剪裁材料的目的是将短波长光子分割成两个或更多个能够引起硅基光伏器件响应的光子,引入上转换材料的目的是将硅基光伏器件本无响应的两个或更多个红外光子合并为一个能引起硅基光伏器件响应的光子。引入光转换材料可以在不改变硅基太阳能电池自身光电转换效率的前提下,提高硅基光伏系统总的光电转换效率,这样可以大大降低提升硅基光伏系统效率的技术难度。此外,硅基光伏器件暴露在太阳光下工作,因而必须对其
温度
进行管理,管理温度的前提是对温度进行测量。可以设想,如果将三种分别能实现量子剪裁、上转换和温度传感的材料同时引入硅基太阳能电池,会导致电池结构设计困难和电池成本的不必要增加,因此,寻找和开发兼具以上三种功能于一身的性能优良材料将是一项艰巨任务。
近日,
大连
海事大学研究人员通过研究发现Er
3+
/Yb
3+
共掺杂的NaY(WO
4
)
2
粉体可实现高达173%的量子剪裁效率的Er
3+
敏化Yb
3+
近红外发射,同时在1550 nm激发下可实现几乎纯色的强Yb
3+
近红外发射,以及用于温度传感的荧光弱温度猝灭。
2. 研究背景
当前,人类生产和社会
活动
的能源供应主要还依赖于化石能源,而化石能源在地球上的储量是有限的,当今能源消耗的逐年增长更加剧了能源危机的态势。因此,开发和利用可再生能源成为了一个学术界和产业界所广泛关注的话题。太阳能被认为是最有前途的可再生能源,因而备受瞩目和研究。利用太阳能的有效途径之一是利用光伏器件将太阳光能转换为电能供人类使用。
硅基太阳能电池是当前技术最成熟、应用最广泛的光伏器件,但其工业产品的效率仍与理论最大效率相差较大,硅基光伏器件本身光电转换效率的提高会带来生产成本的巨大增加,进而导致其性价比急剧下降。除了通过改善硅基光伏器件自身性能提升光电转换效率外,还可以通过引入量子剪裁材料将短波长光子分割成两个或以上对硅基光伏器件仍有效的光子,或者引入上转换材料将对硅基光伏器件无效的两个或以上长波光子转换为对其有效的一个光子。此外,硅基光伏器件,特别是聚光型光伏器件还面临着器件的热管理问题,也就是硅基光伏器件在太阳光照射下其温度会升高,导致光转换效率降低,因此必须对其温度进行测量和适时降温处理。
2.1 稀土离子的量子剪裁机理与效率
稀土离子的量子剪裁过程是普遍存在于稀土离子掺杂的发光材料中的,只要稀土离子掺杂材料被一个光子激发后,能够产生两个或以上光子发射,都属于量子剪裁行为。这两个发射光子的波长可以相同,也可以是不同的。在稀土离子绝大多数发光过程中都伴随着量子剪裁行为,只是量子剪裁的效率非常低,这是因为大多数情况下稀土离子4f的高能激发态到低能激发态的跃迁速率相对较小。
稀土离子中心的量子剪裁可分为以下四种:其中A过程是级联的辐射跃迁过程;B过程是第二个离子接受第一个离子传递
能量
产生一个光子发射,其自身经过能量传递退激发到较低激发态产生第二个光子发射;C过程是敏化剂离子将能量分两步传递给两个激活剂离子(可以是同种或不同种),激活剂离退激发后发射两个光子;D过程是合作发光过程,即一个激发态离子将能量同时传递给两个另外稀土离子,接受能量的两个稀土离子退激发后产生两个光子发射。
稀土离子掺杂材料的量子剪裁效率的最
大理
论值可以是200%(两光子发射过程)、300%(三光子发射过程),甚至400%(四光子发射过程)。稀土离子掺杂材料的量子剪裁效率即可以通过实验直接测量,也可以通过光谱和荧光动力学测量数据进行理论计算。从技术上来讲,量子剪裁效率是可以直接测量的,并且这一测量是绝对测量,一般设备厂家把这样的测量效率也称作内量子效率,这是因为测量是对材料进行的,而非对器件或系统进行。然而,影响量子剪裁效率的测量因素很多,因此测量结果往往与实际相差较大,甚至量子效率测量结果与可靠的光谱测量结果相矛盾。通过光谱和动力学结果计算得到的量子剪裁效率是内量子效率,量子剪裁效率计算关注的是材料中发生在离子自身层面的物理过程,计算结果与实验测量结果一般是不同的,计算得到的量子剪裁效率略高于实验测量结果是必然的。应该指出的是,尽管计算得到的是内量子效率,但计算必须是清楚了量子剪裁机理后才可实施的,同时光谱测量和动力学测量的数据可靠性更高,因此计算量子剪裁效率更有意义。
