

撰稿|课题组供稿
近日,广州工业技术研究院量子精密测量研究中心与中国科学院精密测量科学与技术创新研究院、广州工业智能研究院、苏州大学等单位合作,探索了量子信息处理过程中的量子速度极限问题,并利用超冷的40Ca+离子平台,实验证实了理论上获得的量子速度的最优上限,即真实的量子演化速度可以无限接近但不会超越该上限。研究人员基于该上限,以量子绝热捷径操作为例,在实验上优化了量子信息处理过程中量子速度极限与功耗之间的权衡。上述工作以“Single-Atom Verification of the Optimal Trade-Off Between Speed and Cost in Shortcuts to Adiabaticity”为题,于5月24日发表在物理学领域顶级期刊《Physical Review Letters》。论文的共同第一作者为博士后章嘉伟、博士生卜锦涛、本科生孟维权和博士后李加冲,通讯作者为苏州大学徐震宇教授、精密测量院周飞副研究员和冯芒研究员。该研究得到国家自然科学联合基金项目、国家自然科学基金-青年项目、中国博士后基金-特别资助和面上资助以及广东省量子科学战略专项的资助。
在量子信息处理过程中,量子态不可避免地受到退相干等噪声的干扰破坏。绝热演化能有效抵抗这些噪声干扰,但由于它要求系统的演化速度非常慢,超出了量子系统有限的相干时间,因而在实际应用中难以实现。量子绝热捷径技术是实验上经常使用的一种手段,它通过增加辅助驱动场的方式,实现与绝热演化相同的效果,且能够加快演化的速度,有利于在退相干时间内尽快完成相应的量子处理过程。但俗话说 “天下没有免费的午餐”,快速的演化一定会消耗更多的能量。准确理解这种速度限制有助于实事求是地推动量子信息技术的应用。
量子力学中的海森堡不确定原理给出了能量变化与时间之间的权衡关系,由此限制了量子态演化的最大速度,也给出了辅助驱动场的功耗与量子态演化速度极限之间存在的一种权衡。但研究人员发现以前提出的几种权衡关系并不能准确反映出量子系统真实的演化情况。主要存在的问题有:一、真实的演化速度无法达到理论上求得的量子速度极限。通常使用Cauchy-Schwarz不等式所得到的量子速度极限远远大于真实的演化速度,不能准确反映出量子系统的情况;二、量子速度极限无法真实反映量子态本身的演化趋势,有时甚至是完全相反的描述。
在本项工作中,研究人员巧妙地利用s参数化相空间方法对量子速度极限进行二次缩放,从而解决了上述问题。s参数化相空间是一系列相空间的集合,例如,常见的Wigner相空间即s=0情形。由于s参数具有连续性,因此总可以找到所有相空间的一个子集,使得二次缩放后的量子速度极限比以往得到的量子速度极限要更优。研究人员通过紧量子速度极限的严格证明,发现最优量子速度极限可以用以往很少关注的
相空间来描述,由此提出了一个辅助驱动场的功耗与量子态演化速度极限之间新的权衡关系表达式。
针对以上理论上的结论,研究人员运用离子阱量子操控技术做了验证。离子阱系统是世界上公认的在相干时间,量子态制备、量子态操作和测量等关键参数全面超过量子容错计算阈值的系统,是目前最有希望展现量子技术应用优越性的物理系统之一。在本项工作中,研究人员基于40Ca+离子量子精密测量平台,运用量子绝热捷径技术执行了著名的朗道-齐纳模型(Landau-Zener model),并在不同初态下的该模型检验了上述理论,如图一所示。
图一、(a)囚禁离子阱系统,这里729nm激光方向与离子阱的轴向方向相同,854nm激光方向与离子阱轴向方向呈45°。(b)40Ca+离子的能级结构,这里双向箭头和波浪箭头分别代表激光照射和耗散。(c)从初态到最终探测的实验步骤。
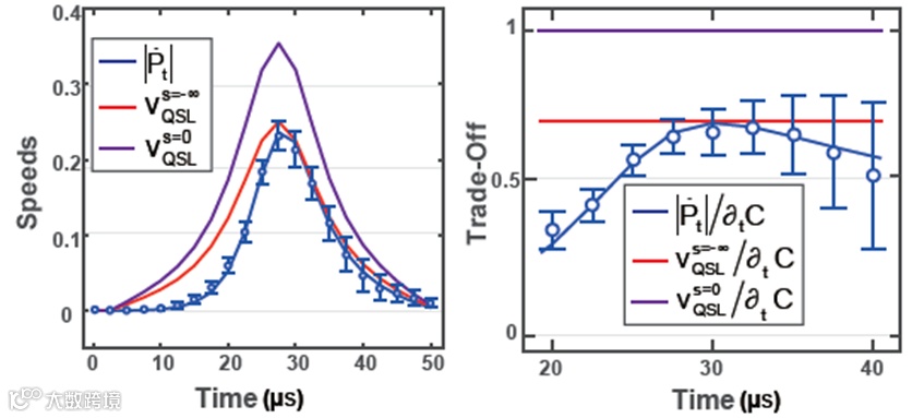
实验上,研究人员首先是借助单个超冷40Ca+离子的三能级结构,利用机器学习等辅助手段精确制备了不同的初态。然后通过激光的精准操控,测量到体系的真实量子速度和功耗,并与理论结论作对比。结果显示,相比以前的理论结果,本项研究中获得的量子速度极限能够真实地反映量子态的演化速度和趋势,更准确地代表了量子速度的极限,即量子速度的最优极限;本项研究中测量获得的量子速度极限-功耗权衡关系能更贴近实际的权衡关系,尤其是在t=29
处,二者几乎一致,如图二所示。

图二、(左):实际速度与两种量子速度极限随时间演化的比较。(右):在朗道-泽那模型的免交叉时间窗口内,实际的量子速度-功耗权衡关系与理论上的量子速度-功耗权衡关系之间的对比。其中蓝色数据点为实验测量值,蓝色线条为对实验值的拟合,误差棒为50000次测量的标准差;红色线条为本项目得到的最优理论结果;紫色线条为Wigner相空间中的理论结果。
该研究成果为量子信息处理中演化速度极限与功耗之间的权衡建立了一个更为准确的解析不等式,并在实验上做了精准的检验。该工作表明,之前被忽视的一些相空间方法可以用来更有效地处理特殊的量子任务。这项研究成果有助于人们更深入地理解量子力学的基本原理,也能加深对量子技术中内禀存在的根本性限制的理解,为更好地应用量子技术提供了实验依据。
论文链接 :

DOI: 10.1103/PhysRevLett.132.213602