当前文献报导的计算量子剪裁效率的方法主要有两个途径。一个途径是通过测量供体(敏化剂)的激发态寿命进行能量传递速率的估算,然后根据研究体系可能的量子剪裁过程进行效率的估算;另一个途径是通过测量供体发射光谱在受体不存在和存在时的光强度的变化进行估算。在这两种途径中,多数情况下,都是把量子剪裁过程进行了简化处理,例如忽略了无辐射跃迁的影响、受体能级的量子效率影响,以及激发态能级间的跃迁的影响等。这样的简化可能会导致较大的估算误差,因此,考虑尽可能接近实际的量子效率的评估非常重要。
图1
稀土离子量子剪裁机理
2.2 稀土离子上转换
稀土离子的上转换发光是吸收两个激发光子(波长可以相同,也可以不同)而产生一个高能光子发射的过程。上转换发光是发光物理和材料研究中备受关注的物理过程,目前对其机理认识也非常深入。上转换发光主要有以下六种可能机制:A为能量传递上转换,是上转换发光中心接连接受两个敏化剂离子的能量实现高能光子发射;B为激发态吸收过程,上转换发光中心连续吸收两个激发光子(可以是同波长,也可以是不同波长)而实现高能态的辐射跃迁;C是合作敏化过程上转换发光,即两个处于激发态的离子同时将能量传递给一个发光中心而无需中间能级参与;D是合作发光过程,此时两个处于激发态的离子同时退激发而产生一个光子,不存在与上转换光子能量相匹配的发射能级;E是双光子吸收激发上转换过程,这一过程也无需中间能级,发光中心吸收两个光子后跃迁至某一能级在量子力学上是允许的,并且只有这种过程中上转换发光强度与激发
功率
的平方严格成正比;F是光子雪崩上转换过程,它与A过程类似,但不同的是中间激发态的布居积累需要一定
时间
。
在以上提及的六种稀土掺杂材料上转换机制中,第一种机制可实现上转换效率最高,第二种机制虽然优于其他四种,但仍无法与第一种比拟。当前文献报道的稀土上转换发光材料多是980 nm激发下Yb
3+
敏化Er
3+
、Tm
3+
、Ho
3+
、Pr
3+
、Tb
3+
等实现的,其中以Yb
3+
敏化Er
3+
实现红色和绿色发光居多。而在1550 nm激发下Er
3+
敏化Yb
3+
实现近红外发射的报导较少,对其认识也不够深入。
稀土离子上转换发光的最大理论效率为50%(两光子过程)、33%(三光子过程),或25%(四光子过程),但一般实际测量效率都远小于理论值,这是因为上转换过程需要中间能级参与,卷入上转换过程的能级较多,这就导致上转换过程中总的无辐射损耗也大,当前实现的双光子上转换效率都小于10%(测量效率),而计算效率鲜有报导。
图2
稀土离子上转换发光机理
2.3 荧光温度猝灭与温度传感
荧光温度猝灭是指随着温度的升高而荧光强度逐渐减小,是发光材料的一种更普遍的物理现象。这一过程的机理可能是随着温度的升高,无辐射跃迁速率增加导致发光能级的消布居,也可能是由于横向串越所导致的激发态能级的消布居,还可能是随着温度的升高导致能量传递更为有效引起的。认识发光材料的温度猝灭特性对实际应用具有重要意义。
荧光温度传感即是通过测量发光材料某个随温度变化的物理量,并对其与温度关系定标,获得温度响应曲线。有了温度响应曲线,未知温度可以根据测量得到的该物理量数值对应温度响应曲线的温度而获得。在诸多温度传感途径中,利用两个能级荧光强度比进行温度标定更受青睐,这是因为荧光强度测量和数据处理更方便,可实现的温度测量范围更广。两个发光能级如果处于热平衡,它们的发光强度比满足玻尔兹曼方程;如果不处于热平衡,情况就非常复杂,要根据实际情况找到其物理规律,或者在一定温度范围内用某个数学函数进行近似描述,获得温度传感响应曲线也是可行的。
3.
创新研究
该项研究不同于以往报导的用于太阳能电池的光转换材料,作者通过调整NaY(WO
4
)
2
中Er
3+
/Yb
3+
掺杂浓度,实现了效率高达173%的Er
3+
敏化Yb
3+
近红外量子剪裁发射。同时,在1550 nm激发下实现了Er
3+
/Yb
3+
共掺杂的Yb
3+
近红外上转换发射比同浓度下Er
3+
单掺杂高20倍,并且发射主要集中在近红外区,可见区发射非常弱。此外,该项研究还证明了NaY(WO
4
)
2
:Er
3+
/Yb
3+
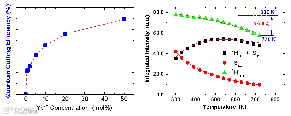
体系的荧光强度比温度传感技术适合于硅基太阳能电池的有效工作温度范围内的温度传感。非常难得的是该项研究寻找到了一种兼具量子剪裁、近纯色红外上转换和温度传感三种性能均优异的硅基太阳能电池用光转换材料。
图3
N
aY(WO
4
)
2
:
Er
3+
/Yb
3+
量子剪裁机理
量子剪裁过程一般比较复杂,该文的一个重要贡献是通过光谱测量可靠地揭示了NaY(WO
4
)
2
:Er
3+
/Yb
3+
体系的量子剪裁机理,并且全面地考虑了所有可能的辐射跃迁、无辐射跃迁及能量传递对量子剪裁过程的贡献,定量地计算了量子剪裁效率。在计算辐射跃迁速率过程中,与传统的Judd-Ofelt计算过程不同,该项研究采用了漫反射谱和一个能级的荧光衰减数据进行了Judd-Ofelt计算,并利用获得的Judd-Ofelt参数计算得到感兴趣跃迁的辐射跃迁速率。此外,该文作者还给出了
2
H
11/2
/
4
S
3/2
能级荧光强度随温度变化的数学描述,证实Er
3+
在NaY(WO
4
)
2
中绿色荧光的热猝灭主要是因为随温度的增加
4
S
3/2
能级的无辐射跃迁速率的增大所导致。
图4
量子剪裁效率(左)及
2
H
11/2
/
4
S
3/2
荧光温度猝灭(右)
4. 应用与展望
该项研究成果从光谱的
角度
阐述了三效合一的NaY(WO
4
)
2
:Er
3+
/Yb
3+
材料的量子剪裁、红外上转换和温度传感性质,发现该材料具有应用于硅基太阳能电池系统的潜力,但在实际应用中仍需考虑器件结构设计和制作工艺优化等问题,以取得更好的光电转换效能。此外,该项研究也为开发新型硅基太阳能电池用光转换材料提供了一个可行的研究思路,即进行量子剪裁效率的评价、温度传感特性评估和红外上转换的设计方法等。尽管当前的研究结果呈现了该项研究方法的全面性和材料性能的优越性,但该项工作对上转换发光效率的评价仍是一个缺憾,无论是理论计算还是实验测量的上转换效率都将大大增强该项研究的完备性和成果的实际应用参考价值。
该研究成果以“
Near Infrared Emissions from Both High Efficient Quantum Cutting (173%) and Nearly-Pure-Color Upconversion in NaY(WO
4
)
2
:Er
3+
/Yb
3+
with Thermal Management Capability for Silicon-Based Solar Cells
”为题在线发表在
Light: Science & Applications
。
本文第一作者为大连海事大学交通运输工程学院博士研究生高端,通讯作者为大连海事大学理学院陈宝玖教授。
论文信息
Gao, D., Chen, B., Sha, X.
et al. Near infrared emissions from both high efficient quantum cutting (173%) and nearly-pure-color upconversion in NaY(WO
4
)
2
:Er
3+
/Yb
3+
with thermal management capability for silicon-based solar cells.
Light Sci Appl
13, 17 (2024).
https://doi.org/10.1038/s41377-023-01365-2
免责声明:本文旨在传递更多科研资讯及分享,所有其他媒、网来源均注明出处,如涉及
版权
问题,请作者第一时间后台联系,我们将协调进行处理,所有来稿文责自负,两江仅作分享平台。转载请注明出处,如原创内容转载需授权,请联系下方微信号。
【声明】内容源于网络
0
0
两江科技评论
聚焦“光声力热”超构材料、凝聚态物理、生物医学、智能制造等领域,打造科研人便捷的交流平台,发布优质新鲜的科研资讯。
内容
6001
粉丝
0
关注
在线咨询
两江科技评论
聚焦“光声力热”超构材料、凝聚态物理、生物医学、智能制造等领域,打造科研人便捷的交流平台,发布优质新鲜的科研资讯。
总阅读
1.9k
粉丝
0
内容
6.0k